当前位置:首页>文档>专题20函数中的数列问题(含2021-2023高考真题)(解析版)_2.2025数学总复习_2024年新高考资料_3.2024专项复习_2024年新高考数学之函数专项重难点突破练(新高考专用)

专题20函数中的数列问题(含2021-2023高考真题)(解析版)_2.2025数学总复习_2024年新高考资料_3.2024专项复习_2024年新高考数学之函数专项重难点突破练(新高考专用)

  • 2026-04-21 22:15:47 2026-03-17 00:44:13

文档预览

专题20函数中的数列问题(含2021-2023高考真题)(解析版)_2.2025数学总复习_2024年新高考资料_3.2024专项复习_2024年新高考数学之函数专项重难点突破练(新高考专用)
专题20函数中的数列问题(含2021-2023高考真题)(解析版)_2.2025数学总复习_2024年新高考资料_3.2024专项复习_2024年新高考数学之函数专项重难点突破练(新高考专用)
专题20函数中的数列问题(含2021-2023高考真题)(解析版)_2.2025数学总复习_2024年新高考资料_3.2024专项复习_2024年新高考数学之函数专项重难点突破练(新高考专用)
专题20函数中的数列问题(含2021-2023高考真题)(解析版)_2.2025数学总复习_2024年新高考资料_3.2024专项复习_2024年新高考数学之函数专项重难点突破练(新高考专用)
专题20函数中的数列问题(含2021-2023高考真题)(解析版)_2.2025数学总复习_2024年新高考资料_3.2024专项复习_2024年新高考数学之函数专项重难点突破练(新高考专用)
专题20函数中的数列问题(含2021-2023高考真题)(解析版)_2.2025数学总复习_2024年新高考资料_3.2024专项复习_2024年新高考数学之函数专项重难点突破练(新高考专用)
专题20函数中的数列问题(含2021-2023高考真题)(解析版)_2.2025数学总复习_2024年新高考资料_3.2024专项复习_2024年新高考数学之函数专项重难点突破练(新高考专用)
专题20函数中的数列问题(含2021-2023高考真题)(解析版)_2.2025数学总复习_2024年新高考资料_3.2024专项复习_2024年新高考数学之函数专项重难点突破练(新高考专用)
专题20函数中的数列问题(含2021-2023高考真题)(解析版)_2.2025数学总复习_2024年新高考资料_3.2024专项复习_2024年新高考数学之函数专项重难点突破练(新高考专用)
专题20函数中的数列问题(含2021-2023高考真题)(解析版)_2.2025数学总复习_2024年新高考资料_3.2024专项复习_2024年新高考数学之函数专项重难点突破练(新高考专用)
专题20函数中的数列问题(含2021-2023高考真题)(解析版)_2.2025数学总复习_2024年新高考资料_3.2024专项复习_2024年新高考数学之函数专项重难点突破练(新高考专用)
专题20函数中的数列问题(含2021-2023高考真题)(解析版)_2.2025数学总复习_2024年新高考资料_3.2024专项复习_2024年新高考数学之函数专项重难点突破练(新高考专用)
专题20函数中的数列问题(含2021-2023高考真题)(解析版)_2.2025数学总复习_2024年新高考资料_3.2024专项复习_2024年新高考数学之函数专项重难点突破练(新高考专用)
专题20函数中的数列问题(含2021-2023高考真题)(解析版)_2.2025数学总复习_2024年新高考资料_3.2024专项复习_2024年新高考数学之函数专项重难点突破练(新高考专用)
专题20函数中的数列问题(含2021-2023高考真题)(解析版)_2.2025数学总复习_2024年新高考资料_3.2024专项复习_2024年新高考数学之函数专项重难点突破练(新高考专用)

文档信息

文档格式
docx
文档大小
0.889 MB
文档页数
15 页
上传时间
2026-03-17 00:44:13

文档内容

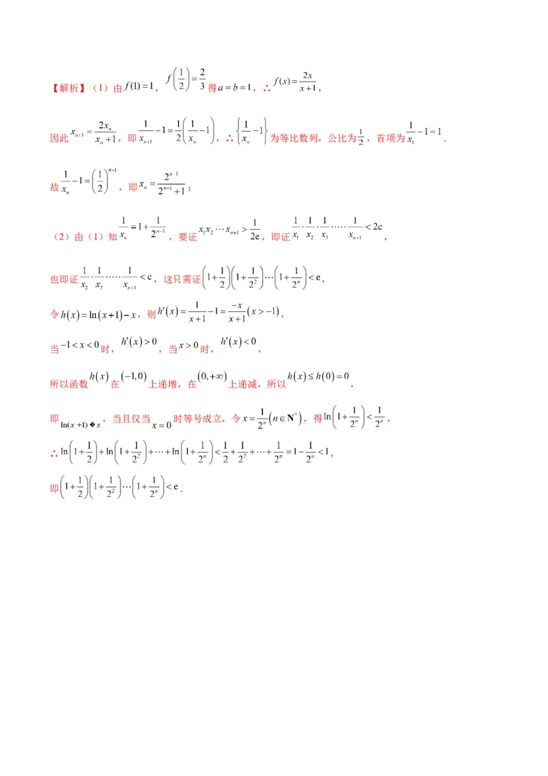
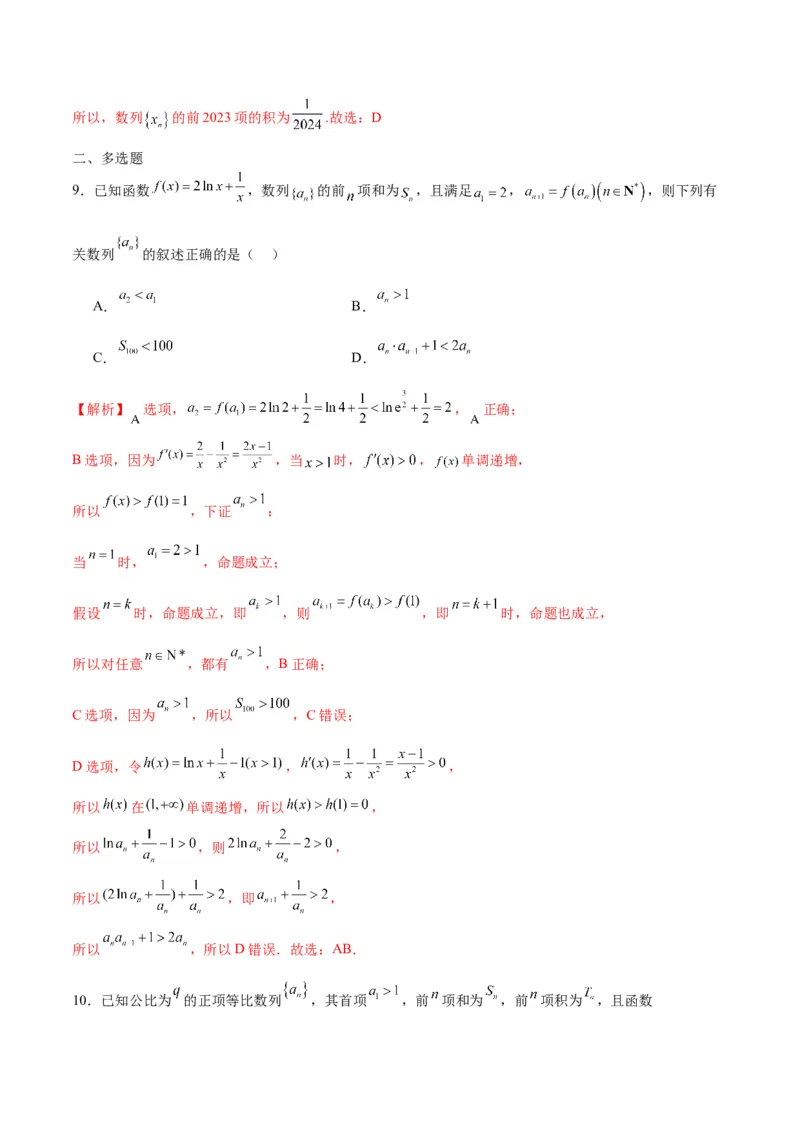
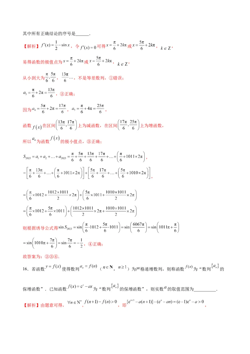
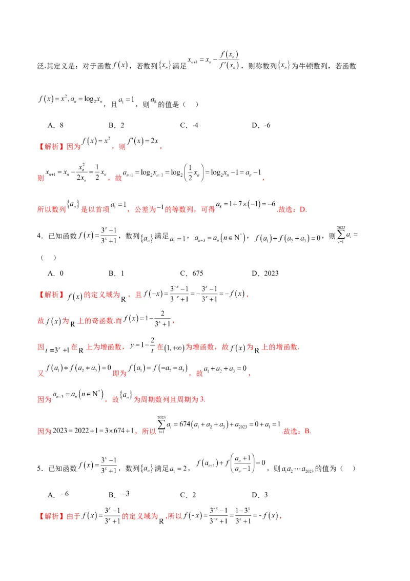
专题20 函数中的数列问题 一、单选题 1.已知一次函数 的图像经过点 和 ,令 ,记数列 的前项和为 ,当 时, 的值等于( ) A.24 B.25 C.23 D.26 【解析】∵一次函数 的图像经过点 和 ,可得 , 解得 ,∴ , , , ,得 . 故选:A. 2.已知函数 的图象在点 处的切线的斜率为3,数列 的前n项和为 ,则 的值为( ) A. B. C. D. 【解析】由题意得: , ,解得: , , .故选:D 3.著名科学家牛顿用“作切线”的方法求函数的零点时,给出了“牛顿数列”,它在航空航天中应用广泛.其定义是:对于函数 ,若数列 满足 ,则称数列 为牛顿数列,若函数 ,且 ,则 的值是( ) A.8 B.2 C.-4 D.-6 【解析】因为 ,则 , 则 ,故 , 所以数列 是以首项 ,公差为 的等数列,可得 .故选:D. 4.已知函数 ,数列 满足 , , ,则 ( ) A.0 B.1 C.675 D.2023 【解析】 的定义域为 ,且 , 故 为 上的奇函数.而 , 因 在 上为增函数, 在 为增函数,故 为 上的增函数. 又 即为 ,故 , 因为 ,故 为周期数列且周期为3. 因为 ,所以 .故选:B. 5.已知函数 ,数列 满足 , ,则 的值为( ) A. B. C.2 D.3 【解析】由于 的定义域为 ,所以 ,所以 为奇函数,因此由 得 , 由 得 , 所以数列 为周期数列且周期为4, 又 ,故 ,故选:D 6.设 是定义在 上的奇函数,且满足 , .数列 满足 , ,则 ( ) A.0 B.-1 C.2 D.-2 【解析】对于数列 满足 ,且 ,变形可得: , 即 , 则有: .所以 ,所以 . 因为 是定义在 上的奇函数,所以 且 . 因为 ,则有: , 则有 ,即 是以3为周期的周期函数. 所以 .故选:D 7.已知数列 满足 ,且 ,数列 满足 , ,则 的最小值为( ). A. B.5 C. D. 【解析】由数列 满足 , , 根据等差数列的定义知,数列 是首项为 ,公差为2的等差数列, 所以 , , 当 时, , 又 满足 , ,所以 . 设 ,根据对勾函数的性质可知, 当 时, 单调递减;当 时, 单调递增. 又 , ,所以,当 时, 有最小值为 .故选:D. 8.设曲线 在点 处的切线与 轴交点的横坐标为 ,则数列 的前2023项的积为( ) A. B. C. D. 【解析】因为 , 所以,曲线 在点 处的切线斜率为 , 所以,曲线 在点 处的切线方程为 , 所以,曲线 在点 处的切线与 轴交点的横坐标为 , 所以,数列 的前 项的积为 ,所以,数列 的前2023项的积为 .故选:D 二、多选题 9.已知函数 ,数列 的前 项和为 ,且满足 , ,则下列有 关数列 的叙述正确的是( ) A. B. C. D. 【解析】 选项, , 正确; B选项,因为 ,当 时, , 单调递增, 所以 ,下证 : 当 时, ,命题成立; 假设 时,命题成立,即 ,则 ,即 时,命题也成立, 所以对任意 ,都有 ,B正确; C选项,因为 ,所以 ,C错误; D选项,令 , , 所以 在 单调递增,所以 , 所以 ,则 , 所以 ,即 , 所以 ,所以D错误.故选:AB. 10.已知公比为 的正项等比数列 ,其首项 ,前 项和为 ,前 项积为 ,且函数在点 处切线斜率为1,则( ) A.数列 单调递增 B.数列 单调递减 C. 或5时, 取值最大 D. 【解析】对A:因为 , 故 则 , ,解得 , 又 ,且数列 是正项数列,故可得 ,故该数列单调递减,A错误; 对B: ,由A知: ,故 , 故数列 单调递减,B正确; 对C:由A可知: ,又 , 故数列 的前4项均为大于 的正数,从第 项开始均为小于1的正数, 故当 或 时, 取得最大值,C正确; 对D:因为 ,故 ,因为 , 故可得 ,即 ,故D正确; 故选:BCD. 11.已知函数 ,数列 的前 项和为 ,且满足 , ,则下列有关数列 的叙述不正确的是( )A. B. C. D. 【解析】由 知, , 故 为非负数列,又 , 设 ,则 , 易知 在 , 单调递减,且 , 又 ,所以 ,从而 , 所以 为递减数列,且 ,故 、 错误; 又 ,故当 时,有 , 所以 ,故 错误; 又 ,而 ,故 正确. 故选 . 12.定义在 的函数 满足 ,且 , 都有 ,若方程 的解构成单调递增数列 ,则下列说法中正确的是( ) A. B.若数列 为等差数列,则公差为6 C.若 ,则 D.若 ,则【解析】因为 都有 , 令 ,则 ,即 ,可知 在 内的图象关于点 对称, 根据题意作出 在 内的图象,如图所示: 对于选项A:因为定义在 的函数 满足 , 则 ,故A正确; 对于选项B:由图象可知:若数列 为等差数列,则 , 此时 与 在 内有且仅有一个交点, 因为 ,则 ,所以公差为6,故B正确; 对于选项C:若 ,则 , 可得 , 则 ,即 与 在 内有且仅有2个交点, 结合图象可得 ,故C错误; 对于选项D:若 ,则 与 在 内有且仅有3个交点,且 , 因为 ,则 , 所以数列 是以首项为7,公差为12的等差数列, 可得 ,所以 ,故D正确; 故选:ABD. 三、填空题 13.设 且 ,已知数列 满足 ,且 是递增数列,则a的取值范围是 __________. 【解析】因为 是递增数列,所以 解得 , 14.数列 中, .定义:使数列 的前 项的积为整数的数 叫做期 盼数,则区间 内的所有期盼数的和等于______. 【解析】因为 , 所以 , 设 ,则 ,所以 为 的整数次幂,因为 ,所以 , 故满足条件的 , , , , , , , , , 故区间 内的所有期盼数的和为: . 15.函数 ( )的所有极值点从小到大排列成数列 ,设 是 的前n项和,给 出下列四个结论: ①数列 为等差数列; ② ; ③ 为函数 的极小值点; ④ .其中所有正确结论的序号是______. 【解析】 ,令 可得 或 , , 易得函数的极值点为 或 , , 从小到大为 , ,不是等差数列,①错误; ,②正确; 因为 , , 函数 在区间 上为减函数,在区间 上为增函数, 所以 为函数 的极小值点,③正确; , , 则根据诱导公式得 ,④正确; 故答案为:②③④. 16.若函数 使得数列 ( , )为严格递增数列,则称函数 为“数列 的 保增函数”.已知函数 为“数列 的保增函数”,则实数 的取值范围为__________. 【解析】由题意可得, , ,即 ,即 对 恒成立,由于函数 在 上单调递增,所以 , 所以 所以 四、解答题 17.令 ,对抛物线 ,持续实施下面牛顿切线法的步骤: 在点 处作抛物线的切线交x轴于 在点 处作抛物线的切线交x轴于 在点 处作抛物线的切线交x轴于 由此能得到一个数列 ,回答下列问题: (1)求 的值 (2)设 ,求 的解析式. 【解析】(1) ,可得 ,所以 , 所以切线方程为: ,令 可得 ,即 . (2)因为 ,所以 在 处的切线斜率为 , 所以切线方程为: ,令 ,得 , ∴ ,即 ,∴ 的解析式: . 18.已知函数 ,将满足 的所有正数 从小到大排成数列 证明:数列 为等比数列. 【解析】因为 ,所以 , 由 ,得 ,即 ,解得 , 为整数, 从而 ,∴ ,∴ , ∴数列 是公比 的等比数列,且首项 . 19.已知对于任意 函数 在点 处切线斜率为 ,正项等比数列 的公比 ,且 ,又 与 的等比中项为2. (1)求数列 的通项公式; (2)求数列 的前n项和 . 【解析】(1)由题意 ,∴ ; 由题可得 ,所以 或 (舍) 所以 , ; (2)由题可知 ,所以 , , 所以 , ,即 . 20.已知函数 的所有正的零点构成递增数列 .(1)求数列 的通项公式; (2)设 ,求数列 的前 项和 . 【解析】(1)因为 , 令 可得 ,即 , 解得 ,因为 为所有正的零点构成的, 故 ,且 ,故 为以 为首项,1为公差的等差数列, 即 ; (2)由(1)知 ,所以 , 所以 ①, 所以 ②, ①-②可得: ,故 . 21.已知数列 的前 项和为 ,对一切正整数 ,点 都在函数 的图像上,且过点 的切线的斜率为 . (1)求数列 的通项公式. (2)若 ,求数列 的前 项和 . 【解析】(1) 点 都在函数 的图像上, , 当 时, , 当 时, 满足上式,所以数列 的通项公式为 (2)由 求导可得 , 过点 的切线的斜率为 , , , ① 由①×4,得 ② ①-②得: , . 22.已知函数 , , .令 , . (1)求数列 的通项公式; (2)证明: .【解析】(1)由 , 得 ,∴ , 因此 ,即 ,∴ 为等比数列,公比为 ,首项为 . 故 ,即 ; (2)由(1)知 ,要证 ,即证 , 也即证 ,这只需证 , 令 ,则 , 当 时, ,当 时, , 所以函数 在 上递增,在 上递减,所以 , 即 ,当且仅当 时等号成立,令 ,得 , ∴ , 即 .