当前位置:首页>文档>专题12三角函数的图像与性质(七大题型+模拟精练)(解析版)_2.2025数学总复习_2025年新高考资料_一轮复习_2025年高考数学一轮复习《重难点题型与知识梳理•高分突破》(新高考专用)

专题12三角函数的图像与性质(七大题型+模拟精练)(解析版)_2.2025数学总复习_2025年新高考资料_一轮复习_2025年高考数学一轮复习《重难点题型与知识梳理•高分突破》(新高考专用)

  • 2026-04-18 03:58:10 2026-03-14 03:05:55

文档预览

专题12三角函数的图像与性质(七大题型+模拟精练)(解析版)_2.2025数学总复习_2025年新高考资料_一轮复习_2025年高考数学一轮复习《重难点题型与知识梳理•高分突破》(新高考专用)
专题12三角函数的图像与性质(七大题型+模拟精练)(解析版)_2.2025数学总复习_2025年新高考资料_一轮复习_2025年高考数学一轮复习《重难点题型与知识梳理•高分突破》(新高考专用)
专题12三角函数的图像与性质(七大题型+模拟精练)(解析版)_2.2025数学总复习_2025年新高考资料_一轮复习_2025年高考数学一轮复习《重难点题型与知识梳理•高分突破》(新高考专用)
专题12三角函数的图像与性质(七大题型+模拟精练)(解析版)_2.2025数学总复习_2025年新高考资料_一轮复习_2025年高考数学一轮复习《重难点题型与知识梳理•高分突破》(新高考专用)
专题12三角函数的图像与性质(七大题型+模拟精练)(解析版)_2.2025数学总复习_2025年新高考资料_一轮复习_2025年高考数学一轮复习《重难点题型与知识梳理•高分突破》(新高考专用)
专题12三角函数的图像与性质(七大题型+模拟精练)(解析版)_2.2025数学总复习_2025年新高考资料_一轮复习_2025年高考数学一轮复习《重难点题型与知识梳理•高分突破》(新高考专用)
专题12三角函数的图像与性质(七大题型+模拟精练)(解析版)_2.2025数学总复习_2025年新高考资料_一轮复习_2025年高考数学一轮复习《重难点题型与知识梳理•高分突破》(新高考专用)
专题12三角函数的图像与性质(七大题型+模拟精练)(解析版)_2.2025数学总复习_2025年新高考资料_一轮复习_2025年高考数学一轮复习《重难点题型与知识梳理•高分突破》(新高考专用)
专题12三角函数的图像与性质(七大题型+模拟精练)(解析版)_2.2025数学总复习_2025年新高考资料_一轮复习_2025年高考数学一轮复习《重难点题型与知识梳理•高分突破》(新高考专用)
专题12三角函数的图像与性质(七大题型+模拟精练)(解析版)_2.2025数学总复习_2025年新高考资料_一轮复习_2025年高考数学一轮复习《重难点题型与知识梳理•高分突破》(新高考专用)
专题12三角函数的图像与性质(七大题型+模拟精练)(解析版)_2.2025数学总复习_2025年新高考资料_一轮复习_2025年高考数学一轮复习《重难点题型与知识梳理•高分突破》(新高考专用)
专题12三角函数的图像与性质(七大题型+模拟精练)(解析版)_2.2025数学总复习_2025年新高考资料_一轮复习_2025年高考数学一轮复习《重难点题型与知识梳理•高分突破》(新高考专用)
专题12三角函数的图像与性质(七大题型+模拟精练)(解析版)_2.2025数学总复习_2025年新高考资料_一轮复习_2025年高考数学一轮复习《重难点题型与知识梳理•高分突破》(新高考专用)
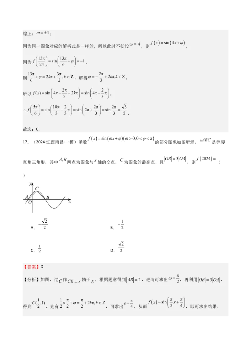
专题12三角函数的图像与性质(七大题型+模拟精练)(解析版)_2.2025数学总复习_2025年新高考资料_一轮复习_2025年高考数学一轮复习《重难点题型与知识梳理•高分突破》(新高考专用)
专题12三角函数的图像与性质(七大题型+模拟精练)(解析版)_2.2025数学总复习_2025年新高考资料_一轮复习_2025年高考数学一轮复习《重难点题型与知识梳理•高分突破》(新高考专用)
专题12三角函数的图像与性质(七大题型+模拟精练)(解析版)_2.2025数学总复习_2025年新高考资料_一轮复习_2025年高考数学一轮复习《重难点题型与知识梳理•高分突破》(新高考专用)
专题12三角函数的图像与性质(七大题型+模拟精练)(解析版)_2.2025数学总复习_2025年新高考资料_一轮复习_2025年高考数学一轮复习《重难点题型与知识梳理•高分突破》(新高考专用)
专题12三角函数的图像与性质(七大题型+模拟精练)(解析版)_2.2025数学总复习_2025年新高考资料_一轮复习_2025年高考数学一轮复习《重难点题型与知识梳理•高分突破》(新高考专用)
专题12三角函数的图像与性质(七大题型+模拟精练)(解析版)_2.2025数学总复习_2025年新高考资料_一轮复习_2025年高考数学一轮复习《重难点题型与知识梳理•高分突破》(新高考专用)
专题12三角函数的图像与性质(七大题型+模拟精练)(解析版)_2.2025数学总复习_2025年新高考资料_一轮复习_2025年高考数学一轮复习《重难点题型与知识梳理•高分突破》(新高考专用)
专题12三角函数的图像与性质(七大题型+模拟精练)(解析版)_2.2025数学总复习_2025年新高考资料_一轮复习_2025年高考数学一轮复习《重难点题型与知识梳理•高分突破》(新高考专用)
专题12三角函数的图像与性质(七大题型+模拟精练)(解析版)_2.2025数学总复习_2025年新高考资料_一轮复习_2025年高考数学一轮复习《重难点题型与知识梳理•高分突破》(新高考专用)
专题12三角函数的图像与性质(七大题型+模拟精练)(解析版)_2.2025数学总复习_2025年新高考资料_一轮复习_2025年高考数学一轮复习《重难点题型与知识梳理•高分突破》(新高考专用)
专题12三角函数的图像与性质(七大题型+模拟精练)(解析版)_2.2025数学总复习_2025年新高考资料_一轮复习_2025年高考数学一轮复习《重难点题型与知识梳理•高分突破》(新高考专用)
专题12三角函数的图像与性质(七大题型+模拟精练)(解析版)_2.2025数学总复习_2025年新高考资料_一轮复习_2025年高考数学一轮复习《重难点题型与知识梳理•高分突破》(新高考专用)
专题12三角函数的图像与性质(七大题型+模拟精练)(解析版)_2.2025数学总复习_2025年新高考资料_一轮复习_2025年高考数学一轮复习《重难点题型与知识梳理•高分突破》(新高考专用)
专题12三角函数的图像与性质(七大题型+模拟精练)(解析版)_2.2025数学总复习_2025年新高考资料_一轮复习_2025年高考数学一轮复习《重难点题型与知识梳理•高分突破》(新高考专用)
专题12三角函数的图像与性质(七大题型+模拟精练)(解析版)_2.2025数学总复习_2025年新高考资料_一轮复习_2025年高考数学一轮复习《重难点题型与知识梳理•高分突破》(新高考专用)
专题12三角函数的图像与性质(七大题型+模拟精练)(解析版)_2.2025数学总复习_2025年新高考资料_一轮复习_2025年高考数学一轮复习《重难点题型与知识梳理•高分突破》(新高考专用)
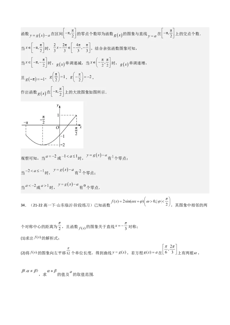
专题12三角函数的图像与性质(七大题型+模拟精练)(解析版)_2.2025数学总复习_2025年新高考资料_一轮复习_2025年高考数学一轮复习《重难点题型与知识梳理•高分突破》(新高考专用)
专题12三角函数的图像与性质(七大题型+模拟精练)(解析版)_2.2025数学总复习_2025年新高考资料_一轮复习_2025年高考数学一轮复习《重难点题型与知识梳理•高分突破》(新高考专用)
专题12三角函数的图像与性质(七大题型+模拟精练)(解析版)_2.2025数学总复习_2025年新高考资料_一轮复习_2025年高考数学一轮复习《重难点题型与知识梳理•高分突破》(新高考专用)
专题12三角函数的图像与性质(七大题型+模拟精练)(解析版)_2.2025数学总复习_2025年新高考资料_一轮复习_2025年高考数学一轮复习《重难点题型与知识梳理•高分突破》(新高考专用)
专题12三角函数的图像与性质(七大题型+模拟精练)(解析版)_2.2025数学总复习_2025年新高考资料_一轮复习_2025年高考数学一轮复习《重难点题型与知识梳理•高分突破》(新高考专用)
专题12三角函数的图像与性质(七大题型+模拟精练)(解析版)_2.2025数学总复习_2025年新高考资料_一轮复习_2025年高考数学一轮复习《重难点题型与知识梳理•高分突破》(新高考专用)
专题12三角函数的图像与性质(七大题型+模拟精练)(解析版)_2.2025数学总复习_2025年新高考资料_一轮复习_2025年高考数学一轮复习《重难点题型与知识梳理•高分突破》(新高考专用)
专题12三角函数的图像与性质(七大题型+模拟精练)(解析版)_2.2025数学总复习_2025年新高考资料_一轮复习_2025年高考数学一轮复习《重难点题型与知识梳理•高分突破》(新高考专用)
专题12三角函数的图像与性质(七大题型+模拟精练)(解析版)_2.2025数学总复习_2025年新高考资料_一轮复习_2025年高考数学一轮复习《重难点题型与知识梳理•高分突破》(新高考专用)
专题12三角函数的图像与性质(七大题型+模拟精练)(解析版)_2.2025数学总复习_2025年新高考资料_一轮复习_2025年高考数学一轮复习《重难点题型与知识梳理•高分突破》(新高考专用)
专题12三角函数的图像与性质(七大题型+模拟精练)(解析版)_2.2025数学总复习_2025年新高考资料_一轮复习_2025年高考数学一轮复习《重难点题型与知识梳理•高分突破》(新高考专用)
专题12三角函数的图像与性质(七大题型+模拟精练)(解析版)_2.2025数学总复习_2025年新高考资料_一轮复习_2025年高考数学一轮复习《重难点题型与知识梳理•高分突破》(新高考专用)
专题12三角函数的图像与性质(七大题型+模拟精练)(解析版)_2.2025数学总复习_2025年新高考资料_一轮复习_2025年高考数学一轮复习《重难点题型与知识梳理•高分突破》(新高考专用)
专题12三角函数的图像与性质(七大题型+模拟精练)(解析版)_2.2025数学总复习_2025年新高考资料_一轮复习_2025年高考数学一轮复习《重难点题型与知识梳理•高分突破》(新高考专用)
专题12三角函数的图像与性质(七大题型+模拟精练)(解析版)_2.2025数学总复习_2025年新高考资料_一轮复习_2025年高考数学一轮复习《重难点题型与知识梳理•高分突破》(新高考专用)
专题12三角函数的图像与性质(七大题型+模拟精练)(解析版)_2.2025数学总复习_2025年新高考资料_一轮复习_2025年高考数学一轮复习《重难点题型与知识梳理•高分突破》(新高考专用)
专题12三角函数的图像与性质(七大题型+模拟精练)(解析版)_2.2025数学总复习_2025年新高考资料_一轮复习_2025年高考数学一轮复习《重难点题型与知识梳理•高分突破》(新高考专用)
专题12三角函数的图像与性质(七大题型+模拟精练)(解析版)_2.2025数学总复习_2025年新高考资料_一轮复习_2025年高考数学一轮复习《重难点题型与知识梳理•高分突破》(新高考专用)
专题12三角函数的图像与性质(七大题型+模拟精练)(解析版)_2.2025数学总复习_2025年新高考资料_一轮复习_2025年高考数学一轮复习《重难点题型与知识梳理•高分突破》(新高考专用)
专题12三角函数的图像与性质(七大题型+模拟精练)(解析版)_2.2025数学总复习_2025年新高考资料_一轮复习_2025年高考数学一轮复习《重难点题型与知识梳理•高分突破》(新高考专用)
专题12三角函数的图像与性质(七大题型+模拟精练)(解析版)_2.2025数学总复习_2025年新高考资料_一轮复习_2025年高考数学一轮复习《重难点题型与知识梳理•高分突破》(新高考专用)
专题12三角函数的图像与性质(七大题型+模拟精练)(解析版)_2.2025数学总复习_2025年新高考资料_一轮复习_2025年高考数学一轮复习《重难点题型与知识梳理•高分突破》(新高考专用)
专题12三角函数的图像与性质(七大题型+模拟精练)(解析版)_2.2025数学总复习_2025年新高考资料_一轮复习_2025年高考数学一轮复习《重难点题型与知识梳理•高分突破》(新高考专用)
专题12三角函数的图像与性质(七大题型+模拟精练)(解析版)_2.2025数学总复习_2025年新高考资料_一轮复习_2025年高考数学一轮复习《重难点题型与知识梳理•高分突破》(新高考专用)

文档信息

文档格式
docx
文档大小
2.761 MB
文档页数
53 页
上传时间
2026-03-14 03:05:55

文档内容

专题 12 三角函数的图像与性质(七大题型+模拟精练) 目录: 01 求三角函数的有关概念 02 三角函数图像的变换 03 识别函数图像、根据已知图像求解 04 三角函数图像与性质的综合辨析 05 三角函数性质的综合应用—求参数范围或最值 06 三角函数的应用 07 三角函数的综合解答题 01 求三角函数的有关概念 1.(2024高三·全国·专题练习)函数 的最小正周期是 . 【答案】 【分析】由正切函数周期公式直接计算即可. 【解析】 的最小正周期为 . 故答案为: 2.(2023高三·全国·专题练习)y=cos 的单调递减区间为 . 【答案】 【分析】利用余弦函数的单调性可得答案.【解析】因为 , 所以由 得, , , 即所求单调递减区间为 . 故答案为: . 3.(23-24高一下·山东威海·阶段练习)已知函数 , 的图象的对称中心是 . 【答案】 【分析】将 看成整体角,利用正切函数的对称中心即可求得. 【解析】由函数 可得, ,解得: , 即 的图象的对称中心是 . 故答案为: . 4.(2024·贵州黔南·二模)若函数 为偶函数,则 的值可以是( ) A. B. C. D. 【答案】B 【分析】由题意可知: 为函数 的对称轴,结合余弦函数对称性分析求解. 【解析】由题意可知: 为函数 的对称轴, 则 ,则 ,对于选项A:令 ,解得 ,不合题意; 对于选项B:令 ,解得 ,符合题意; 对于选项C:令 ,解得 ,不合题意; 对于选项D:令 ,解得 ,不合题意; 故选:B. 5.(2024高三·全国·专题练习)下列函数中,以π为周期,且在区间 上单调递增的是( ) A. B. C. D. 【答案】B 【分析】先判断各函数的最小正周期,再确定各函数在区间 上的单调性,即可选择判断. 【解析】对于A, 的最小正周期为π,在区间 上单调递减,A不是; 对于B, 的最小正周期为π,在区间 上单调递增,B是; 对于C, 的最小正周期为π,在区间 上单调递减,C不是; 对于D, 不是周期函数,在区间 上单调递减,D不是. 故选:B 6.(23-24高一下·重庆·阶段练习)下列函数中,周期为 且在 上单调递增的函数是( ) A. B. C. D. 【答案】D 【分析】利用正余弦函数的单调性可判断AB;结合周期性定义举反例判断C;结合余切函数的周期性以及 单调性判断D.【解析】对于A, , ,由于 在 上不单调, 故 在 上不单调,A错误; 对于B, , ,由于 在 上单调递减, 故 在 上单调递减,B错误; 对于C,由于 , 故 不是 的周期,C错误; 对于D, 的最小正周期为 , 时, , 而 在 上单调递增,故 在 上单调递增,D正确, 故选:D 7.(2024高三·全国·专题练习)若函数y=cos (3x+φ)的图象关于原点成中心对称,则φ= . 【答案】kπ+ (k∈Z) 【解析】由题意,得y=cos (3x+φ)是奇函数,cos φ=0,所以φ=kπ+ (k∈Z). 8.(23-24高二上·湖南长沙·期末)函数 的部分图像如图所示,则 其解析式为( )A. B. C. D. 【答案】B 【分析】根据已知中的函数 的部分图象,求出满足条件的 值,可得答案. 【解析】由图可得:函数的最大值为2,最小值为 ,故 , ,故 ,解得 , 故 . 将 代入可得: , 则 ,解得 . ∵ ,∴ , ∴ . 故选:B. 9.(2024高三上·全国·专题练习)函数 , 的值域为 . 【答案】 【分析】先求出整体角的范围,再利用余弦函数的值域求解即可. 【解析】因为 ,所以 , 所以 , 所以 .所以函数的值域为 . 故答案为: 02 三角函数图像的变换 10.(23-24高一下·广东佛山·期中)为了得到 的图像,需要把函数 的图象 向右平移的单位数是( ) A. B. C. D. 【答案】A 【分析】利用二倍角公式化简,然后由平移变换可得. 【解析】因为 , , 所以,要得到 的图象,需要把函数 的图象向右平移 个单位长度. 故选:A 11.(23-24高一下·四川·期中) 的图象如图所示,为了得到 的图象,则 只要将 的图象( ) A.向右平移 个单位长度 B.向右平移 个单位长度 C.向左平移 个单位长度 D.向左平移 个单位长度 【答案】C【分析】先根据图象确定 的值,进而根据三角函数结果的点求出求 与 的值,确定函数 的解析式, 然后根据平移变换逐一验证选项即可得到结果. 【解析】函数 的部分图象,可得 , , ,则 , 又 , ,则 , 故 . 对A, 向右平移 个单位长度,得到 ,故A错误; 对B, 向右平移 个单位长度,得到 ,故B错误; 对C, 向左平移 个单位长度,得到 ,故C正确; 对D, 向左平移 个单位长度,得到 ,故D错误. 故选:C. 12.(23-24高一下·四川绵阳·阶段练习)为了得到函数 的图象,只需要把函数 图象( ) A.先将橫坐标缩短到原来的 倍(纵坐标不变),再向右平移 个单位 B.先将横坐标缩短到原来的 倍(纵坐标不变),再向右平移 个单位 C.先向左平移 个单位,再将横坐标伸长到原来的2倍(纵坐标不变)D.先向右平移 个单位,再将横坐标伸长到原来的2倍(纵坐标不变) 【答案】B 【分析】利用平移变换和周期变换的规则来判断. 【解析】为了得到函数 的图象,只需要把函数 图象 先向右平移 个单位,再将横坐标缩短到原来的 (纵坐标不变),CD错; 也可以先将横坐标缩短到原来的 倍(纵坐标不变),再向右平移 个单位,A错误,B正确. 故选:B. 13.(23-24高三上·辽宁抚顺·期末)先将函数 图象上所有点的横坐标缩短为原来的 (纵坐标 不变),再把得到的曲线向左平移 个单位长度,得到函数 的图象,写出 图象的一条对称轴的方 程: . 【答案】 (答案不唯一) 【分析】 利用伸缩和平移变换写出 的函数表达式,再求对称轴方程. 【解析】 先将函数 图象上所有点的横坐标缩短为原来的 (纵坐标不变),得到 , 向左平移 个单位长度得到 , 令 , ,解得 , , 可取 ,则 . 故答案为: (答案不唯一). 14.(2024·陕西榆林·三模)将函数 的图象向左平移 个单位长度后得到的函数图象关于 对称,则实数 的最小值为( ) A. B. C. D. 【答案】C 【分析】先根据平移变换的原则求出变化后的函数解析式,再根据余弦函数的对称性即可得解. 【解析】由函数 , 将函数 的图象向左平移 个单位长度后, 得到函数 , 又由 图象关于 对称, 所以 ,解得 , 因为 ,所以当 时, 取得最小值,最小值为 . 故选:C. 03 识别函数图像、根据已知图像求 15.(2024·全国·模拟预测)函数 的图像大致是( ) A. B. C. D. 【答案】D【分析】先由根据图象,由 的奇偶性排除部分选项,再由 时,函数值的正反判断. 【解析】解:因为 的定义域为 ,且 , 是奇函数,排除选项B. 当 时, ,排除选项A,C. 故选:D. 16.(2024·吉林长春·模拟预测)已知函数 ,如图 是直线 与曲线 的两 个交点, ,则 ( ) A.0 B. C. D. 【答案】C 【分析】设 ,依题可得, ,结合 的解可得 ,从而得 到 的值,再根据 即可得 ,进而求得 . 【解析】设 ,由 可得 , 由 可知, 或 , ,由图可知, 当 时, ,即 , ; 当 时, ,即 , ;综上: ; 因为同一图象对应的解析式是一样的,所以此时不妨设 ,则 , 因为 , 则 ,解得 , 所以 , . 故选:C. 17.(2024·江西南昌·一模)函数 的部分图象如图所示, 是等腰 直角三角形,其中 两点为图象与 轴的交点, 为图象的最高点,且 ,则 ( ) A. B. C. D. 【答案】D 【分析】如图,过 作 轴于 ,根据题意得到 ,进而可求出 ,再利用 , 得到 ,则有 ,可求出 ,从而 ,即可求出结果.【解析】如图,过 作 轴于 ,则 , 又 是等腰直角三角形,所以 ,故 ,得到 , 又 ,所以 ,则 ,所以 , 所以 ,得到 ,又 ,得到 , 所以 ,则 , 故选:D. 18.(2024·广东广州·二模)已知函数 的部分图象如图所示,若将函数 的图象向右平移 个单位后所得曲线关于 轴对称,则 的最小值为( ) A. B. C. D. 【答案】A 【分析】根据给定的图象特征,结合五点法作图列式求出 和 ,再根据图象的平移变换,以及图象的对 称性即可得解. 【解析】由 ,得 ,又点 及附近点从左到右是上升的,则 , 由 ,点 及附近点从左到右是下降的,且上升、下降的两段图象相邻,得, 联立解得 , ,而 ,于是 , , 若将函数 的图像向右平移 个单位后,得到 , 则 ,而 ,因此 , 所以当 时, 取得最小值为 . 故选:A 04 三角函数图像与性质的综合辨析 19.(2024高三·全国·专题练习)已知函数 ,则( ) A. 的最小值为2 B. 的图象关于y轴对称 C. 的图象关于直线 对称 D. 的图象关于直线 对称 【答案】D 【分析】根据正弦函数的性质逐一判断即可. 【解析】 可以为负,所以A错; 关于原点对称,故B错; ; 关于直线 对称,不关于直线 对称,故C错,D对. 故选:D. 20.(2024·四川·模拟预测)已知函数 的最小正周期为 ,下列结论 中正确的是( ) A.函数 的图象关于 对称B.函数 的对称中心是 C.函数 在区间 上单调递增 D.函数 的图象可以由 的图象向右平移 个单位长度得到 【答案】D 【分析】A选项,利用三角恒等变换得到 ,根据最小正周期得到 ,得到函数 解析式,求出A错误;B选项,整体法求解出函数的对称中心;C选项,求出 ,C错误; D选项,平移得到 ,D正确. 【解析】A选项, , 因为函数 的最小正周期为 ,解得 ,所以 , 当 时, ,故A错误; B选项,令 ,即 , 函数 的对称中心是 ,故B错误; C选项, 时, ,显然 在其上不单调,故C错误; D选项, 的图象向右平移 个单位长度, 得到 ,故D正确. 故选:D. 21.(2024·陕西渭南·二模)关于函数 ,给出如下结论: ① 的图象关于点 对称 ② 的图象关于直线 对称 ③ 的最大值是3 ④ 是函数 的周期 其中正确结论的个数为( ) A.1 B.2 C.3 D.4 【答案】B 【分析】根据 是否成立即可判断①;根据 是否成立即可判断②; 令 ,再结合二次函数的性质即可判断③;根据 是否成立即可判断④. 【解析】对于①, , , 则 , 所以 的图象不关于点 对称,故①错误;对于②, , 所以 的图象关于直线 对称,故②正确; 对于③, , 令 , 则 , 则 , 当 时, , 所以 的最大值是3,故③正确; 对于④, , 所以 不是函数 的周期,故④错误. 所以正确结论的个数为 个. 故选:B. 05 三角函数性质的综合应用—求参数范围或最值 22.(2024·河北唐山·二模)函数 在 上为单调递增函数,则 的取值范围 为( ) A. B. C. D. 【答案】C 【分析】由 的取值范围,求出 ,结合正弦函数的单调性得到 ,解得即可.【解析】由 可得 , 又 ,则 ,且 在 上为单调递增函数, 所以 ,解得 , 即 的取值范围为 . 故选:C 23.(2024·安徽马鞍山·三模)已知函数 的一个零点是 ,且 在 上单调,则 ( ) A. B. C. D. 【答案】B 【分析】整理可得 ,以 为整体,根据单调性分析可得 ,再结合零 点分析求解. 【解析】因为 , ,且 时, 可得 ,且 , 若 在 上单调,则 ,解得 , 又因为 的一个零点是 ,则 ,解得 ,所以 . 故选:B. 24.(2024·四川内江·三模)设函数 ,若存在 ,且 ,使 得 ,则 的取值范围是( ) A. B. C. D. 【答案】B 【分析】根据 ,求出 ,结合 以及题设可列出不等式 ,即可求得答案. 【解析】由于 ,当 时, , 又 , , 而在原点左侧第一个使得 的x的值为 ,即 , 由于存在 ,且 ,使得 , 故需满足 , 即 的取值范围是 , 故选:B 25.(2024·江苏南通·二模)已知函数 ( )在区间 上单调递增,则 的最大值为( ) A. B. C. D. 【答案】B【分析】根据条件,利用辅助角公式得到 ,再利用 的图象与性质,得到 的单调增区间,再根据条件,可得到 ,即可求出结果. 【解析】因为 ,又 , 由 ,得到 , 所以函数 的单调增区间为 , 依题有 ,则 ,得到 , 故选:B. 26.(2024·全国·模拟预测)已知函数 ,对于任意的 , , 都恒成立,且函数 在 上单调递增,则 的值为 ( ) A.3 B.9 C.3或9 D. 【答案】A 【分析】根据正弦型函数的单调性先确定周期的取值范围,从而缩小 的取值范围,结合正弦型三角函数 的对称性可得符合的 的取值为 或9,分类讨论验证单调性即可得结论.【解析】设函数 的最小正周期为 ,因为函数 在 上单调递增,所以 ,得 ,因此 . 由 知 的图象关于直线 对称,则 ①. 由 知 的图象关于点 对称,则 ②. ② ①得 ,令 ,则 , 结合 可得 或9. 当 时,代入①得 ,又 ,所以 , 此时 ,因为 ,故 在 上单调递增,符合题意; 当 时,代入①得 , ,又 ,所以 , 此时 ,因为 , 故 在 上不是单调递增的,所以 不符合题意,应舍去. 综上, 的值为3. 故选:A. 27.(2024·陕西安康·模拟预测)将函数 的图象向左平移 个单位长度,再将所得函数图象上 所有点的横坐标变为原来的 倍,纵坐标不变,得到函数 的图象,若函数 在 上有5个零点,则 的取值范围是( ) A. B. C. D. 【答案】A【分析】先利用三角函数图象的变换得出 ,再根据二次函数的性质得出 在 上有3个零点,法一、利用整体思想及正弦函数的性质得其零点为 ,根据定义域取 值计算即 可;法二、利用整体思想得 ,解不等式即可. 【解析】将函数 的图像向左平移 个单位长度, 得到函数 ,再将函数 的横坐标变为原来的 倍, 纵坐标不变,得到函数 , 所以 ,因为当 时, 有2个零点, 所以要使 在 上有5个零点,则需 在 上有3个零点. 法一:令 ,则 , 解得 ,当 时,分别对应3个零点, 则 ,解得 .故选A. 法二:因为 ,所以 , 所以 ,则 . 故选:A. 06 三角函数的应用28.(2024·四川凉山·三模)摩天轮是一种大型转轮状的机械建筑设施,游客坐在摩天轮的座舱里慢慢地 往上转,可以从高处俯瞰四周景色.某摩天轮最高点距离地面高度为120m,转盘直径为110m,设置48 个座舱,开启后按逆时针方向匀速旋转,游客在座舱转到距离地面最近位置进仓,转一周大约需要 30min.某游客坐上摩天轮的座舱10min后距离地面高度约为( ) A.92.5m B.87.5m C.82.5m D. 【答案】A 【分析】以轴心 为坐标原点,与地面平行的直线为 轴建立平面直角坐标系,根据题意,求得函数 ,令 时,即可求解. 【解析】设座舱距离地面的最近的位置为点 ,以轴心 为原点,与地面平行的直线为 轴建立平面直角 坐标系,如图所示, 设函数 表示游客离底面的高度, 因为摩天轮的最高点距离地面为 ,直径为 ,且转一周大约需要 , 周期 , ,所以 , 即 , 当 时,游客在点 ,其中以 为终边的角为 , 所以 , 当 时,可得 所以,摩天轮的座舱 后距离地面高度约为 .故选:A. 29.(2023·全国·模拟预测)随着电力的发展与石油的消耗,风力发电越来越受到重视.预计到2025年全球 风电新增装机量达到111.2GW,中国的装机量占比达到世界第一.已知风速稳定时风力发电机叶片围绕转轴 中心做匀速圆周运动,现有两个风力发电机, 和 分别为两个风力发电机叶片边缘一点, 和 到各自 转轴中心距离均为20米,初始时刻 处于所在的发电机转轴中心正上方, 处于所在的发电机转轴中心正 下方,且 和 围绕各自发电机转轴中心做匀速圆周运动.由于两个发电机所处位置风速不同, 点转速为 , 点转速为 ,以时间 (单位:秒)为自变量, 和 与各自发电机转轴中心高度差为应变 量,分别得三角函数 与 ,下列哪种方式可以使 变为 ( ) A.将 图象上所有点向右平移 个单位长度,再将横坐标扩大到原来的 倍 B.将 图象上所有点向左平移 个单位长度,再将横坐标缩小到原来的 倍 C.将 图象上所有点的横坐标扩大到原来的 倍,再向左平移 个单位长度 D.将 图象上所有点的横坐标缩小到原来的 倍,再向右平移 个单位长度 【答案】D 【分析】根据题意,分别列出函数 与 的解析式,再利用三角函数图象的变换即可求解. 【解析】由题意可知:三角函数 与 的角速度分别为 , , 又因为初始时刻 处于所在的发电机转轴中心正上方, 处于所在的发电机转轴中心正下方,所以, , 由三角函数的变换可知: 纵坐标不变,横坐标缩短缩小到原来的 倍得到 ,再向右平移 个单位长度可得到 , 故选项 正确; 故选: . 30.(22-23高三上·安徽亳州·阶段练习)某杂技表演是在一种转轮状的机械上完成,表演者站在转轮的固 定板上慢慢往上转的同时完成各种表演.转轮模型如图.已知转轮最高点距离地面高度为11米,转轮半径为 5米,转轮上设置了8个固定板.开启后按逆时针方向匀速旋转,转一周大约要5分钟.若甲、乙两位表演者 在相邻的两个固定板上表演,在运行一周的过程中,求两人距离地面的高度差的最大值为( ) A. B. C. D. 【答案】A 【分析】根据给定条件,求出甲、乙二人距离地面的高度 关于时间t的函数关系,求出他们差的绝 对值,再借助正弦函数的性质求解作答. 【解析】以过转轮中心C垂直于地面的垂足O为原点,过中心垂直于地面的直线为y轴建立坐标系,如图,当乙在 时,甲在 处,记为时刻 ,设甲,乙两人距离地面的高度分别是 , 在 时刻,设 ,显然 , 因此 ,而转一周需5分钟,则 ,即 , 又 时, ,即有 ,则取 ,因此 , 显然转轮上相邻两个固定板所在转轮半径夹角为 ,则 则两人距离地面的高度差: , 而 ,则当 或 ,即 或 时, , 又 ,即有 , , 所以两人距离地面的高度差的最大值为 . 故选:A 07 三角函数的综合解答题 31.(2024·山西临汾·三模)已知函数 的图象可由函数 的图象平移得到,且关于直线 对称.(1)求 的值; (2)求函数 的单调递增区间. 【答案】(1) (2) 和 . 【分析】(1)根据题意求出振幅和周期,再由正显函数的对称轴解出 ,进而得到 , 再代入 解出即可; (2)先由图象平移得到 ,法一换元法整体代入求增区间;法二由正弦函数的递增区间结合条件中 范围求出即可. 【解析】(1)依题知函数 与函数 有相同的振幅和周期,所以 , 因为函数 的图象关于直线 轴对称, 所以 , 即 , 又因为 ,所以 , 所以 , .(2) 法一:因为 ,所以 , 因为 在 单调递增, 故 的单调递增区间为 和 . 法二: 由 , 得 , 又因为 所以 的单调递增区间为 和 . 32.(2023·四川绵阳·模拟预测)已知函数 满足 . (1)求函数 的解析式及最小正周期; (2)函数 的图象是由函数 的图象向左平移 个单位长度得到,若 ,求 的最小值. 【答案】(1) ,最小正周期为 (2)【分析】(1)由 ,结合 ,求得解析式,然后利用周期公式求解; (2)根据平移变换得到 ,然后由 得到 求解. 【解析】(1)∵ , ∴ ,而 , ∴ ,即 , ∴ 的最小正周期为: ; (2)由题意, , ∵ , ∴ , ∴ Z, ∴ , ∴ 的最小值为 . 33.(2023·海南省直辖县级单位·模拟预测)如图为函数 的部分图象,且 , .(1)求 , 的值; (2)将 的图象上所有点的横坐标扩大到原来的3倍(纵坐标不变),再向右平移 个单位长度,得到 函数 的图象,讨论函数 在区间 的零点个数. 【答案】(1) , (2)答案见解析 【分析】(1)由周期求出 ,根据 求出 ; (2)首先求出 的解析式,函数 在区间 的零点个数即为函数 的图象与直线 在 上的交点个数,由 的取值范围,求出 的取值范围,再结合余弦函数的图象即可 得解. 【解析】(1)根据题意得, ,故 , ,故 . 将 代入,得 ,解得 , 又 ,故 . (2)依题意, .函数 在区间 的零点个数即为函数 的图象与直线 在 上的交点个数. 当 时, ,结合余弦函数图象可知, 当 时, 单调递减,当 时, 单调递增, 且 , , , 作出函数 在 上的大致图象如图所示. 观察可知,当 或 时, 有 个零点; 当 时, 有 个零点; 当 或 时, 有 个零点. 34.(21-22高一下·山东临沂·阶段练习)已知函数 ,其图象中相邻的两 个对称中心的距离为 ,且函数 的图象关于直线 对称; (1)求出 的解析式; (2)将 的图象向左平移 个单位长度,得到曲线 ,若方程 在 上有两根 , ,求 的值及 的取值范围.【答案】(1) (2) , 【分析】(1)根据条件相邻的两个对称中心的距离为 得到周期从而求出 ,再根据对称轴是 及 求出 ,从而得到 的解析式; (2)根据平移变换得到 ,再通过整体代换,利用正弦函数的图像和性质得到 有 最小值及对应的自变量的值,即可求 的值及 的取值范围. 【解析】(1)解:因为函数 的图象相邻的对称中心之间的距离为 , 所以 ,即周期 ,所以 , 所以 , 又因为函数 的图象关于直线 轴对称, 所以 , ,即 , , 因为 ,所以 , 所以函数 的解析式为 ; (2)解:将 的图象向左平移 个单位长度,得到曲线 , 所以 , 当 时, , ,当 时, 有最小值 且关于 对称, 因为方程 在 上有两根 , , 所以 , ,即 的取值范围 . 35.(2022·河南濮阳·模拟预测)已知函数 ,将 的图象向右平移 个单位长度, 再将所有点的横坐标伸长为原来的2倍,纵坐标不变,得到函数 的图象. (1)求 的解析式; (2)若函数 ,求 在区间 上的所有最大值点. 【答案】(1) ; (2) 与 . 【分析】(1)先求出平移后的解析式,再求出伸缩变换后的解析式 ; (2)结合函数特点,分 与 两种情况下进行求解. 【解析】(1) 的图象向右平移 个单位长度,得到 , 再将所有点的横坐标伸长为原来的2倍,纵坐标不变,得到函数 (2) , 当 时, ,所以 ,因为 ,所以 , 故当 ,即 时, 取得最大值,最大值为2; 当 时, ,所以 , 因为 ,所以 , 故当 ,即 时, 取得最大值,最大值为2; 两者取到的最大值相同均为2, 综上:求 在区间 上的所有最大值点有 与 . 一、单选题 1.(2024·安徽·三模)“ ”是“函数 的图象关于 对称”的( ) A.充分不必要条件 B.必要不充分条件 C.充要条件 D.既不充分也不必要条件 【答案】A 【分析】若函数 的图象关于 对称,根据正切函数的对称性可得 ,再 根据充分、必要条件结合包含关系分析求解. 【解析】若函数 的图象关于 对称, 则 ,解得 , 因为 是 的真子集, 所以“ ”是“函数 的图象关于 对称”的充分不必要条件. 故选:A.2.(2024·广东湛江·二模)函数 在 上的值域为( ) A. B. C. D. 【答案】B 【分析】先求得 的范围,结合正弦函数的性质,即可容易求得结果. 【解析】因为 ,所以 ,所以 , 故 在 上的值域为 . 故选:B. 3.(2024·四川绵阳·三模)若函数 的图象关于直线 对称,在下列选项中,( ) 不是 的零点 A. B. C. D. 【答案】A 【分析】根据函数的周期,以及函数的对称性可得 的零点满足 ,即可求解. 【解析】由于 的周期 , 又 的图象关于直线 对称, 所以 的零点满足 ,所以 , , 均为 的零点, 不是 的零点, 故选:A 4.(2024·全国·二模)若函数 的图象关于 轴对称,则 ( ) A. B. C. D. 【答案】B【分析】根据给定条件,利用余弦函数的性质求解即得. 【解析】依题意,函数 是偶函数,则 , 即 ,而 ,所以 . 故选:B 5.(2024·四川德阳·二模)函数 的图象大致是( ) A. B. C. D. 【答案】B 【分析】根据诱导公式化简 ,再利用函数奇偶性的定义判断 的奇偶性,从而得解. 【解析】因为 ,定义域为 , 又 , 所以 是奇函数,从而ACD错误,B正确. 故选:B. 6.(2024·山西·模拟预测)方程 的实数根的个数为( ) A.9 B.10 C.11 D.12 【答案】C 【分析】作出函数 和 的图象,由图象交点个数得出结论.【解析】设 , .在同一直角坐标系内画出 与 的大致图象, 当 时, ;当 时, . 根据图象可得两个函数共有11个交点. 故选:C. 7.(2024·河南三门峡·模拟预测)已知函数 的部分图象如图所示, 将 的图象向左平移 个单位长度后得到函数 的图象,若 在区间 上的值域为 , 则 的取值范围为( ) A. B. C. D. 【答案】C 【分析】先由图象求出函数 ,再由平移变换得函数 ,结合整体法求值域,从而求 的取值范围. 【解析】设 的最小正周期为 ,由图象可知 , 所以 ,则 ,故 , 又 的图象过点 ,所以 ,所以 ,又 ,所以 , 则 , 则 . 当 时, , 当 或 .即 或 时, , 当 ,即 时, , 所以 的取值范围为 . 故选:C. 8.(2024·天津红桥·一模)将函数 的图象横坐标伸长为原来的2倍,再向左平移 单位,得到函数 的部分图象(如图所示).对于 , ,且 ,若 , 都有 成立,则下列结论中不正确的是( ) A. B.C. 在 上单调递增 D.函数 在 的零点为 ,则 【答案】C 【分析】由题意可得函数 的图象在区间 上的对称轴为 ,再结合 可求出 ,即可判断A;再根据平移变换和周期变换得原则即可判断B,再根据正弦函数的图象和性质分别判断 CD 即可. 【解析】对于A,由题意可知函数 的图象在区间 上的对称轴为 , 则 与 关于 对称, 又 ,结合图象可得 , 所以 ,又 ,所以 , 所以 ,故A正确; 对于B, 右移 个单位得到函数 的图象, 再将其横坐标缩短为原来的 得到 的图象,故B正确; 对于C,由 ,得 , 所以 在 上不单调,故C错误; 对于D,令 ,则 ,函数 在 上有 个零点 , 则 , , , , , 故 , 所以 ,故D正确; 故选:C. 【点睛】思路点睛:三角函数图象与性质问题的求解思路: (1)将函数解析式变形为 或 的形式; (2)将 看成一个整体; (3)借助正弦函数 或余弦函数 的图象和性质(如定义域、值域、最值、周期性、对称性、 单调性等)解决相关问题. 二、多选题 9.(2024·湖南·模拟预测)已知函数 的图象经过点 ,则下列结论 正确的是( ) A.函数 的最小正周期为 B. C.函数 的图象关于点 中心对称 D.函数 在区间 单调递减 【答案】ABD 【分析】由条件可求 的解析式,再利用余弦函数的性质逐项判断即可.【解析】对选项A,依题意函数 的周期为 ,所以选项A正确; 对选项B,因为 ,即 ,又 ,所以 ,所以选项B正确; 对选项C,因为 ,又 , 所以点 不是 的中心对称,所以选项C错误; 对选项D,因为 ,所以 ,因为 在 单调递减, 所以函数 在区间 单调递减,所以选项D正确. 故选:ABD. 10.(2024·全国·模拟预测)已知函数 的图象过点 ,且两条相邻对称轴 之间的距离为 ,则下列说法正确的是( ) A. B. 在 上单调递增 C.直线 为函数 图象的一条对称轴 D. 在 上的值域为 【答案】ACD 【分析】先求出参数 的值.选项A,由相邻对称轴间的距离得出函数的最小正周期,进而求出 的值;选 项B,一种解法是先求出函数的单调递增区间,对照选项做出判断即可;另一种解法是由 ,求出 的范围,对照正弦函数的单调区间做出判断即可;选项C,一种解法是先求出函数的对称轴方程,对照选项做出判断即可;另一种解法是将 代入函数解析式检验,做出判断即可;选项D,求出 ,结合正弦函数的单调性求出函数的最值即可. 【解析】由 的图象过点 ,知 ,即 . 选项A,因为 图象的两条相邻对称轴之间的距离为 , 所以 ,则 ,故A正确. 选项B, . 法一:由 ,得 , 所以函数 在 上单调递增,在 上单调递减,故B不正确. 法二:当 时, , 正弦函数 在区间 上先增后减, 所以函数 在 上不单调,故B不正确. 选项C,法一:由 ,得 . 当 时, ,所以直线 为函数 图象的一条对称轴,故C正确. 解法二 因为 , 所以直线 为函数 图象的一条对称轴,故C正确.选项D,由 ,得 , 当 时,即 ,函数 取得最大值 , 当 时,,即 ,函数 取得最小值 ; 所以 , 所以 ,故D正确. 故选:ACD. 11.(2023·山东·模拟预测)已知函数 图象的一条对称轴为直线 ,函数 ,则( ) A.将 的图象向左平移 个单位长度得到 的图象 B.方程 的相邻两个实数根之差的绝对值为 C.函数 在区间 上单调递增 D. 在区间 上的最大值与最小值之差的取值范围为 【答案】BD 【分析】根据 对称轴得到 解析式.根据图像平移判断A选项,利用两角和的正余弦公式及特殊角 的三角函数值,得到B选项,利用整体代入的方法,结合正弦函数图像对CD两个选项进行判断. 【解析】因为函数 图象的一条对称轴为直线 ,所以 ,得,因为 ,所以 ,从而 . 选项A:将 的图象向左平移 个单位长度得到 而 ,所以平移后得不到函数 的图象,故A错误. 选项B:令 ,即 ,所以 ,故B正确. 选项C:由 ,令 ,根据正弦函数单调性知 在 上单调递增, 在定义域上单调递减,根据复合函数单调性, 在 上单调递减,故C错误. 选项D:由 得 ,区间长度为 . 根据正弦函数图象和性质,当区间 关于对称轴对称时,最大值与最小值的差取得最小值, 为 ; 当区间 关于对称中心对称时,最大值与最小值的差取得最大值,为 , 所以最大值与最小值之差的取值范围为 ,故D正确. 故选:BD. 【点睛】方法点睛:整体代入解决三角函数问题:将 看成一个整体,根据 的范围得到 的范围,结合正余弦函数值域、单调性、对称性等性质可以得到正余弦型函数的性质. 三、填空题 12.(2024·湖北武汉·二模)函数 的部分图象如图所示,则 . 【答案】 【分析】令 ,解出 ,根据图中零点得到方程解出即可. 【解析】令 ,则 , 根据图象得 为函数零点,零点左右函数为上升趋势, 则 , 则 ,因为 ,则 , , 故答案为: . 13.(2024·湖南衡阳·模拟预测)已知函数 图象过点 ,则 ;若函数 的图象关于点 中心对称,则 . 【答案】【分析】由 可得 ,对称中心 ,即可求得 ,从而知函数的解析式. 【解析】因为点 在 的图象上,所以 , 又 ,所以 . 因为 图象的一个对称中心是 , 所以 ,则 . 又 ,所以 ,故 . 故答案为: ; 14.(2024·北京朝阳·二模)设 为正整数,已知函数 , , . 当 时,记 ,其中 . 给出下列四个结论: ① , ; ② , ; ③若 ,则 ; ④若 ,则 . 其中所有正确结论的序号是 . 【答案】①③ 【分析】依据 在 上单调递增, 在 上单调递减,在 上单调递增,在 和 上单调递增,在 上单调递减, 利用单调性逐项计算可判断每个选项的正确. 【解析】对于①,因为 ,所以 . 又 在 上单调递增,所以 , 所以 ,故①正确; 对于②,当 时, , ,所以此时 ,故②错误; 对于③,当 时,因为 在 上单调递减,在 上单调递增,且关于直线 对称. 又有 ,且 和 在数轴上关于 对称,所以 , , . 所以 . 而 在 和 上单调递增,在 上单调递减. 又有 . 所以 , . 所以. 这就得到 , , ,所以此时 ,故③正确; 对于④,当 时,因为 在 上单调递减,在 上单调递增. 又 ,所以 , . 所以 . 所以此时 ,故④错误. 故答案为:①③. 【点睛】关键点点睛:本题是新定义题型,弄清题意与每个函数的单调性是关键,利用单调性比较数的大 小去绝对符号,运算量大,细心是关键. 四、解答题 15.(2023·吉林长春·模拟预测)已知函数 ( , , )的部分图象如图 所示.(1)求 的解析式; (2)设 ,若函数 在区间 上单调递增,求实数 的最大值. 【答案】(1) (2) 【分析】(1)根据图象先求A,利用周期和图象所过点求出其它参数; (2)先求 的解析式,根据单调性求得范围. 【解析】(1)由图象得 , ,所以 , 由 ,所以 ,所以 , 由图象经过点 ,代入 得 , 由 得 , 所以 . (2)由题意 , 因为函数 在区间 上单调递增,且 , 所以 ,解得 ,所以 的最大值为 . 16.(2024·山西临汾·三模)已知函数 的图象可由函数的图象平移得到,且关于直线 对称. (1)求 的值; (2)求函数 的单调递增区间. 【答案】(1) (2) 和 . 【分析】(1)根据题意求出振幅和周期,再由正显函数的对称轴解出 ,进而得到 , 再代入 解出即可; (2)先由图象平移得到 ,法一换元法整体代入求增区间;法二由正弦函数的递增区间结合条件中 范围求出即可. 【解析】(1)依题知函数 与函数 有相同的振幅和周期,所以 , 因为函数 的图象关于直线 轴对称, 所以 , 即 , 又因为 ,所以 , 所以 ,. (2) 法一:因为 ,所以 , 因为 在 单调递增, 故 的单调递增区间为 和 . 法二: 由 , 得 , 又因为 所以 的单调递增区间为 和 . 17.(2023·辽宁朝阳·模拟预测)已知函数 (其中 , , 均为常数, , , ).在用五点法作出函数 在某一个周期的图像时,列表并填入了部分数据,如表所示: 0 0 (1)求函数 的解析式,并直接写出函数 的单调递增区间;(2)已知函数 满足 ,若当函数 的定义域为 ( )时,其值域为 , 求 的最大值与最小值. 【答案】(1) ,单调递增区间为 , . (2) , 【分析】(1)依题意可得 ,即可求出 , ,再读出 ,即可得到函数解析式,再根据正弦 函数的性质求出单调递增区间; (2)首先得到 的解析式并利用诱导公式化简,再令 、 分别求出相应的取值,依题 意不妨令 ,求出 的最值,即可得解. 【解析】(1)依题意 ,解得 ,又 , 所以 , 令 , ,解得 , , 所以函数的单调递增区间为 , . (2)因为 ,所以 , 令 ,则 , ,解得 , , 令 ,则 或 , ,解得 或 , , 因为当函数 的定义域为 ( )时,其值域为 , 不妨令 ,则 ,此时 , ,此时 . 18.(2023·安徽亳州·模拟预测)已知函数 的部分图象如图所示. (1)求函数 的解析式; (2)将函数 的图象向左平移 个单位,得到函数 的图象,若方程 在 上有解,求实数 的取值范围. 【答案】(1) (2) 【分析】(1)根据函数的图象求得A和 ,再将 代入求解; (2)由(1)得到 ,再令 ,转化为二次方程求解. 【解析】(1)解:由函数的图象知: ,则 , 所以 , ,因为 , 所以 ,则 , 又因为 ,则 , 所以 ; (2)由题意得: , 令 , 则 化为: , 即 在 上有解, 由对勾函数的性质得: , 所以 .