当前位置:首页>文档>专题17抛物线中的最值问题(解析版)_2.2025数学总复习_2024年新高考资料_3.2024专项复习_2024年新高考数学之圆锥曲线专项重难点突破练(新高考专用)

专题17抛物线中的最值问题(解析版)_2.2025数学总复习_2024年新高考资料_3.2024专项复习_2024年新高考数学之圆锥曲线专项重难点突破练(新高考专用)

  • 2026-03-31 22:58:23 2026-03-16 10:13:26

文档预览

专题17抛物线中的最值问题(解析版)_2.2025数学总复习_2024年新高考资料_3.2024专项复习_2024年新高考数学之圆锥曲线专项重难点突破练(新高考专用)
专题17抛物线中的最值问题(解析版)_2.2025数学总复习_2024年新高考资料_3.2024专项复习_2024年新高考数学之圆锥曲线专项重难点突破练(新高考专用)
专题17抛物线中的最值问题(解析版)_2.2025数学总复习_2024年新高考资料_3.2024专项复习_2024年新高考数学之圆锥曲线专项重难点突破练(新高考专用)
专题17抛物线中的最值问题(解析版)_2.2025数学总复习_2024年新高考资料_3.2024专项复习_2024年新高考数学之圆锥曲线专项重难点突破练(新高考专用)
专题17抛物线中的最值问题(解析版)_2.2025数学总复习_2024年新高考资料_3.2024专项复习_2024年新高考数学之圆锥曲线专项重难点突破练(新高考专用)
专题17抛物线中的最值问题(解析版)_2.2025数学总复习_2024年新高考资料_3.2024专项复习_2024年新高考数学之圆锥曲线专项重难点突破练(新高考专用)
专题17抛物线中的最值问题(解析版)_2.2025数学总复习_2024年新高考资料_3.2024专项复习_2024年新高考数学之圆锥曲线专项重难点突破练(新高考专用)
专题17抛物线中的最值问题(解析版)_2.2025数学总复习_2024年新高考资料_3.2024专项复习_2024年新高考数学之圆锥曲线专项重难点突破练(新高考专用)
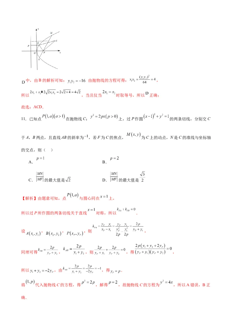
专题17抛物线中的最值问题(解析版)_2.2025数学总复习_2024年新高考资料_3.2024专项复习_2024年新高考数学之圆锥曲线专项重难点突破练(新高考专用)
专题17抛物线中的最值问题(解析版)_2.2025数学总复习_2024年新高考资料_3.2024专项复习_2024年新高考数学之圆锥曲线专项重难点突破练(新高考专用)
专题17抛物线中的最值问题(解析版)_2.2025数学总复习_2024年新高考资料_3.2024专项复习_2024年新高考数学之圆锥曲线专项重难点突破练(新高考专用)
专题17抛物线中的最值问题(解析版)_2.2025数学总复习_2024年新高考资料_3.2024专项复习_2024年新高考数学之圆锥曲线专项重难点突破练(新高考专用)
专题17抛物线中的最值问题(解析版)_2.2025数学总复习_2024年新高考资料_3.2024专项复习_2024年新高考数学之圆锥曲线专项重难点突破练(新高考专用)
专题17抛物线中的最值问题(解析版)_2.2025数学总复习_2024年新高考资料_3.2024专项复习_2024年新高考数学之圆锥曲线专项重难点突破练(新高考专用)
专题17抛物线中的最值问题(解析版)_2.2025数学总复习_2024年新高考资料_3.2024专项复习_2024年新高考数学之圆锥曲线专项重难点突破练(新高考专用)
专题17抛物线中的最值问题(解析版)_2.2025数学总复习_2024年新高考资料_3.2024专项复习_2024年新高考数学之圆锥曲线专项重难点突破练(新高考专用)
专题17抛物线中的最值问题(解析版)_2.2025数学总复习_2024年新高考资料_3.2024专项复习_2024年新高考数学之圆锥曲线专项重难点突破练(新高考专用)
专题17抛物线中的最值问题(解析版)_2.2025数学总复习_2024年新高考资料_3.2024专项复习_2024年新高考数学之圆锥曲线专项重难点突破练(新高考专用)
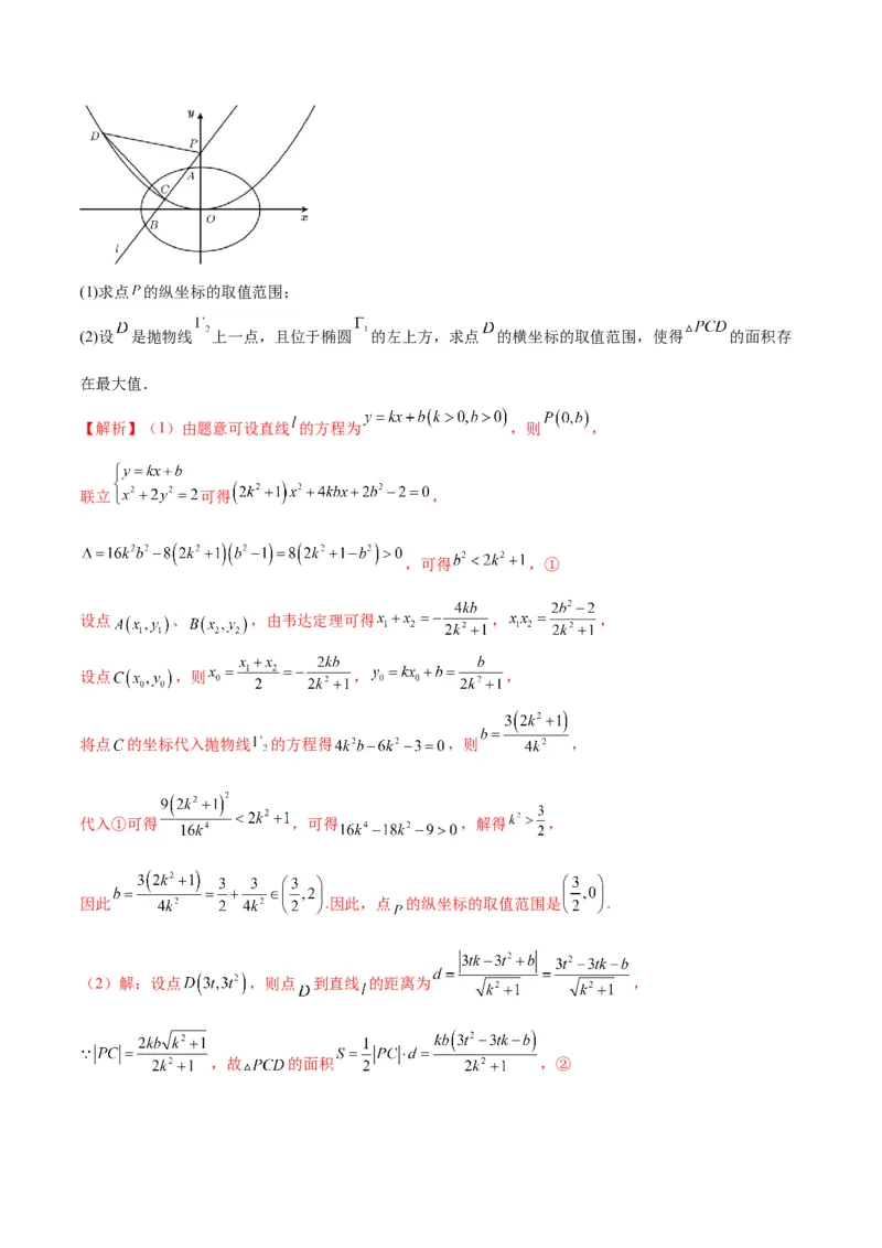
专题17抛物线中的最值问题(解析版)_2.2025数学总复习_2024年新高考资料_3.2024专项复习_2024年新高考数学之圆锥曲线专项重难点突破练(新高考专用)
专题17抛物线中的最值问题(解析版)_2.2025数学总复习_2024年新高考资料_3.2024专项复习_2024年新高考数学之圆锥曲线专项重难点突破练(新高考专用)

文档信息

文档格式
docx
文档大小
1.362 MB
文档页数
20 页
上传时间
2026-03-16 10:13:26

文档内容

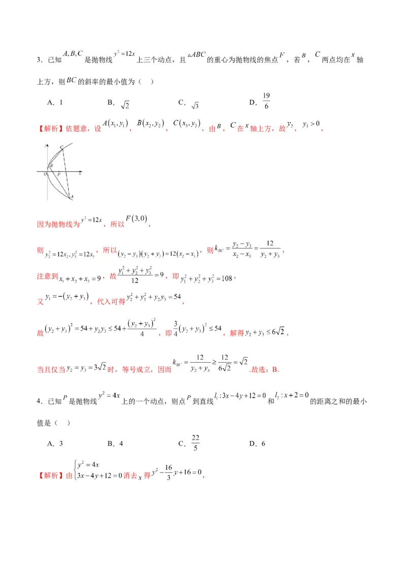
专题17 抛物线中的最值问题 限时:120分钟 满分:150分 一、单选题:本大题共8小题,每个小题5分,共40分.在每小题给出的选项中,只有一项是符合题目要 求的. 1.已知抛物线 的焦点为 ,若 , 是抛物线上一动点,则 的最小值为( ) A. B.2 C. D.3 【解析】根据题意,作图如下: 设点P在其准线x=-1上的射影为A,由抛物线的定义得: . 所以要使 取得最小值,只需 最小. 因为 (当且仅当M,P,A三点共线时取“=”),此时点P的纵坐标为1,设其横坐标为x. 0 因为P(x,1)为抛物线 上的点,则有 ,解得: . 0 当P为( ,1)时, 取得最小值2.故选:B. 2.抛物线 上的点P到直线 距离的最小值为( ) A. B. C. D. 【解析】设抛物线 上一点为 , , 点 , 到直线 的距离 , 当 时,即当 , 时,抛物线 上一点到直线 的距离最短,为 , 故选:C3.已知 是抛物线 上三个动点,且 的重心为抛物线的焦点 ,若 , 两点均在 轴 上方,则 的斜率的最小值为( ) A.1 B. C. D. 【解析】依题意,设 , , ,由 , 在 轴上方,故 , , 因为抛物线为 ,所以 , 则 ,所以 ,则 , 注意到 ,故 ,即 , 又 ,代入可得 , 故 ,即 ,解得 , 当且仅当 时,等号成立,因而 .故选:B. 4.已知 是抛物线 上的一个动点,则点 到直线 和 的距离之和的最小 值是( ) A.3 B.4 C. D.6 【解析】由 消去 得 ,因为 ,所以方程 无解,即直线 与抛物线无交点; 过点 作 于点 , 于点 ,记抛物线 的焦点为 ,连接 , 因为 点 到直线 的距离为 , 为抛物线 的准线,根据抛物的定 义可得, ,则 到直线 和 的距离之和为 , 若 , , 三点不共线,则有 , 当 , , 三点共线,且 位于 之间时, ,则 , 又 ,所以 ,即所求距离和的最小值为 . 故选: . 5.设抛物线 的准线为 ,定点 ,过准线 上任意一点 作抛物线的切线 , 为切 点,过原点O作 ,垂足为H.则线段MH长的最大值为( ) A. B. C. D. 【解析】因为抛物线 的准线为 ,焦点为 ,所以过点 作抛物线的切线 ,设切点 , 所以 ,则 ,所以直线 的方程分别为 ; ,联立可得 ,所以 ,即 , 又因为点 在准线 上,则 , , 设直线 的方程为: 代入抛物线的方程可得: , 所以 ,则 ,所以直线 过定点 ,又因为焦点 , ,所以 点在以 为直径的圆上,又因为 的中点为 ,所以 , 所以 ,故选:C. 6. , 是抛物线 上的两个动点, 为坐标原点,当 时, 的最小值为( ) A. B.4 C.8 D.64 【解析】设直线 的方程为 , , , 直线 的方程为 , 由 ,解得 ,即 ,,则 , 由 ,解得 ,即 ,则 , ,当且仅当 时取等号, 的最小值为8.故选:C. 7.已知过抛物线 焦点 的直线 交抛物线于M、N两点,则 的最小值为( )A. B. C. D.6 【解析】由题意可得焦点 ,且直线 斜率存在, 设直线 的方程为: , , , 由 可得 ,所以 , , 由抛物线的定义可得: , , 所以 , 因为 ,所以 当且仅当 即 时等号成立,所以 的最小值为 ,故选:A. 8.直线 与抛物线: 交于 , 两点, 为坐标原点,直线 , 的斜率之积为-1,以线段 的中点为圆心, 为半径的圆与直线 交于 , 两点,则 的最小值为( ) A.16 B.20 C.32 D.36 【解析】 设直线 ,联立 则该直线与 交点坐标 , 直线 , 的斜率之积为-1, 所以直线 ,则该直线与 交点坐标 ,线段 的中点 ,令 ,则 最小值为16,当 或 时取得最小值. 在 和 中,由余弦定理可得: ,两式相加可得: 其最小值为36,当 或 时取得最小值.故选:D 二、多选题:本大题共4小题,每个小题5分,共20分.在每小题给出的选项中,只有一项或者多项是符 合题目要求的. 9.已知抛物线C: 的焦点为F,P为C上一点,下列说法正确的是( ) A.抛物线C的准线方程为 B.直线 与C相切 C.若 ,则 的最小值为4 D.若 ,则 的周长的最小值为11 【解析】抛物线C: ,即 , , ,设 , 对选项A:抛物线C的准线方程为 ,正确; 对选项B: ,整理得到 ,方程有唯一解,故相切,正确; 对选项C: , 时取等号,错误; 对选项D:过点 作 垂直于准线于 , ,当 共线时等号成立,正确.故选:ABD 10.已知抛物线C: 的焦点F到准线l的距离为4,过焦点F的直线与抛物线相交于 , 两点,则下列结论中正确的是( ) A.抛物线C的准线l的方程为 B. 的最小值为4 C.若 ,点Q为抛物线C上的动点,则 的最小值为6 D. 的最小值 【解析】由焦点 到准线 的距离为4可得 ,所以抛物线的方程为 , A中,由抛物线的方程为 ,所以可得准线方程为 ,故A正确; 中,过焦点的直线为 ,则 ,整理可得 , 可得 , ,所以 , 时取等号, 最小值为8,所以 不正确; 中, 满足 ,可知点 在抛物线内部, 过 作准线的垂线,垂足为 ,则 , 当且仅当 , , 三点共线时取等号,所以 的最小值为6,故 正确;中,由B的解析可知: 由抛物线的方程可得: , 所以 ,当且仅当 时取等号,所以 正确; 故选:ACD. 11.已知点 在抛物线C: 上,过P作圆 的两条切线,分别交C 于A,B两点,且直线AB的斜率为 ,若F为C的焦点, 为C上的动点,N是C的准线与坐标轴 的交点,则( ) A. B. C. 的最大值是 D. 的最大值是 【解析】由题意可知,点 与圆心同在 上, 所以过P所作圆的两条切线关于直线 对称,所以 . 设 , , ,则 , 同理可得 , ,则 ,得 , 所以 ,由 ,得 . 将 代入抛物线C的方程,得 ,解得 ,故抛物线C的方程为 ,所以A错误,B正 确.设 ,作 垂直准线于 ,如下图所示: 由抛物线的性质可得 ,所以 ,当 最小时, 的值最大, 所以当直线MN与抛物线C相切时,θ最大,即 最小. 由题意可得 ,设切线MN的方程为 , 联立方程组 ,消去x,得 ,由 ,可得 , 将 代入 ,可得 ,所以 ,即M的坐标为 , 所以 , ,所以 的最大值为 ,即C正确,D错误. 故选:BC 12.已知 为坐标原点, 为抛物线 上一点,直线 与 交于 两点,过 作 的切线交于点 ,则下列结论正确的是( ) A. B.若点 为 ,且直线 与 倾斜角互补,则 或 C.点 在定直线 上 D.设 点为 ,则 的最小值为3【解析】对于选项A,设 ,联立抛物线和直线整理可得 , 利用韦达定理可知 , 则 , 将 代入整理可得 ,即A正确; 对于B,若点 为 ,且直线 与 倾斜角互补,则可知 与 都不重合,即 ; 所以 ,即 ,整理得 整理得 ,解得 或 ; 当 时,直线 过点 ,不合题意;所以 ,即B错误; 对于C,易知直线 恒过定点 ,如下图所示: 不妨设 在第一象限,则 在曲线 上,易得 则在 处的切线方程为 ,又 , 整理可得,在 处的切线方程为 ,同理则 在曲线 上,易得 则在 处的切线方程为 ,且 ; 所以在 处的切线方程为 ,联立 ,解得 ,即切线交点 的横坐标恒为3; 即点 在定直线 上,所以C正确; 对于D,设 ,则 , 当且仅当 时, ,即 的最小值为 ,即D错误. 故选:AC 三、填空题:本大题共4小题,每小题5分,共20分.把答案填在答题卡中的横线上. 13.在平面直角坐标系 中,已知点 ,动点P满足:过点 作直线 的垂线,垂足为 ,且 ,则 的最小值为 . 【解析】设 点坐标为 ,则 , ,又因为 ,所以 , 由 ,得 ,所以 , 是抛物线 上的点, 设 ,则 , 因为 ,所以当 时, 取最小值,此时 . 14.已知 是抛物线 的焦点, 为抛物线上的动点,且点 的坐标为 ,则 的最 大值是 . 【解析】 ,由抛物线的定义知 等于 到准线 的距离, 记直线 与准线的夹角为 ,可得 ,①若 斜率不存在,则原式 , ②若 斜率存在,当PA与抛物线相切时, 最小, 设 的直线方程为 ,联立 得 ,由 得 ,即 , 故 ,此时 15.已知点P在抛物线 上,P到 的距离是 ,P到 的距离是 , 则 的最小值为 . 【解析】设 ,因为 ,所以 , , , , 对称轴为 ,所以当 时, 取得最小值 . 16.已知点 ,动点 在函数 的图像上,动点 在以 为圆心半径为2的圆上,则 的最小值为 . 【解析】根据题意画出图像动点 满足 ,设 ,可得 的轨迹为圆 , 设 ,且 ,可得 , 化简可得, , 所在方程又为 ,令 ,解得 ,此时满足 , 可得 ,即 ,可得 的最小值为 的最小值, 当 三点共线,且为抛物线的法线时,取得最小值, 设 , 的导数为 ,可得 ,解得 即 ,即有 . 四、解答题:本大题共6小题,共70分.解答应写出必要的文字说明、证明过程或演算步骤. 17.在平面直角坐标系中, 为坐标原点,直线 ,已知动点 到点 的距离等于点 到直线 的距离,设点 的轨迹为 . (1)过点 且斜率为2的直线与曲线 交于两个不同的点 、 ,求线段 的长; (2)求曲线 上的点到直线 的最短距离. 【解析】(1)已知动点 到点 的距离等于点 到直线 的距离, 所以曲线 的轨迹是以点 为焦点,直线 为准线的抛物线,其标准方程为 ①, 因为过点 且斜率为2的直线与曲线 交于两个不同的点 、 ,则直线 的方程为 ②, 联立①②,消去 并整理得 ,设点 , ,由韦达定理得 , 此时 ;(2)不妨设点 是抛物线 上的点,则点 到直线 的距离 , 易知当 时, ,故曲线 上的点 到直线 的最短距离为 . 18.已知抛物线 的焦点为 ,直线 与抛物线 交于点 ,且 . (1)求抛物线 的方程; (2)过点 作抛物线 的两条互相垂直的弦 , ,设弦 , 的中点分别为P,Q,求 的最小 值. 【解析】(1)依题意,设 .由抛物线的定义得 ,解得: , 因为 在抛物线 上,所以 ,所以 ,解得: . 故抛物线 的方程为 . (2)由题意可知 ,直线 的斜率存在,且不为0. 设直线 的方程为 , , . 联立 ,整理得: , 则 ,从而 .因为 是弦 的中点,所以 ,同理可得 . 则 , 当且仅当 且 ,即 时等号成立,故 的最小值为8. 19.已知抛物线 : 的焦点为 ,过点 且垂直于 轴的直线交抛物线于 两点, . (1)求抛物线 的方程; (2)若 , 是抛物线 上两动点,以 为直径的圆经过点 ,点 , , 三点都不重合,求 的最小值 【解析】(1)由题知 ,∴ ,∴ ,抛物线 的方程为 . (2)设直线 的方程为 ,设点 , , 由方程组 得: ,∴ , 即 ,且 , , ∴ , ,∵以 为直径的圆经过点 ,∴ ,∴ , ∴ ,即 ,∴ ,∴ , ∴ ,∴ 或 ,若 , 直线 : 过 点,不合题意,舍去. , ∴ .则 , 所以当 时, 最小,且最小值为11. 20.已知抛物线C: ,F为抛物线C的焦点, 是抛物线C上点,且 ; (1)求抛物线C的方程; (2)过平面上一动点 作抛物线C的两条切线PA,PB(其中A,B为切点),求 的最大 值. 【解析】(1)依题意得: ,∴ ,∴ , 所求抛物线 的方程为 ; (2)抛物线 的方程为 ,即 ∴ , 设 , , 则切线PA,PB的斜率分别为 , . 所以切线PA: ,∴ ,又 , , 同理可得切线PB的方程为 , 因为切线PA,PB均过点 ,所以 , , 所以 , 为方程 的两组解. 所以直线AB的方程为 .联立方程 ,消去x整理得 , ∴ ,∴ . ∴ , ,由抛物线定义可知 , , 所以 ,∵ , ∴ ,令 , ∴原式 , 即原式的最大值 . 21.如图,已知点 是焦点为F的抛物线 上一点,A,B是抛物线C上异于P的两 点,且直线PA,PB的倾斜角互补,若直线PA的斜率为 . (1)求抛物线方程; (2)证明:直线AB的斜率为定值并求出此定值; (3)令焦点F到直线AB的距离d,求 的最大值. 【解析】(1)将点 代入抛物线方程可得: ,所以抛物线 ; (2)证明:设 ,与抛物线方程联立可得:,∴ , 因为直线PA,PB的倾斜角互补,用 代k可得: 因此, ,即 . (3)解:由(2)可知, , , 因此 , 到直线AB的距离 ,所以 ∵ , ∴ , 令 ,由 ,得 ∴ 当且仅当 时取等号.所以 的最大值为 . 22.如图,已知椭圆 和抛物线 ,斜率为正的直线 与 轴及椭圆 依次交于 、 、 三点,且线段 的中点 在抛物线 上.(1)求点 的纵坐标的取值范围; (2)设 是抛物线 上一点,且位于椭圆 的左上方,求点 的横坐标的取值范围,使得 的面积存 在最大值. 【解析】(1)由题意可设直线 的方程为 ,则 , 联立 可得 , ,可得 ,① 设点 、 ,由韦达定理可得 , , 设点 ,则 , , 将点 的坐标代入抛物线 的方程得 ,则 , 代入①可得 ,可得 ,解得 , 因此 .因此,点 的纵坐标的取值范围是 . (2)解:设点 ,则点 到直线 的距离为 , ,故 的面积 ,②将 代入②得 , 令 ,记 ,则 ,则 , 因为 在 上单调递减,所以,函数 在 内有唯一的极值点,且为极大值点, 所以, ,可得 ,③ 因为点 在椭圆 的左上方,则 ,④ 由③④可得 ,因此,点 的横坐标的取值范围是 .