当前位置:首页>文档>第二章 真题专练_9.2025地理总复习_2025年新高考资料_一轮复习_2025高考大一轮复习讲义+练习(完结)_2025高考大一轮复习地理(人教版)_2025一轮复习87练_第四部分 资源、环境与国家安全

第二章 真题专练_9.2025地理总复习_2025年新高考资料_一轮复习_2025高考大一轮复习讲义+练习(完结)_2025高考大一轮复习地理(人教版)_2025一轮复习87练_第四部分 资源、环境与国家安全

  • 2026-04-03 19:42:44 2026-03-14 01:36:54

文档预览

第二章 真题专练_9.2025地理总复习_2025年新高考资料_一轮复习_2025高考大一轮复习讲义+练习(完结)_2025高考大一轮复习地理(人教版)_2025一轮复习87练_第四部分 资源、环境与国家安全
第二章 真题专练_9.2025地理总复习_2025年新高考资料_一轮复习_2025高考大一轮复习讲义+练习(完结)_2025高考大一轮复习地理(人教版)_2025一轮复习87练_第四部分 资源、环境与国家安全
第二章 真题专练_9.2025地理总复习_2025年新高考资料_一轮复习_2025高考大一轮复习讲义+练习(完结)_2025高考大一轮复习地理(人教版)_2025一轮复习87练_第四部分 资源、环境与国家安全
第二章 真题专练_9.2025地理总复习_2025年新高考资料_一轮复习_2025高考大一轮复习讲义+练习(完结)_2025高考大一轮复习地理(人教版)_2025一轮复习87练_第四部分 资源、环境与国家安全

文档信息

文档格式
docx
文档大小
0.666 MB
文档页数
4 页
上传时间
2026-03-14 01:36:54

文档内容

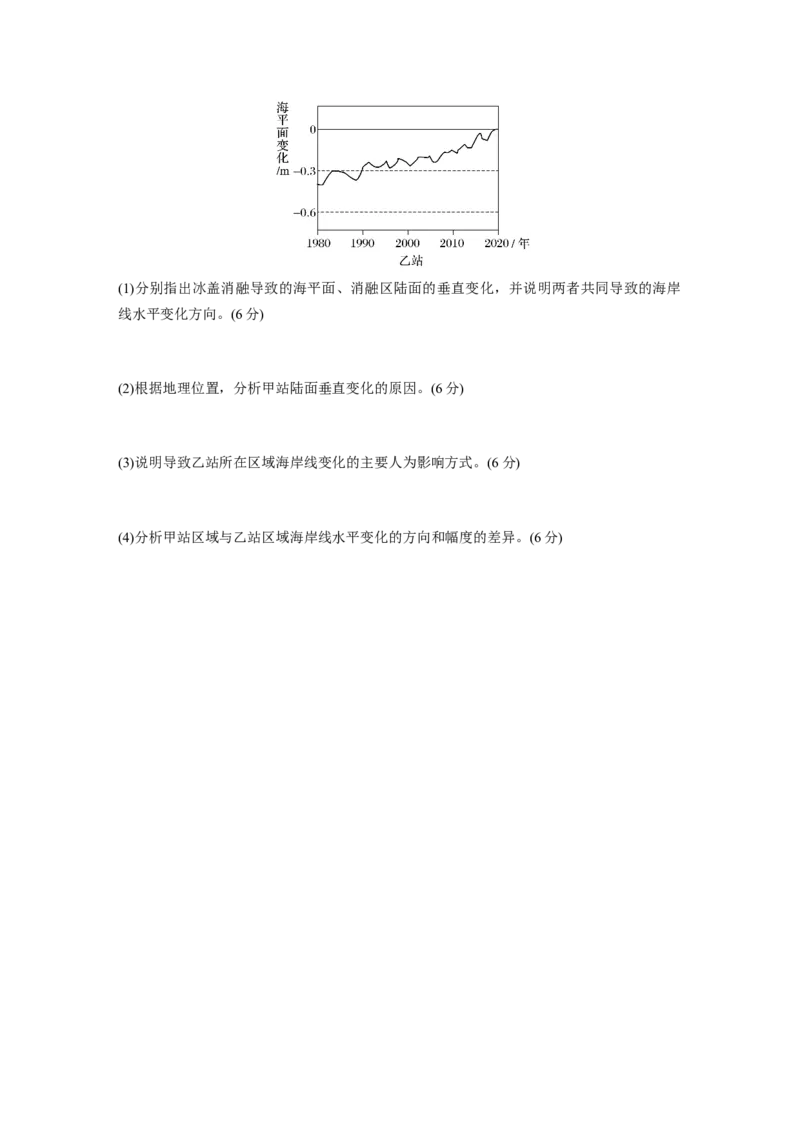
真题专练 (2022·6月浙江选考)人工湿地是建立在生态学基础上,主要利用微生物、植物等对污水 进行自然净化的处理技术。下图为“某人工湿地处理微污染水源的流程图”。完成1~2题。 1.与污水处理厂相比,该人工湿地系统可以( ) A.降低污水处理成本 B.减少土地占用面积 C.不受季节变化影响 D.加快污水处理速度 2.在湿地保护生态修复中,较为合理的途径是( ) A.引进外来物种,扩大滩涂种植 B.河道种植芦苇,修复水生植物 C.增加水域面积,扩大养殖规模 D.河道整治清淤,清除全部河滩 (2023·1月浙江选考)辽河口湿地生长着一种耐盐碱的一年生草本植物——翅碱蓬。翅碱 蓬在维护湿地生态系统方面具有重要作用,其生长与潮滩湿地水体盐度显著相关。下图为 “辽河口潮滩植被分布示意图”。完成3~4题。 3.辽河口潮滩植被演替的总体趋势是( ) A.翅碱蓬—芦苇—光滩 B.翅碱蓬—光滩—芦苇 C.光滩—芦苇—翅碱蓬 D.光滩—翅碱蓬—芦苇 4.针对辽河口翅碱蓬退化,较可行的生态修复措施是( )A.潮滩上建水库蓄淡水 B.修建防潮大坝围垦潮滩 C.调控辽河入海径流量 D.人工大面积种植翅碱蓬 (2023·6月浙江选考)在“双碳”目标背景下,湖泊湿地的生态修复是个重要的固碳举措。 下图为“湖泊湿地碳循环示意图”。完成5~6题。 5.植物多样性增加对湖泊湿地固碳作用的影响是( ) A.土壤碳含量降低 B.根系吸碳量减少 C.碳净排放量降低 D.微生物活性减弱 6.下列对湖泊湿地生态修复的措施,合理的是( ) A.减少湖滨植物,清除入湖污染物 B.放生外来物种,增加生物多样性 C.降低湖面水位,重建微生物群落 D.改变湿地地形,建设生态缓冲岛 (2023·湖南地理)碳排放强度与社会经济发展水平、创新投入密切相关,碳中和需要付出 经济代价。下图示意某年甲国和乙国重点制造业部门产品的贸易额、每吨二氧化碳排放的研 发投入与经济产出情况。据此完成7~9题。 7.乙国出口的产品中,单位GDP二氧化碳排放量最少的是( )A.金属及金属制品 B.化工制品 C.机械制造产品 D.电子产品 8.与乙国相比,甲国生产同类制造业产品的( ) A.环境成本高 B.人力成本高 C.营销成本高 D.研发成本高 9.根据图中两国重点制造业部门产品的投入产出效果,甲国应优先考虑( ) ①扩大国际市场 ②提高创新能力 ③强化产业升级 ④承接产业转移 A.①② B.②③ C.①④ D.③④ (2023·海南地理)气候变化造成的不利影响在空间分布上是不均匀的,一些低收入国家和 地区因全球变暖引起海平面上升而受到不利影响,他们的碳排放总量和人均量都很小,但其 自然环境和社会经济受到的影响很大。据此完成10~11题。 10.以下区域中,此类国家和地区主要分布在( ) A.欧洲西部 B.南太平洋 C.南美洲中部 D.中亚地区 11.为减缓上述不利影响,下列措施中合理的是( ) A.禁止发达国家碳交易 B.加大区域间产业转移力度 C.加强碳减排国际合作 D.鼓励发展中国家大量移民 12.(2022·全国文综乙)阅读图文材料,完成下列要求。(24分) 影响海岸线位置的因素,既有全球尺度因素,如海平面升降,又有区域尺度因素,如泥 沙沉积、地壳运动、人类活动等导致的陆面升降。最新研究表明,冰盖消融形成的消融区内, 冰盖重力导致的岩层形变缓慢恢复,持续影响着该范围的海岸线位置。距今约 1.8万年,北 美冰盖开始消融,形成广大消融区。下图显示甲(位于太平洋北岸阿拉斯加的基岩海岸区)、 乙(位于墨西哥湾密西西比河的河口三角洲)两站监测的海平面的相对变化。海平面的相对变 化是陆面和海平面共同变化的结果。(1)分别指出冰盖消融导致的海平面、消融区陆面的垂直变化,并说明两者共同导致的海岸 线水平变化方向。(6分) (2)根据地理位置,分析甲站陆面垂直变化的原因。(6分) (3)说明导致乙站所在区域海岸线变化的主要人为影响方式。(6分) (4)分析甲站区域与乙站区域海岸线水平变化的方向和幅度的差异。(6分)