当前位置:首页>文档>2023年高考政治二轮复习(新高考版)专题3 主观题题型突破 经济观点评析类_8.2025政治总复习_2023年新高考资料_二轮复习_2023年高考政治二轮复习讲义+课件(新高考版)

2023年高考政治二轮复习(新高考版)专题3 主观题题型突破 经济观点评析类_8.2025政治总复习_2023年新高考资料_二轮复习_2023年高考政治二轮复习讲义+课件(新高考版)

  • 2026-04-12 04:54:26 2026-03-14 04:26:34

文档预览

2023年高考政治二轮复习(新高考版)专题3 主观题题型突破 经济观点评析类_8.2025政治总复习_2023年新高考资料_二轮复习_2023年高考政治二轮复习讲义+课件(新高考版)
2023年高考政治二轮复习(新高考版)专题3 主观题题型突破 经济观点评析类_8.2025政治总复习_2023年新高考资料_二轮复习_2023年高考政治二轮复习讲义+课件(新高考版)
2023年高考政治二轮复习(新高考版)专题3 主观题题型突破 经济观点评析类_8.2025政治总复习_2023年新高考资料_二轮复习_2023年高考政治二轮复习讲义+课件(新高考版)

文档信息

文档格式
docx
文档大小
0.221 MB
文档页数
3 页
上传时间
2026-03-14 04:26:34

文档内容

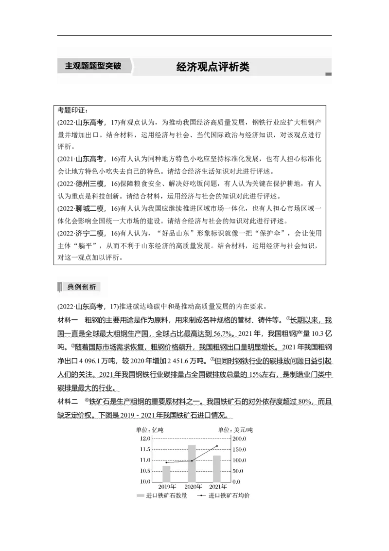
经济观点评析类 考题印证: (2022·山东高考,17)有观点认为,为推动我国经济高质量发展,钢铁行业应扩大粗钢产 量并增加出口。结合材料,运用经济与社会、当代国际政治与经济知识,对该观点进行 评析。 (2021·山东高考,16)有人认为同种地方特色小吃应坚持标准化发展,也有人担心标准化 会让地方特色小吃失去自己的特色。请结合经济生活知识对此进行评述。 (2022·德州三模,16)保障粮食安全、解决好吃饭问题,有人认为关键在保护耕地,有人 认为重点是科技创新。请结合材料,运用经济与社会的知识对此进行评述。 (2022·聊城二模,16)有人认为我国应继续推进区域市场一体化,也有人担心市场区域一 体化会影响全国统一大市场的建设。请结合经济与社会的知识对此进行评述。 (2022·济宁二模,16)有人认为,“好品山东”形象标识就像一把“保护伞”,会让使用 主体“躺平”,从而不利于山东经济的高质量发展。结合材料,运用经济与社会知识, 对这一观点加以评析。 (2022·山东高考,17)推进碳达峰碳中和是推动高质量发展的内在要求。 材料一 粗钢的主要用途是作为原料,用来制成各种规格的管材、铸件等。①长期以来,我 国一直是全球最大粗钢生产国,全球占比最高达到 56.7% 。 2021年,我国粗钢产量10.3亿 吨。②随着国际市场需求恢复,粗钢价格飙升,我国粗钢出口量明显增长。2021年我国粗钢 净出口4 096.1万吨,较2020年增加2 451.6万吨。③但同时钢铁行业的碳排放问题日益引起 人们的关注。 2021 年我国钢铁行业碳排量占全国碳排放总量的 15% 左右,是制造业门类中 碳排量最大的行业。 材料二 ④ 铁矿石是生产粗钢的重要原材料之一。我国铁矿石的对外依存度超过 80% ,而且 缺乏定价权。下图是 2019 - 2021 年我国铁矿石进口情况。有观点认为,为推动我国经济高质量发展,钢铁行业应扩大粗钢产量并增加出口。结合材料, 运用经济与社会、当代国际政治与经济知识,对该观点进行评析。 解题流程 第一步 审设 问,定 方向 答题语言:观点:应在保障国内供给基础上,适 材料信息①④:我国 度、逐步压缩粗钢产量;影响:能够从供求、产业 是世界上最大粗钢生 链、铁矿石的对外依存度、碳排放等角度,辩证分 产国,铁矿石对外依 析压缩产量或扩大产量对我国经济的利弊影响 存度高,缺乏定价权 教材溯源:经济全球化的表现和机遇 材料信息②:随着国 答题语言:观点:应减少粗钢出口;影响:能够从 第二步 际市场需求恢复,粗 国际贸易、我国经济安全等角度,辩证分析减少出 析材 钢价格飙升,我国粗 口或增加出口对我国经济的利弊影响 料,调 钢出口量明显增长 教材溯源:经济全球化的挑战 知识 答题语言:加大节能降碳技术的研发,转换增长动 材料信息②③:我国 力;资源循环利用,降本增效;深化供给侧结构性 钢铁行业面临高耗 改革,扩大中高端产品供给;充分利用国内国际两 能、高污染、低附加 个市场两种资源,培育国际竞争新优势 值的现状以及产能过 教材溯源:贯彻新发展理念,构建新发展格局,深 剩、利润下降的困境 化供给侧结构性改革,企业的经营与发展 (1)对粗钢产量有合理观点,能够辩证分析其对我国经济的影响。如,观点: 应在保障国内供给基础上,适度、逐步压缩粗钢产量;影响:能够从供求、 产业链、铁矿石的对外依存度、碳排放等角度,辩证分析压缩产量或扩大产 量对我国经济的利弊影响。 第三步 (2)对粗钢出口有合理观点,能够辩证分析其对我国经济的影响。如,观点: 组答 应减少粗钢出口;影响:能够从国际贸易、我国经济安全等角度,辩证分析 案,用 减少出口或增加出口对我国经济的利弊影响。 术语 (3)能够全面分析钢铁行业推动经济高质量发展举措。如,加大节能降碳技术 的研发,转换增长动力;资源循环利用,降本增效;深化供给侧结构性改 革,扩大中高端产品供给;充分利用国内国际两个市场两种资源,培育国际 竞争新优势。(若从其他角度作答,言之有理,可酌情给分)(参考答案)观点评析类主观题一般以“分析××的合理性”“评析××观点或行为”为设问。此类试题 对信息处理、知识迁移、综合阐释与评价问题的能力有较高要求,难度较大。 解答观点评析类主观题应从以下几方面入手: 1.对错误观点和行为进行评析的试题:试题遵循“破”“立”结合原则: 第一步:指出错误和实质。第二步:分析原因,揭示危害。第三步:指出正确观点或做法。 2.对正误混杂型试题,要分清正误部分,且有理论支撑。具体如下: 第一步:说明观点合理之处,合理之处是什么,或在什么条件下是合理的,并运用知识分析。 第二步:说明错误、不足之处,或在什么条件下是错误的,并运用知识分析。第三步:总结 概括,从整体、全局高度进行总结,指出应该怎么做,或应该坚持什么,反对什么。