当前位置:首页>文档>专题17空间几何体的结构和内切外切球问题分层训练(解析版)_2.2025数学总复习_2023年新高考资料_二轮复习_考点2023年高考数学二轮复习讲义+训练(新高考专用)

专题17空间几何体的结构和内切外切球问题分层训练(解析版)_2.2025数学总复习_2023年新高考资料_二轮复习_考点2023年高考数学二轮复习讲义+训练(新高考专用)

  • 2026-04-16 10:27:50 2026-03-16 10:52:39

文档预览

专题17空间几何体的结构和内切外切球问题分层训练(解析版)_2.2025数学总复习_2023年新高考资料_二轮复习_考点2023年高考数学二轮复习讲义+训练(新高考专用)
专题17空间几何体的结构和内切外切球问题分层训练(解析版)_2.2025数学总复习_2023年新高考资料_二轮复习_考点2023年高考数学二轮复习讲义+训练(新高考专用)
专题17空间几何体的结构和内切外切球问题分层训练(解析版)_2.2025数学总复习_2023年新高考资料_二轮复习_考点2023年高考数学二轮复习讲义+训练(新高考专用)
专题17空间几何体的结构和内切外切球问题分层训练(解析版)_2.2025数学总复习_2023年新高考资料_二轮复习_考点2023年高考数学二轮复习讲义+训练(新高考专用)
专题17空间几何体的结构和内切外切球问题分层训练(解析版)_2.2025数学总复习_2023年新高考资料_二轮复习_考点2023年高考数学二轮复习讲义+训练(新高考专用)
专题17空间几何体的结构和内切外切球问题分层训练(解析版)_2.2025数学总复习_2023年新高考资料_二轮复习_考点2023年高考数学二轮复习讲义+训练(新高考专用)
专题17空间几何体的结构和内切外切球问题分层训练(解析版)_2.2025数学总复习_2023年新高考资料_二轮复习_考点2023年高考数学二轮复习讲义+训练(新高考专用)
专题17空间几何体的结构和内切外切球问题分层训练(解析版)_2.2025数学总复习_2023年新高考资料_二轮复习_考点2023年高考数学二轮复习讲义+训练(新高考专用)
专题17空间几何体的结构和内切外切球问题分层训练(解析版)_2.2025数学总复习_2023年新高考资料_二轮复习_考点2023年高考数学二轮复习讲义+训练(新高考专用)
专题17空间几何体的结构和内切外切球问题分层训练(解析版)_2.2025数学总复习_2023年新高考资料_二轮复习_考点2023年高考数学二轮复习讲义+训练(新高考专用)
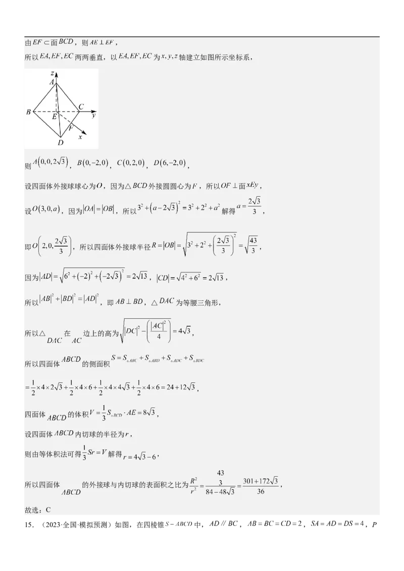
专题17空间几何体的结构和内切外切球问题分层训练(解析版)_2.2025数学总复习_2023年新高考资料_二轮复习_考点2023年高考数学二轮复习讲义+训练(新高考专用)
专题17空间几何体的结构和内切外切球问题分层训练(解析版)_2.2025数学总复习_2023年新高考资料_二轮复习_考点2023年高考数学二轮复习讲义+训练(新高考专用)
专题17空间几何体的结构和内切外切球问题分层训练(解析版)_2.2025数学总复习_2023年新高考资料_二轮复习_考点2023年高考数学二轮复习讲义+训练(新高考专用)
专题17空间几何体的结构和内切外切球问题分层训练(解析版)_2.2025数学总复习_2023年新高考资料_二轮复习_考点2023年高考数学二轮复习讲义+训练(新高考专用)
专题17空间几何体的结构和内切外切球问题分层训练(解析版)_2.2025数学总复习_2023年新高考资料_二轮复习_考点2023年高考数学二轮复习讲义+训练(新高考专用)
专题17空间几何体的结构和内切外切球问题分层训练(解析版)_2.2025数学总复习_2023年新高考资料_二轮复习_考点2023年高考数学二轮复习讲义+训练(新高考专用)
专题17空间几何体的结构和内切外切球问题分层训练(解析版)_2.2025数学总复习_2023年新高考资料_二轮复习_考点2023年高考数学二轮复习讲义+训练(新高考专用)
专题17空间几何体的结构和内切外切球问题分层训练(解析版)_2.2025数学总复习_2023年新高考资料_二轮复习_考点2023年高考数学二轮复习讲义+训练(新高考专用)
专题17空间几何体的结构和内切外切球问题分层训练(解析版)_2.2025数学总复习_2023年新高考资料_二轮复习_考点2023年高考数学二轮复习讲义+训练(新高考专用)
专题17空间几何体的结构和内切外切球问题分层训练(解析版)_2.2025数学总复习_2023年新高考资料_二轮复习_考点2023年高考数学二轮复习讲义+训练(新高考专用)
专题17空间几何体的结构和内切外切球问题分层训练(解析版)_2.2025数学总复习_2023年新高考资料_二轮复习_考点2023年高考数学二轮复习讲义+训练(新高考专用)
专题17空间几何体的结构和内切外切球问题分层训练(解析版)_2.2025数学总复习_2023年新高考资料_二轮复习_考点2023年高考数学二轮复习讲义+训练(新高考专用)
专题17空间几何体的结构和内切外切球问题分层训练(解析版)_2.2025数学总复习_2023年新高考资料_二轮复习_考点2023年高考数学二轮复习讲义+训练(新高考专用)
专题17空间几何体的结构和内切外切球问题分层训练(解析版)_2.2025数学总复习_2023年新高考资料_二轮复习_考点2023年高考数学二轮复习讲义+训练(新高考专用)
专题17空间几何体的结构和内切外切球问题分层训练(解析版)_2.2025数学总复习_2023年新高考资料_二轮复习_考点2023年高考数学二轮复习讲义+训练(新高考专用)
专题17空间几何体的结构和内切外切球问题分层训练(解析版)_2.2025数学总复习_2023年新高考资料_二轮复习_考点2023年高考数学二轮复习讲义+训练(新高考专用)
专题17空间几何体的结构和内切外切球问题分层训练(解析版)_2.2025数学总复习_2023年新高考资料_二轮复习_考点2023年高考数学二轮复习讲义+训练(新高考专用)
专题17空间几何体的结构和内切外切球问题分层训练(解析版)_2.2025数学总复习_2023年新高考资料_二轮复习_考点2023年高考数学二轮复习讲义+训练(新高考专用)
专题17空间几何体的结构和内切外切球问题分层训练(解析版)_2.2025数学总复习_2023年新高考资料_二轮复习_考点2023年高考数学二轮复习讲义+训练(新高考专用)
专题17空间几何体的结构和内切外切球问题分层训练(解析版)_2.2025数学总复习_2023年新高考资料_二轮复习_考点2023年高考数学二轮复习讲义+训练(新高考专用)
专题17空间几何体的结构和内切外切球问题分层训练(解析版)_2.2025数学总复习_2023年新高考资料_二轮复习_考点2023年高考数学二轮复习讲义+训练(新高考专用)
专题17空间几何体的结构和内切外切球问题分层训练(解析版)_2.2025数学总复习_2023年新高考资料_二轮复习_考点2023年高考数学二轮复习讲义+训练(新高考专用)
专题17空间几何体的结构和内切外切球问题分层训练(解析版)_2.2025数学总复习_2023年新高考资料_二轮复习_考点2023年高考数学二轮复习讲义+训练(新高考专用)
专题17空间几何体的结构和内切外切球问题分层训练(解析版)_2.2025数学总复习_2023年新高考资料_二轮复习_考点2023年高考数学二轮复习讲义+训练(新高考专用)
专题17空间几何体的结构和内切外切球问题分层训练(解析版)_2.2025数学总复习_2023年新高考资料_二轮复习_考点2023年高考数学二轮复习讲义+训练(新高考专用)
专题17空间几何体的结构和内切外切球问题分层训练(解析版)_2.2025数学总复习_2023年新高考资料_二轮复习_考点2023年高考数学二轮复习讲义+训练(新高考专用)
专题17空间几何体的结构和内切外切球问题分层训练(解析版)_2.2025数学总复习_2023年新高考资料_二轮复习_考点2023年高考数学二轮复习讲义+训练(新高考专用)
专题17空间几何体的结构和内切外切球问题分层训练(解析版)_2.2025数学总复习_2023年新高考资料_二轮复习_考点2023年高考数学二轮复习讲义+训练(新高考专用)
专题17空间几何体的结构和内切外切球问题分层训练(解析版)_2.2025数学总复习_2023年新高考资料_二轮复习_考点2023年高考数学二轮复习讲义+训练(新高考专用)
专题17空间几何体的结构和内切外切球问题分层训练(解析版)_2.2025数学总复习_2023年新高考资料_二轮复习_考点2023年高考数学二轮复习讲义+训练(新高考专用)
专题17空间几何体的结构和内切外切球问题分层训练(解析版)_2.2025数学总复习_2023年新高考资料_二轮复习_考点2023年高考数学二轮复习讲义+训练(新高考专用)
专题17空间几何体的结构和内切外切球问题分层训练(解析版)_2.2025数学总复习_2023年新高考资料_二轮复习_考点2023年高考数学二轮复习讲义+训练(新高考专用)
专题17空间几何体的结构和内切外切球问题分层训练(解析版)_2.2025数学总复习_2023年新高考资料_二轮复习_考点2023年高考数学二轮复习讲义+训练(新高考专用)
专题17空间几何体的结构和内切外切球问题分层训练(解析版)_2.2025数学总复习_2023年新高考资料_二轮复习_考点2023年高考数学二轮复习讲义+训练(新高考专用)
专题17空间几何体的结构和内切外切球问题分层训练(解析版)_2.2025数学总复习_2023年新高考资料_二轮复习_考点2023年高考数学二轮复习讲义+训练(新高考专用)

文档信息

文档格式
docx
文档大小
3.847 MB
文档页数
45 页
上传时间
2026-03-16 10:52:39

文档内容

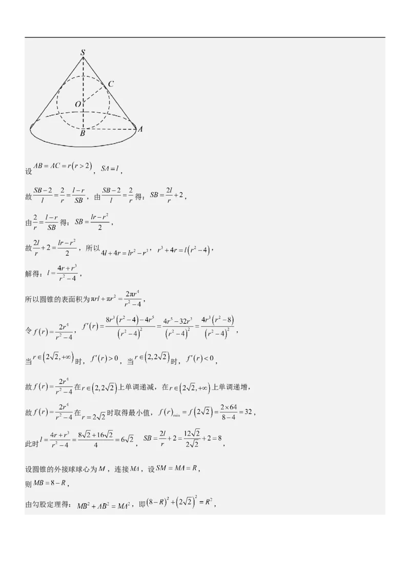
专题17 空间几何体的结构和内切 外切球问题 【练基础】 一、 单选题 1.(2023春·四川成都·高三校联考期末)已知圆锥的母线长为3,若轴截面为等腰直角三角形,则圆锥的表面积 为( ) A. B. C. D. 【答案】B 【分析】求得圆锥的底面半径,进而求得圆锥的表面积. 【详解】依题意,圆锥的母线长为3,轴截面为等腰直角三角形, 所以圆锥的底面半径为 , 所以圆锥的表面积为 . 故选:B 2.(2023·云南红河·统考一模)如图所示是一块边长为10cm的正方形铝片,其中阴影部分由四个全等的等腰梯形 和一个正方形组成,将阴影部分裁剪下来,并将其拼接成一个无上盖的容器(铝片厚度不计),则该容器的容积 为( ) A. B. C. D. 【答案】B 【分析】作出正四棱台,作出辅助线,得到各边长,求出四棱台的高,从而利用台体体积公式求出体积. 【详解】由题知,该容器的容积就是正四棱台的体积, 如图,连接正四棱台上下底面的中心 , ,取上底面正方形一边中点 ,对应下底面正方形一边中点 ,连接, , , 则 ,故 四点共面, 过点 作 交 于点 ,则四边形 为矩形, 故 , 因为该正四棱台上、下底面边长分别为2,6,等腰梯形的斜高为4, 所以 , 故 , 所以该棱台的高 ,下底面面积 ,上底面面积 , 所以该容器的容积是 . 故选:B 3.(2023·陕西西安·统考一模)盲盒是一种深受大众喜爱的玩具,某盲盒生产厂商准备将棱长为 的正四面体 的魔方放入正方体盲盒内,为节约成本,使得魔方能够放入盲盒且盲盒棱长最小时,盲盒内剩余空间的体积为( ) A. B. C. D. 【答案】C 【分析】棱长为8的正四面体放入正方体,使正方体面对角线长等于正四面体棱长,然后求出体积作答. 【详解】依题意,要使棱长为 的正四面体的魔方放入正方体盲盒内,且盲盒棱长最小, 则当且仅当正方体的面对角线长等于正四面体的棱长,即它们有相同的外接球,如图,正四面体 的棱长为8cm,该正四面体的所有棱均为正方体对应的面对角线, 所以该正方体棱长为 ,盲盒内剩余空间的体积为 . 故选:C 4.(2023春·云南昆明·高三校考阶段练习)如图所示是我国古代舂米用的一种青石制成的石臼,其外形是正四棱 台,糙米(杂粮等)放在中间凿出的半球内,利用石锤等工具对糙米进行加工.已知该石臼上口宽和高都等于 0.8m,下底边长与球的直径都等于0.6m,则该石臼的体积约为(参考数据: )( ) A.0.21 B.0.28 C.0.34 D.0.46 【答案】C 【分析】根据台体体积公式和球的体积公式求解. 【详解】正四棱台的体积为 , 半球的体积为 , 所以该石白的体积约为 , 故选:C. 5.(2023春·湖南长沙·高三雅礼中学校考阶段练习)如图,已知四棱柱 的体积为 ,四边形 是平行四边形,点 在平面 内,且 ,则三棱锥 与三棱锥 的公 共部分的体积为( )A. B. C. D. 【答案】A 【分析】作出辅助线,找到两三棱锥的公共部分,结合三角形相似知识得到边长比,从而得到体积比,求出答案. 【详解】先找两三棱锥的公共部分,由 知: ,故 , 在 上取点 ,使得 ,连接 , 设 ,连接 , 则三棱锥 为三棱锥 与三棱锥 的公共部分, ∵ ∽ , , 点 到平面 的距离是点 到平面 的距离的 ,又 , . 故选:A.6.(2023秋·天津南开·高三校考阶段练习)如图,半球内有一内接正四棱锥 ,该四棱锥的体积为 , 则该半球的体积为( ) A. B. C. D. 【答案】C 【分析】设半球的半径为 ,连接 交于点 ,连接 ,利用四棱锥的体积公式求出半径 ,再代入球的 体积公式即可求解. 【详解】依题意,设半球的半径为 , 连接 交于点 ,连接 ,如图所示: 则有 ,易得 , 所以正四棱锥 的体积为: , 解得: , 所以半球的体积为: . 故选:C. 7.(2023·福建厦门·统考二模)西施壶是紫砂壶器众多款式中最经典的壶型之一,是一款非常实用的泡茶工具 (如图1).西施壶的壶身可近似看成一个球体截去上下两个相同的球缺的几何体.球缺的体积(R为球缺所在球的半径,h为球缺的高).若一个西施壶的壶身高为8cm,壶口直径为6cm(如图2),则该壶 壶身的容积约为(不考虑壶壁厚度,π取3.14)( ) A.494ml B.506ml C.509ml D.516ml 【答案】A 【分析】依题意作出几何体的轴截面图,即可求出对应线段的长,进而求出球的半径和球缺的高,再根据球的体 积公式和球缺的体积求解即可. 【详解】如图作出几何体的轴截面如下面所示, 依题意, , 为球心, 为壶口所在圆的圆心,所以 , 因为 ,所以 ,且 , , 所以球的半径 ,所以球缺的高 , 所以球缺的体积 , 所以该壶壶身的容积约为: . 故选:A. 8.(2023·全国·高三专题练习)如图, 中, , 为 的中点,将 沿 折叠成三棱锥 ,则该棱锥体积最大值为( )A. B. C. D. 【答案】B 【分析】根据题意易得 平面 ,进而得三棱锥 的体积为 即可得答案. 【详解】解:因为在 中, , 为 的中点, 所以 , , 所以,在折叠成的三棱锥 中, , 因为 平面 , 所以 平面 , 所以,三棱锥 的体积为 ,当且仅当 时等号成立, 所以,该棱锥体积最大值为 故选:B 二、多选题 9.(2023·黑龙江哈尔滨·哈尔滨三中校考一模)已知圆锥SO(O是圆锥底面圆的圆心,S是圆锥的顶点)的母线 长为3,底面半径为 .若P,Q为底面圆周上的任意两点,则下列说法中正确的是( ) A.圆锥SO的侧面积为 B. SPQ面积的最大值为 C.三棱锥O-SPQ体积的最大值为D.圆锥SO的内切球的体积为 【答案】AC 【分析】A选项,圆锥的侧面展开图为扇形,母线为扇形半径,底面圆周长为扇形弧长,据此可得圆锥的侧面积; B选项,当 最大时, SPQ面积最大; C选项,当 面积最大时,三棱锥O-SPQ体积最大; D选项,由圆锥的轴截面图可求得圆锥内切球的半径. 【详解】A选项,因底面半径为 ,则底面圆周长为 ,则侧面展开扇形的圆心角为: ,则侧面积为: .故A正确; B选项,当 最大,即 时, SPQ面积最大. 则 SPQ面积最大值为: ,故B错误; C选项, ,则当 时, 取最大值 ,又 ,则三棱锥O-SPQ体积的最大值为: .故C正确; D选项,如图圆锥内切球半径为圆锥轴截面内切圆半径, 设内切球半径为 ,内切球球心为I,连接 .则 .则内切球体积为: .故D错误. 故选:AC【点睛】 10.(2023春·湖南·高三校联考阶段练习)如图,在矩形ABCD中, ,E,F,G,H分别为AB, BC,CD,AD的中点,AC与BD交于点O,现将△AEH,△BEF,△CFG,△DGH分别沿EH,EF,FG,GH把 这个矩形折成一个空间图形,使A与D重合,B与C重合,重合后的点分别记为M,N,Q为MN的中点,对于多 面体MNEFGH,下列说法正确的是( ) A.异面直线GN与ME的夹角大小为60° B.该多面体的体积为 C.四棱锥E-MNFH的外接球的表面积为 D.若点P是该多面体表面上的动点,满足 时,点P的轨迹长度 【答案】AC 【分析】根据异面直线所成角的几何法即可利用三角形边的关系进行求解A,根据线面垂直以及锥体的体积即可 求解B,根据外接球的性质,结合勾股定理即可求解C,根据线面垂直即可判断点P的轨迹,即可求解D. 【详解】取 的中点为 ,取NE的中点为点P,连接 , 由几何体形成的过程可知平面 平面 ,其交线为 ,由于四边形 为菱形,四边形 为等腰梯形,故 , 平面 ,所以 平面 , 由题意可知 , ,∴ ,∴ ,由于 平面 ,所以 平面 , 由 ,得 ,则∠OPQ即为异面直线GN与ME所成夹角的平面角或 其补角,而 ,∴△OPQ为等边三角形,∴异面直线GN与ME的夹角大小为60°,选项A正确; 由几何体形成的过程可知平面 平面 ,其交线为 ,由于 四边形 为菱形,四边形 为等腰梯形,故 , 平面 ,所以 平面 , , ,选项B错误; 在△NFH中, , ,∴△NFH的外接圆直径 ,△HEF的外接圆 直径 ,∴四棱锥E-MNFH的外接球直径D满足 ,∴四棱锥E -MNFH的外接球的表面积为 ,选项C正确: 由A可知 平面 ,同理 平面MEG ,又 ,所以ON⊥平面MEG,点P所在平面与平面 MEG平行,∴点P的轨迹为五边形QPRST,长度为 ,D选项错误. 故选AC.【点睛】 11.(2023秋·辽宁锦州·高三统考期末)已知正方体 的棱长为1, 是线段 上的动点,则下列 说法正确的是,( ) A.存在点 使 B.点 到平面 的距离为 C. 的最小值是 D.三棱锥 的体积为定值 【答案】AD 【分析】建立空间直角坐标系,利用向量法对选项进行分析,从而确定正确答案. 【详解】以 为原点建立如图所示空间直角坐标系, , 设 , ,当 时, , 此时 与 重合,所以A选项正确. 设平面 的法向量为 , 则 ,故可设 , 所以点 到平面 的距离为 ,B选项错误. , ,, 所以当 时, 取得最小值为 ,C选项错误. ,为定值,D选项正确. 故选:AD 【提能力】 一、单选题 12.(2023·陕西西安·统考一模)在三棱锥 ,平面 平面 , 是以 为斜边的等腰直角 三角形, 为等边三角形, ,则该三棱锥的外接球的表面积为( ) A. B. C. D. 【答案】C 【分析】由面面垂直的性质结合直角三角形和等边三角形的性质得出 的外接圆圆心为该三棱锥的外接球的 球心,再由正弦定理以及球的表面积公式求解. 【详解】解:过点 作 的垂线,垂足为 ,因为 是以 为斜边的等腰直角三角形, 所以 的外接圆的圆心为 ,设 的外接圆圆心为 ,其半径为 , 则 在 上,所以 ,由面面垂直的性质可知, 平面 , 所以 ,即 为该三棱锥的外接球的球心,由正弦定理可知, , 故该三棱锥的外接球的表面积为 . 故选:C 13.(2023·全国·模拟预测)晶胞是构成晶体的最基本的几何单元,是结构化学研究的一个重要方面.在如图(1) 所示的体心立方晶胞中,原子A与B(可视为球体)的中心分别位于正方体的顶点和体心,且原子B与8个原子A 均相切.已知该晶胞的边长(图1中正方体的棱长)为 ,则当图(2)中所有原子(8个A原子与1个B 原子)的体积之和最小值为( ) A. B. C. D. 【答案】B 【分析】设出球 的半径为 , ,表达出球 的半径,表达出 ,令, ,由导函数得到函数的单调性,从而求出最值 【详解】因为该晶胞的边长为 ,所以正方体对角线成为 , 设球 的半径为 , ,则球 的半径为 , 所以所有原子的体积之和为 , 令 , , 则 , 因为 ,所以 恒成立, 则当 时, ,当 时, , 故 在 上单调递减,在 上单调递增, 故 在 处取得极大值,也时最大值, 故 ,故体积最大值为 . 故选:B 14.(2022·海南省直辖县级单位·校联考一模)已知四面体 ,且 , , 面 面 ,则四面体 的外接球与内切球的表面积之比为( ) A. B. C. D. 【答案】C 【分析】取 中点 , 中点 ,以 为 轴建立坐标系,利用外接球球心到顶点的距离相等求 外接球半径,利用等体积法求内切球半径即可求解. 【详解】取 中点 , 中点 ,连接 , 因为 ,则 ,又 且 ,则 , 又面 面 ,面 面 , 面 ,所以 面 ,由 面 ,则 , 所以 两两垂直,以 为 轴建立如图所示坐标系, 则 , , , , 设四面体外接球球心为 ,因为△ 外接圆圆心为 ,所以 面 , 设 ,因为 ,所以 解得 , 即 ,所以四面体外接球半径 , 因为 , , 所以 ,即 ,△ 为等腰三角形, 所以△ 在 边上的高为 , 所以四面体 的侧面积 , 四面体 的体积 , 设四面体 内切球的半径为 , 则由等体积法可得 解得 , 所以四面体 的外接球与内切球的表面积之比为 , 故选:C 15.(2023·全国·模拟预测)如图,在四棱锥 中, , , ,P为侧棱SA的中点,则四棱锥 外接球的表面积为( ) A. B. C. D. 【答案】B 【分析】取AD的中点O,连接OB,OC,OP,根据已知得出四边形OABC为平行四边形, ,即可得出 ,则四棱锥 外接球的球心为O,半径为2,即可根据球的表面积计算得出 答案. 【详解】取AD的中点O,连接OB,OC,OP. 因为 , , 所以 . 又 ,即 , 所以四边形OABC为平行四边形, 所以 ,同理可得 . 因为 ,且P为侧棱SA的中点, 所以 , 所以在 中, .(点拨:直角三角形斜边的中线等于斜边的一半) 所以 , 所以四棱锥 外接球的球心为O,半径为2, 故外接球的表面积为 ,故选:B. 16.(2023·湖南·模拟预测)在意大利,有一座满是“斗笠”的灰白小镇阿尔贝罗贝洛,这些圆锥形屋顶的奇特小 屋名叫Trullo,于1996年被收入世界文化遗产名录,现测量一个Trullo的屋顶,得到母线SA长为6米(其中S为 圆锥顶点,O为圆锥底面圆心),C是母线SA的靠近点S的三等分点.从点A到点C绕圆锥顶侧面一周安装灯带, 若灯带的最短长度为 米,则圆锥的SO的体积为( ) A. 立方米 B. 立方米 C. 立方米 D. 立方米 【答案】C 【分析】设圆锥底面半径为r,如图,根据余弦定理得到 ,计算 , ,再计算体积得到答 案. 【详解】设圆锥底面半径为r,如图,扇形 是圆锥的侧面展开图, 中, , , ,所以 , 所以 ,所以 , , , 所以圆锥的体积为 (立方米),故选:C 17.(2023·江西赣州·统考一模)在棱长为6的正方体 中, , 分别为 , 的中点,则 三棱锥 外接球的表面积为( ) A. B. C. D. 【答案】D 【分析】根据题意,三棱锥 与三棱柱 外接球相同.确定球心位置,利用正弦定理,余弦定理, 勾股定理,求出球的半径,再利用球的表面积公式即可求解. 【详解】如图,设 , 分别为棱 , 的中点,则三棱锥 与三棱柱 外接球相同. 在 中, , 由余弦定理 ,所以 ; 设 外接圆半径为 , 在 中,由正弦定理 故 外接圆半径 , 设三棱柱 外接球半径为 ,由勾股定理 , 则三棱锥 外接球的表面积 . 故选:D 【点睛】关键点点睛:本题求解的关键是:把三棱锥的外接球转化为三棱柱的外接球,利用底面外接圆的半径和 三棱柱的高,可得外接球的半径,从而得到外接球的面积.18.(2023·吉林通化·梅河口市第五中学校考模拟预测)在四边形ABCD中, , ,将 沿AC翻折至 ,三棱锥 的顶点都在同一个球面上,若该球的表面 积为 ,则三棱锥 的体积为( ) A. B. C. D. 【答案】C 【分析】先根据外接球的表面积求出球的半径,过点 作 平面 ,垂足为 ,设 为 的中点,易得三 棱锥 外接球的球心过点 且垂直平面 的垂线上,再利用勾股定理求出三棱锥的高,即可得解. 【详解】设三棱锥 外接球的半径为 , 则 ,解得 , 如图,过点 作 平面 ,垂足为 , 设 为 的中点, 为三棱锥 外接球的球心, 因为 ,则 为 外接圆的圆心, 所以三棱锥 外接球的球心过点 且垂直平面 的垂线上, 即 平面 , 则 , 作 于点 ,连接 , 因为 平面 , 平面 , 所以 ,所以 , 所以 为矩形,则 , 又 平面 , 所以 平面 , 又 平面 ,所以 , 设三棱锥 的高为 ,即 , , 则 中, , , , 由 ,得 ,解得 , 即三棱锥 的高为 , 所以三棱锥 的体积为 . 故选:C. 【点睛】方法点睛:立体几何外接球问题,通常要找到-个特殊三角形或四边形,找到其外心,从而找到球心的位 置,从而利用球的半径相等列出方程,求出半径,进而求解球的表面积或体积等. 19.(2023·浙江·模拟预测)在《九章算术》中记载,堑堵是底面为直角三角形的直三棱柱,阳马指底面为矩形, 一侧棱垂直于底面的四棱锥,鳖臑为四个面都为直角三角形的三棱锥,如图,在堑堵 中, ,鳖臑 的外接球的体积为 ,则阳马 体积的最大值为( ) A. B. C. D.4 【答案】B 【分析】设 的外接球半径为r,根据鳖臑 的外接球的体积即可求得r,再根据的外接球的半径与三棱柱 的外接球的半径相同可得到x,y的关系式,再根据四棱锥的体积 公式结合基本不等式即可求解. 【详解】设 的外接球半径为r, 则 的外接球的体积为 . . 又阳马 的体积为 , 所以阳马 体积的最大值为 . 故选:B. 20.(2023·江苏连云港·统考模拟预测)已知圆锥内切球(与圆锥侧面、底面均相切的球)的半径为2,当该圆锥 的表面积最小时,其外接球的表面积为( ) A. B. C. D. 【答案】A 【分析】作出图形,设 , ,由三角形相似得到 ,得到圆锥的表面积为 ,令 ,由导函数得到当 时,圆锥的表面积取得最小值,进而得到此时 与 , 作出圆锥的外接球,设外接球半径为 ,由勾股定理列出方程,求出外接球半径和表面积. 【详解】设圆锥的顶点为 ,底面圆的圆心为 ,内切球圆心为 , 则 , , 因为 ⊥ , ⊥ ,所以 ∽ ,则 ,设 , , 故 ,由 得: , 由 得: , 故 ,所以 , , 解得: , 所以圆锥的表面积为 , 令 , , 当 时, ,当 时, , 故 在 上单调递减,在 上单调递增, 故 在 时取得最小值, , 此时 , , 设圆锥的外接球球心为 ,连接 ,设 , 则 , 由勾股定理得: ,即 ,解得: ,故其外接球的表面积为 . 故选:A 【点睛】解决与球有关的内切或外接的问题时,解题的关键是确定球心的位置.对于外切的问题要注意球心到各 个面的距离相等且都为球半径;对于球的内接几何体的问题,注意球心到各个顶点的距离相等,解题时要构造出 由球心到截面圆的垂线段、小圆的半径和球半径组成的直角三角形,利用勾股定理求得球的半径. 二、多选题(共0分) 21.(2023春·浙江·高三开学考试)已知正三棱锥 的底面边长为2,表面积为 ,A,B,C三点均 在以O为球心得球面上, Q为球面上一点,下列结论正确得是( ) A.球O的半径为 B.三棱锥 的内切球半径为 C. 的取值范围为 D.若 平面ABC,则异面直线AC与QB所成角的余弦值为 【答案】ABD 【分析】设G,H, ,分别为BC,AB,AQ的中点, 为 的中心,求出 ,故选项A正确;求出三棱锥 的内切球半径为 ,故选项B正确; ,故选项C错误;求出异面 直线AC与QB所成角的余弦值为 ,故选项D正确. 【详解】解:设G,H, ,分别为BC,AB,AQ的中点, 为 的中心, ,故选项A正确; 设三棱锥 的内切球半径为 , , , ,故选项B正确; ,故选项C错误; , ,所以异面直线AC与QB所成角就是 或其补角. 因为 , , . , 所以异面直线AC与QB所成角的余弦值为 ,故选项D正确. 故选:ABD.22.(2023春·全国·高三校联考阶段练习)中国某些地方举行婚礼时要在吉利方位放一张桌子,桌子上放一个装 满粮食的升斗,斗面用红纸糊住,斗内再插一杆秤、一把尺子,寓意粮食满园、称心如意、十全十美,下图为一 种婚庆升斗的规格,该升斗外形是一个正四棱台,上、下底边边长分别为 , ,侧棱长为 ,忽略其 壁厚,则该升斗的容积为_________ . 【答案】 【分析】先求出四棱台的高,再根据四棱台的体积公式计算. 【详解】上下底面对角线的长度分别为: , 高h , 上底面的面积 ,下底面的面积 , 四棱台的体积 ; 故答案为: . 23.(2023春·四川成都·高三四川省成都市玉林中学校考阶段练习)已知正方体 的棱长为1,E, F分别是棱 和棱 的中点,G为棱BC上的动点(不含端点).则下列说法中正确的序号是_______. (1)当G为棱BC的中点时, 是锐角三角形; (2)三棱锥 的体积为定值; (3)若异面直线AB与EG所成的角为 ,则 . 【答案】(2)(3) 【分析】计算 长度即可确定 为直角三角形可判断(1);利用等体积法可判断(2);再根据异面直线所成角 的定义求解(3). 【详解】当G为棱BC的中点时, , ,, , 所以 ,所以 是直角三角形,(1)错误; 因为 ,(2)正确; 取 中点为 ,连接 ,则 , 所以 为异面直线AB与EG所成的角, 因为 , 平面 , 所以 平面 ,又因为 平面 , 所以 , 所以在 中, , 因为G为棱BC上的动点(不含端点), 所以 , 所以 , 又因为 ,所以 ,(3)正确, 故答案为:(2)(3). 24.(2023·陕西·西安市西光中学校联考一模)在四棱锥 中, 平面ABCD, ,点M是矩形 ABCD内(含边界)的动点,且 , ,直线PM与平面ABCD所成的角为 ,当三棱锥 的体 积最小时,三棱锥 的外接球的体积为________. 【答案】 【分析】根据线面角的定义得出M位于底面矩形ABCD内的以点A为圆心,2为半径的圆上,再由三棱锥 的体积最小,确定点M位于F,进而由长方体外接球模型结合体积公式求解.【详解】因为 平面 ,所以 即为直线 与平面 所成的角, 所以 .因为 ,所以 ,如图,易知M位于底面矩形ABCD内的以点A为圆心,2为半径的 圆上,记点M的轨迹为圆弧EF.连接AF,当点M位于F时,三棱锥 的体积最小,由长方体外接球模型可 知,三棱锥 的外接球球心为PF的中点,此外接球的体积 . 故答案为: 25.(2023·山东日照·统考一模)设棱锥 的底面为正方形,且 , ,如果 的面 积为1,则能够放入这个棱锥的最大球的半径为___________. 【答案】 ## 【分析】设球O是与平面MAD,ABCD,MBC都相切的球,求出与三个面MAD,ABCD,MBC都相切的球的半径 为 ,再证明O到平面MAB的距离大于球O的半径r,O到面MCD的距离也大于球O的半径r,即得解. 【详解】如图,因为AB⊥AD,AB⊥MA, 平面MAD,所以,AB垂直于平面MAD,由此 知平面MAD垂直平面ABCD. 设E是AD的中点,F是BC的中点,则ME⊥AD,所以,ME垂直平面ABCD,ME⊥EF.设球O是与平面MAD,ABCD,MBC都相切的球. 不失一般性,可设O在平面MEF上.于是O为 MEF的内心. △ 设球O的半径为r,则 . 设AD=EF=a,因为 ,所以 , , 且当 ,即 时,上式取等号,所以,当AD=ME= 时, 所以与三个面MAD,ABCD,MBC都相切的球的半径为 . 作OG⊥ME于G,易证OG//平面MAB,G到平面MAB的距离就是O到平面MAB的距离. 过G作MH⊥MA于H,则GH是G到平面MAB的距离. , , 又 , , , . , 故O到平面MAB的距离大于球O的半径r,同样O到面MCD的距离也大于球O的半径r,故球O在棱锥M-ABCD 内,并且不可能再大. 据此可得所求的最大球的半径为 . 故答案为:26.(2023·山东临沂·统考一模)已知正方体 的棱长为4,点 分别是 的中点,则( ) A.直线 是异面直线 B.平面 截正方体所得截面的面积为 C.三棱锥 的体积为 D.三棱锥 的外接球的表面积为 【答案】ACD 【分析】对于A,取 的中点 ,连接 ,取 的中点 ,连接 ,证明 ,即可判断;对于B, 延长 交于点 ,连接 交 点 ,连接 ,说明平面 截正方体所得截面为四边形 , 从而可以判断;对于C,连接 ,证明 平面 ,再根据 即可判断;对于D,如 图,以点 为原点建立空间直角坐标系,设 为 的中点, 为三棱锥 的外接球的球心,利用空间中 两点的距离公式求出球心及半径即可判断. 【详解】对于A,如图,取 的中点 ,连接 ,取 的中点 ,连接 , 则 , 所以四边形 是平行四边形,所以 , 又因 ,所以直线 是异面直线,故A正确;对于B,如图,延长 交于点 ,连接 交 点 ,连接 , 因为 为 的中点,则 , 所以 为 的中点, 因为 ,所以 为 的中点,则 , 因为 , 所以 为平行四边形,所以 , 所以 , 则平面 截正方体所得截面为等腰梯形 , 在等腰梯形 中, , 则梯形的高为 , 所以等腰梯形 的面积为 ,故B错误;对于C,连接 ,则 , 因为 平面 , 平面 , 所以 , 又 平面 ,所以 平面 , 又因为 为 的中点, 所以三棱锥 的高为 , , 所以 ,故C正确; 对于D,如图,以点 为原点建立空间直角坐标系, 设 为 的中点,则 为 的外心, 则三棱锥 的外接球的球心在过点 且垂直平面 的直线上,设为 , 则 平面 ,因为 平面 ,所以 ,设 , 则 , , 因为 ,所以 ,所以 , 故 , 由 ,得 ,解得 , 所以三棱锥 的外接球的半径 , 表面积为 ,故D正确. 故选:ACD. 【点睛】关键点睛:本题D选项的突破口是,建立空间直角坐标系,先由球心与截面圆心连线垂直于截面得到 平面 ,从而求出 ,由此得解. 27.(2023·吉林·统考二模)如图,正四棱柱 中, ,动点P满足 , 且 .则下列说法正确的是( )A.当 时,直线 平面 B.当 时, 的最小值为 C.若直线 与 所成角为 ,则动点P的轨迹长为 D.当 时,三棱锥 外接球半径的取值范围是 【答案】ABC 【分析】当 时,由平面向量线性运算法则可知点 在线段 上,根据正四棱柱特征利用线面垂直判定定理 即可证明直线 平面 ;当 时,由共线定理可得点 在线段 上,根据对称性将 的最值 转化成平面几何问题,即可求得最小值;若直线 与 所成角为 ,可知点 的轨迹是以 为圆心,半径为 的半圆弧,即可计算出其轨迹长度;当 时,取 的中点为 ,由共线定理可知 三点共线, 几何法找出球心位置写出半径的表达式,利用函数单调性求其取值范围即可得出结果. 【详解】对于A,取 相交于点 , 的中点为 ,如下图所示:当 时,即 , ,由平面向量线性运算法则可知, 点 在线段 上,由正四棱柱 可得 ,且 平面 ,又 平面 ,所 以 , 又 ,且 平面 ,所以 平面 ; 又因为平面 与平面 是同一平面,所以 平面 ,即A正确; 对于B,当 时,由 利用共线定理可得, 三点共线,即点 在线段 上; 由对称性可知,线段 上的点到 两点之间的距离相等,所以 ; 取平面 进行平面距离分析,如下图所示: 所以 ,当且仅当 三点共线时,等号成立, 此时点 为线段 的中点,即 的最小值为 ,故B正确;对于C,由图可知, 与 所成角都为 ,由 可知,点 在平面 内, 若直线 与 所成角为 ,在线段 上取点 ,使 ,则直线 与 所成角为 ; 则点 的轨迹是以 为圆心,半径为 ,且在平面 内的半圆弧 ,如下图中细虚线所示: 所以动点P的轨迹长为 ,故C正确; 对于D,当 时,取 的中点为 ,即 ; 由 可知, 三点共线,即点 在线段 上,如下图所示: 易知三棱锥 外接球球心在直线 上,设球心为 , ;作 于点 ,设 ,易知 , 由相似比可得 , 设外接球半径为 ,则 ,解得 ; 所以 , 易知当 时,半径最小为 ;当 时,半径最大为 ; 又 ,所以半径的取值范围是 ,即D错误. 故选:ABC 【点睛】关键点点睛:本题关键在于根据向量线性运算法则和共线定理的应用,确定点 的位置,再根据几何体 特征利用对称性即可求得距离之和得最小值,利用几何法即可求得外接球球心和半径的取值范围. 28.(2023·全国·高三专题练习)正四棱台 中, ,侧棱 与底面所成角为 分别为 , 的中点, 为线段 上一动点(包括端点),则下列说法正确的是( ) A.该四棱台的体积为 B.三棱锥 的体积为定值 C.平面 截该棱台所得截面为六边形 D.异面直线 与 所成角的余弦值为 【答案】ABD 【分析】将正四棱台补形为正四棱锥 ,求得相关线段长度,根据棱台的体积公式计算该四棱台的体积,判断A;根据线面平行的性质结合棱锥体积公式可判断B;根据平面的基本性质作出平面 截该棱台所得截面, 判断C;采用平移法,找到异面直线 与 所成角,解三角形,可求得异面直线 与 所成角的余弦值, 判断D. 【详解】将正四棱台补形为正四棱锥 , A B C D 由 ,可得 1 1 1 1为其中截面. 设 分别为 的中心, 底面 ,故 为侧棱 与底面所成角, 故 ,可得 , 侧面 为等腰梯形,高为 ,故 , 对于 ,正确 对于B,连接 ,则 ,而 ,所以 , 平面 , 平面 ,得 平面 , 由于 为定值,M在 上,故三棱锥 的体积为定值 即三棱锥 的体积为定值,B正确; 对于 ,取 中点 ,连接 并延长交 于 , 连接 并延长交直线 于 , 则 ,则 ,而 , 故 ,同理 , 连接 ,则 ,即 为 的中位线,而 为 的中点, 故 在 上,即 三点共线, 连接 ,则五边形 为平面 截正棱台所得的截面,C错误 对于 ,由题意 知四边形 为平行四边形, 故 ,可得 为异面直线 与 所成角或补角, 在 中,由余弦定理得 , 由于异面直线 与 所成角范围为 , 故异面直线 与 所成角的余弦值为 ,D正确,故选: 【点睛】难点点睛:解答本题要发挥空间想象,明确几何体中的线面位置关系,计算出相关线段长度,难点在于 判断平面 截该棱台所得截面的形状,此时要根据平面的基本性质,作出该截面,判断形状. 三、填空题 29.(2023春·天津红桥·高三统考期末)在 中, ,以边 所在直线为轴,将 旋转一周,所成的曲面围成的几何体的体积为__________. 【答案】 【分析】根据旋转体的概念,结合题意得到该几何体是圆锥,根据体积计算公式,即可得出结果. 【详解】因为在 中, ,所以 , 若以边 所在的直线为轴,将 旋转一周,所得的几何体是以 为高,以 为底面圆半径的圆锥,因为 , , 因此,其体积为: . 故答案为: . 30.(2023·重庆·统考二模)已知球 的表面积为 ,三棱锥 的顶点都在该球面上,则三棱锥体积的最 大值为__________. 【答案】 【分析】根据题意可求球的半径 ,当三棱锥底面越大,高越长的时候,三棱锥体积有最大值,设三棱锥底面 的外接圆半径为 ,利用导数可求三棱锥体积的最大值. 【详解】根据题意,设球的半径为 ,则有 ,解得 , 设底面 的外接圆的圆心为 , 需要 的面积越大,先定住 点, 若要 的面积最大,则 得为等腰三角形, 且 在 的底边的高线上,如图所示,设 到线段 的距离为 ,底面 的外接圆半径为 ,故 , , , 令 , , 故 , 当 时, , 单调递增, 当 时, , 单调递减, 所以 ,此时 的面积最大, 此时 ,即 , 所以 是正三角形时,圆的内接三角形面积最大, 设正三角形 的底面边长为 , ,三棱锥的高为 , 则 ,故 , 所以三棱锥的体积: , 令 , , 由 ,得 , 当 时, , 单调递增, 当 时, , 单调递减, 故当 时, 取最大值, 即三棱锥的体积取得最大值为 ,故答案为: . 31.(2023春·广东揭阳·高三校考阶段练习)在棱长为 的正方体 中, 是棱 的中点, 是 侧面 内的动点,且满足直线 平面 ,当直线 与平面 所成角最大时,三棱锥 外接球的半径为______. 【答案】 【分析】以点 为坐标原点, 、 、 所在直线分别为 、 、 轴建立空间直角坐标系,设点 , 根据 平面 求出点 的轨迹方程,根据 与平面 所成角最大求出点 的坐标,设三棱锥 外接球球心为 ,根据球心的定义可得出关于 、 、 的方程组,求出这三个未知数的值,即 可求得结果. 【详解】以点 为坐标原点, 、 、 所在直线分别为 、 、 轴建立如下图所示的空间直角坐标系, 则 、 、 、 、 , 设平面 的法向量为 ,则 , , 则 ,取 ,可得 , 设点 ,则 ,因为 平面 ,则 ,可得 ,其中 , 易知平面 的一个法向量为 , , , 故当 时, 取最大值,此时,点 , 设三棱锥 的球心为 , 则 ,解得 ,即球心 , 因此,三棱锥 的外接球半径为 . 故答案为: . 【点睛】方法点睛:求空间多面体的外接球半径的常用方法: ①补形法:侧面为直角三角形,或正四面体,或对棱二面角均相等的模型,可以还原到正方体或长方体中去求解; ②利用球的性质:几何体中在不同面均对直角的棱必然是球大圆直径,也即球的直径; ③定义法:到各个顶点距离均相等的点为外接球的球心,借助有特殊性底面的外接圆圆心,找其垂线,则球心一 定在垂线上,再根据带其他顶点距离也是半径,列关系求解即可; ④坐标法:建立空间直角坐标系,设出外接球球心的坐标,根据球心到各顶点的距离相等建立方程组,求出球心 坐标,利用空间中两点间的距离公式可求得球的半径. 32.(2023春·河南安阳·高三安阳一中校考阶段练习)已知圆锥内有一个内接圆柱,圆柱的底面在圆锥的底面内, 当圆柱与圆锥体积之比最大时,圆柱与圆锥的底面半径之比为__________. 【答案】 【分析】设出圆锥的底面半径与底角,则可以求出圆锥的高与体积,再设圆锥内接圆柱的底面半径,及高,根据 比例关系可以求得圆柱的高, ,进而求得圆柱的体积,表示出圆柱体积与圆锥的体积,转化为函数,利用导数求最值. 【详解】设圆锥的底面半径为 ,圆锥的轴截面为等腰三角形,底边长为 ,设其底角为 ,则圆锥的高为 ,圆锥的体积为 .设圆锥内接圆柱的底面半径为 ,高为 ,则 ,即 , 则圆柱的体积为 .圆柱与圆锥体积之比为 ,设 ,则 .由 ,得 ,当 时, ,当 时, ,所以当 时, 取得最大值,即圆柱与圆锥体积之比最大,此时 . 故答案为: