当前位置:首页>文档>专题03勾股定理的应用重难点题型专训(12大题型+15道提优训练)(教师版)_初中数学_八年级数学下册(人教版)_重难点专题提升-V7_2025版

专题03勾股定理的应用重难点题型专训(12大题型+15道提优训练)(教师版)_初中数学_八年级数学下册(人教版)_重难点专题提升-V7_2025版

  • 2026-04-29 04:23:59 2026-03-20 06:06:28

文档预览

专题03勾股定理的应用重难点题型专训(12大题型+15道提优训练)(教师版)_初中数学_八年级数学下册(人教版)_重难点专题提升-V7_2025版
专题03勾股定理的应用重难点题型专训(12大题型+15道提优训练)(教师版)_初中数学_八年级数学下册(人教版)_重难点专题提升-V7_2025版
专题03勾股定理的应用重难点题型专训(12大题型+15道提优训练)(教师版)_初中数学_八年级数学下册(人教版)_重难点专题提升-V7_2025版
专题03勾股定理的应用重难点题型专训(12大题型+15道提优训练)(教师版)_初中数学_八年级数学下册(人教版)_重难点专题提升-V7_2025版
专题03勾股定理的应用重难点题型专训(12大题型+15道提优训练)(教师版)_初中数学_八年级数学下册(人教版)_重难点专题提升-V7_2025版
专题03勾股定理的应用重难点题型专训(12大题型+15道提优训练)(教师版)_初中数学_八年级数学下册(人教版)_重难点专题提升-V7_2025版
专题03勾股定理的应用重难点题型专训(12大题型+15道提优训练)(教师版)_初中数学_八年级数学下册(人教版)_重难点专题提升-V7_2025版
专题03勾股定理的应用重难点题型专训(12大题型+15道提优训练)(教师版)_初中数学_八年级数学下册(人教版)_重难点专题提升-V7_2025版
专题03勾股定理的应用重难点题型专训(12大题型+15道提优训练)(教师版)_初中数学_八年级数学下册(人教版)_重难点专题提升-V7_2025版
专题03勾股定理的应用重难点题型专训(12大题型+15道提优训练)(教师版)_初中数学_八年级数学下册(人教版)_重难点专题提升-V7_2025版
专题03勾股定理的应用重难点题型专训(12大题型+15道提优训练)(教师版)_初中数学_八年级数学下册(人教版)_重难点专题提升-V7_2025版
专题03勾股定理的应用重难点题型专训(12大题型+15道提优训练)(教师版)_初中数学_八年级数学下册(人教版)_重难点专题提升-V7_2025版
专题03勾股定理的应用重难点题型专训(12大题型+15道提优训练)(教师版)_初中数学_八年级数学下册(人教版)_重难点专题提升-V7_2025版
专题03勾股定理的应用重难点题型专训(12大题型+15道提优训练)(教师版)_初中数学_八年级数学下册(人教版)_重难点专题提升-V7_2025版
专题03勾股定理的应用重难点题型专训(12大题型+15道提优训练)(教师版)_初中数学_八年级数学下册(人教版)_重难点专题提升-V7_2025版
专题03勾股定理的应用重难点题型专训(12大题型+15道提优训练)(教师版)_初中数学_八年级数学下册(人教版)_重难点专题提升-V7_2025版
专题03勾股定理的应用重难点题型专训(12大题型+15道提优训练)(教师版)_初中数学_八年级数学下册(人教版)_重难点专题提升-V7_2025版
专题03勾股定理的应用重难点题型专训(12大题型+15道提优训练)(教师版)_初中数学_八年级数学下册(人教版)_重难点专题提升-V7_2025版
专题03勾股定理的应用重难点题型专训(12大题型+15道提优训练)(教师版)_初中数学_八年级数学下册(人教版)_重难点专题提升-V7_2025版
专题03勾股定理的应用重难点题型专训(12大题型+15道提优训练)(教师版)_初中数学_八年级数学下册(人教版)_重难点专题提升-V7_2025版
专题03勾股定理的应用重难点题型专训(12大题型+15道提优训练)(教师版)_初中数学_八年级数学下册(人教版)_重难点专题提升-V7_2025版
专题03勾股定理的应用重难点题型专训(12大题型+15道提优训练)(教师版)_初中数学_八年级数学下册(人教版)_重难点专题提升-V7_2025版
专题03勾股定理的应用重难点题型专训(12大题型+15道提优训练)(教师版)_初中数学_八年级数学下册(人教版)_重难点专题提升-V7_2025版
专题03勾股定理的应用重难点题型专训(12大题型+15道提优训练)(教师版)_初中数学_八年级数学下册(人教版)_重难点专题提升-V7_2025版
专题03勾股定理的应用重难点题型专训(12大题型+15道提优训练)(教师版)_初中数学_八年级数学下册(人教版)_重难点专题提升-V7_2025版
专题03勾股定理的应用重难点题型专训(12大题型+15道提优训练)(教师版)_初中数学_八年级数学下册(人教版)_重难点专题提升-V7_2025版
专题03勾股定理的应用重难点题型专训(12大题型+15道提优训练)(教师版)_初中数学_八年级数学下册(人教版)_重难点专题提升-V7_2025版
专题03勾股定理的应用重难点题型专训(12大题型+15道提优训练)(教师版)_初中数学_八年级数学下册(人教版)_重难点专题提升-V7_2025版
专题03勾股定理的应用重难点题型专训(12大题型+15道提优训练)(教师版)_初中数学_八年级数学下册(人教版)_重难点专题提升-V7_2025版
专题03勾股定理的应用重难点题型专训(12大题型+15道提优训练)(教师版)_初中数学_八年级数学下册(人教版)_重难点专题提升-V7_2025版
专题03勾股定理的应用重难点题型专训(12大题型+15道提优训练)(教师版)_初中数学_八年级数学下册(人教版)_重难点专题提升-V7_2025版
专题03勾股定理的应用重难点题型专训(12大题型+15道提优训练)(教师版)_初中数学_八年级数学下册(人教版)_重难点专题提升-V7_2025版
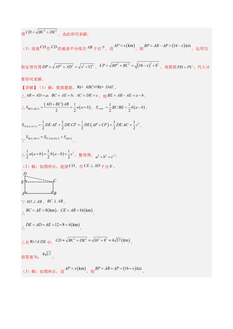
专题03勾股定理的应用重难点题型专训(12大题型+15道提优训练)(教师版)_初中数学_八年级数学下册(人教版)_重难点专题提升-V7_2025版
专题03勾股定理的应用重难点题型专训(12大题型+15道提优训练)(教师版)_初中数学_八年级数学下册(人教版)_重难点专题提升-V7_2025版
专题03勾股定理的应用重难点题型专训(12大题型+15道提优训练)(教师版)_初中数学_八年级数学下册(人教版)_重难点专题提升-V7_2025版
专题03勾股定理的应用重难点题型专训(12大题型+15道提优训练)(教师版)_初中数学_八年级数学下册(人教版)_重难点专题提升-V7_2025版
专题03勾股定理的应用重难点题型专训(12大题型+15道提优训练)(教师版)_初中数学_八年级数学下册(人教版)_重难点专题提升-V7_2025版
专题03勾股定理的应用重难点题型专训(12大题型+15道提优训练)(教师版)_初中数学_八年级数学下册(人教版)_重难点专题提升-V7_2025版
专题03勾股定理的应用重难点题型专训(12大题型+15道提优训练)(教师版)_初中数学_八年级数学下册(人教版)_重难点专题提升-V7_2025版
专题03勾股定理的应用重难点题型专训(12大题型+15道提优训练)(教师版)_初中数学_八年级数学下册(人教版)_重难点专题提升-V7_2025版
专题03勾股定理的应用重难点题型专训(12大题型+15道提优训练)(教师版)_初中数学_八年级数学下册(人教版)_重难点专题提升-V7_2025版
专题03勾股定理的应用重难点题型专训(12大题型+15道提优训练)(教师版)_初中数学_八年级数学下册(人教版)_重难点专题提升-V7_2025版
专题03勾股定理的应用重难点题型专训(12大题型+15道提优训练)(教师版)_初中数学_八年级数学下册(人教版)_重难点专题提升-V7_2025版
专题03勾股定理的应用重难点题型专训(12大题型+15道提优训练)(教师版)_初中数学_八年级数学下册(人教版)_重难点专题提升-V7_2025版
专题03勾股定理的应用重难点题型专训(12大题型+15道提优训练)(教师版)_初中数学_八年级数学下册(人教版)_重难点专题提升-V7_2025版
专题03勾股定理的应用重难点题型专训(12大题型+15道提优训练)(教师版)_初中数学_八年级数学下册(人教版)_重难点专题提升-V7_2025版
专题03勾股定理的应用重难点题型专训(12大题型+15道提优训练)(教师版)_初中数学_八年级数学下册(人教版)_重难点专题提升-V7_2025版
专题03勾股定理的应用重难点题型专训(12大题型+15道提优训练)(教师版)_初中数学_八年级数学下册(人教版)_重难点专题提升-V7_2025版
专题03勾股定理的应用重难点题型专训(12大题型+15道提优训练)(教师版)_初中数学_八年级数学下册(人教版)_重难点专题提升-V7_2025版
专题03勾股定理的应用重难点题型专训(12大题型+15道提优训练)(教师版)_初中数学_八年级数学下册(人教版)_重难点专题提升-V7_2025版
专题03勾股定理的应用重难点题型专训(12大题型+15道提优训练)(教师版)_初中数学_八年级数学下册(人教版)_重难点专题提升-V7_2025版
专题03勾股定理的应用重难点题型专训(12大题型+15道提优训练)(教师版)_初中数学_八年级数学下册(人教版)_重难点专题提升-V7_2025版
专题03勾股定理的应用重难点题型专训(12大题型+15道提优训练)(教师版)_初中数学_八年级数学下册(人教版)_重难点专题提升-V7_2025版
专题03勾股定理的应用重难点题型专训(12大题型+15道提优训练)(教师版)_初中数学_八年级数学下册(人教版)_重难点专题提升-V7_2025版
专题03勾股定理的应用重难点题型专训(12大题型+15道提优训练)(教师版)_初中数学_八年级数学下册(人教版)_重难点专题提升-V7_2025版
专题03勾股定理的应用重难点题型专训(12大题型+15道提优训练)(教师版)_初中数学_八年级数学下册(人教版)_重难点专题提升-V7_2025版
专题03勾股定理的应用重难点题型专训(12大题型+15道提优训练)(教师版)_初中数学_八年级数学下册(人教版)_重难点专题提升-V7_2025版
专题03勾股定理的应用重难点题型专训(12大题型+15道提优训练)(教师版)_初中数学_八年级数学下册(人教版)_重难点专题提升-V7_2025版
专题03勾股定理的应用重难点题型专训(12大题型+15道提优训练)(教师版)_初中数学_八年级数学下册(人教版)_重难点专题提升-V7_2025版
专题03勾股定理的应用重难点题型专训(12大题型+15道提优训练)(教师版)_初中数学_八年级数学下册(人教版)_重难点专题提升-V7_2025版
专题03勾股定理的应用重难点题型专训(12大题型+15道提优训练)(教师版)_初中数学_八年级数学下册(人教版)_重难点专题提升-V7_2025版
专题03勾股定理的应用重难点题型专训(12大题型+15道提优训练)(教师版)_初中数学_八年级数学下册(人教版)_重难点专题提升-V7_2025版
专题03勾股定理的应用重难点题型专训(12大题型+15道提优训练)(教师版)_初中数学_八年级数学下册(人教版)_重难点专题提升-V7_2025版
专题03勾股定理的应用重难点题型专训(12大题型+15道提优训练)(教师版)_初中数学_八年级数学下册(人教版)_重难点专题提升-V7_2025版
专题03勾股定理的应用重难点题型专训(12大题型+15道提优训练)(教师版)_初中数学_八年级数学下册(人教版)_重难点专题提升-V7_2025版
专题03勾股定理的应用重难点题型专训(12大题型+15道提优训练)(教师版)_初中数学_八年级数学下册(人教版)_重难点专题提升-V7_2025版
专题03勾股定理的应用重难点题型专训(12大题型+15道提优训练)(教师版)_初中数学_八年级数学下册(人教版)_重难点专题提升-V7_2025版
专题03勾股定理的应用重难点题型专训(12大题型+15道提优训练)(教师版)_初中数学_八年级数学下册(人教版)_重难点专题提升-V7_2025版
专题03勾股定理的应用重难点题型专训(12大题型+15道提优训练)(教师版)_初中数学_八年级数学下册(人教版)_重难点专题提升-V7_2025版

文档信息

文档格式
docx
文档大小
12.140 MB
文档页数
69 页
上传时间
2026-03-20 06:06:28

文档内容

专题03 勾股定理的应用重难点题型专训(12大题型+15道拓展培优) 题型一 梯子滑落高度问题 题型二 旗杆高度问题 题型三 小鸟飞行距离问题 题型四 大树折断前高度问题 题型五 水杯中筷子问题 题型六 航海距离问题 题型七 河宽问题 题型八 台阶上地毯长度问题 题型九 汽车是否超速问题 题型十 是否受台风影响问题 题型十一 选址问题 题型十二 最短路径问题 知识点一:勾股定理的应用 勾股定理的作用 1、已知直角三角形的任意两条边长,求第三边; 2、用于解决带有平方关系的证明问题; 3. 与勾股定理有关的面积计算; 4.勾股定理在实际生活中的应用. 【经典例题一 梯子滑落高度问题】 【例1】(23-24七年级上·山东泰安·期中)如图,一架梯子若靠墙直立时比窗户的下沿高 .若斜靠在墙 上,当梯子的下端离墙 时,梯子的上端恰好与窗户的下沿对齐,则梯子的长度为( )A. B. C. D. 【答案】A 【分析】本题考查了勾股定理的应用,设梯子的长度为 ,则墙高为 ,由勾股定理可得 ,求解即可,熟练掌握勾股定理是解此题的关键. 【详解】解:设梯子的长度为 ,则墙高为 , 由勾股定理可得: , 解得: , 梯子的长度为 , 故选:A. 1.(24-25八年级上·河北保定·阶段练习)如图,一架10米长的梯子 ,斜靠在竖直的墙上,这时梯子 底端离墙 米. (1)此时梯子顶端A离地面多少米? (2)设梯子顶端到水平地面的距离为m米,底端到垂直墙面的距离为n米.若 ,根据经验,可知当时,梯子最稳定,使用时最安全.若梯子顶端A下滑3米到C处,请问这时使用是否安全? 【答案】(1)此时梯子顶端离地面8米 (2)使用不安全 【分析】本题考查了勾股定理的应用,熟练掌握勾股定理是解题的关键. (1)由勾股定理求出 的长即可; (2)先由题意求得 的长,由勾股定理求出 的长,从而可求出a的值,再当 时,梯子最 稳定,使用时最安全,比较即可求解. 【详解】(1)解:因为 , 米, 米, 所以 (米). 答:此时梯子顶端离地面8米; (2)解:因为梯子顶端 下滑了3米到 处, 所以梯子距离地面的高度 (米), 所以 (米), 所以 , 因为当 时,梯子最稳定,使用时最安全, 又 ,即 . 所以这时使用不安全. 2.(24-25八年级上·河南郑州·期中)与危险相伴,与烈火为伍,致敬和平年代的英雄,最美的逆行者 ——中国消防员.云梯消防车是常见的消防器械,云梯最多能伸长到30米,消防车高3米,如图,某栋楼 发生火灾,在这栋楼的 处有一老人需要救援,救人时消防车上的云梯伸长至最长,此时消防车的位置 与楼房的距离为24米.(1)求 处与地面的距离. (2)完成 处的救援后,消防员发现在 处的上方6米的 处有一小孩没有及时撤离,为了能成功地救出小 孩,则消防车从 处向着火的楼房靠近的距离 为多少米? 【答案】(1) 米; (2) 米. 【分析】本题考查的是勾股定理的应用,在应用勾股定理解决实际问题时勾股定理与方程的结合是解决实 际问题常用的方法,关键是从题中抽象出勾股定理这一数学模型,画出准确的示意图. (1)先根据勾股定理求出 的长,进而可得出结论; (2)由勾股定理求出 的长,利用 即可得出结论. 【详解】(1)解:在 中, 米, 米, 米 (米). 答: 处与地面的距离是 米; (2)在 中, 米, (米), 米 (米). 答:消防车从 处向着火的楼房靠近的距离 为 米. 3.(24-25七年级上·山东泰安·期中)综合与实践 问题情境:某消防队在一次应急演练中,消防员架起一架长 的云梯 ,如图,云梯斜靠在一面墙上, 这时云梯底端距墙脚的距离 , . 独立思考: (1)这架云梯顶端距地面的距离 有多高? 深入探究:(2)消防员接到命令,按要求将云梯从顶端A下滑到 位置上(云梯长度不改变), ,云梯的 底部B在水平方向滑动到 的距离 也是 吗?若是,请说明理由;若不是,请求出 的长度. 问题解决: (3)在演练中,高 的墙头有求救声,消防员需调整云梯去救援被困人员.经验表明,云梯靠墙摆放 时,如果云梯底端离墙的距离不小于云梯长度的 ,则云梯和消防员相对安全.在相对安全的前提下,云 梯的顶端能否到达 高的墙头进行救援? 【答案】(1) ;(2)云梯的底部B在水平方向滑动到 的距离 不是 .理由见解析;(3)在 相对安全的前提下,云梯的顶端能到达 高的墙头去救援被困人员 【分析】本题考查了勾股定理的应用,根据题意正确应用勾股定理是解题关键. (1)直接利用勾股定理求得直角边 的长即可; (2)首先求得 的长,然后利用勾股定理求得线段 的长,最后求得线段 的长即可; (3)根据题意求出能够到达墙面的最大高度,再进行比较即可得出结论. 【详解】解:(1)在 中, , , 答:这架云梯顶端距地面的距离 有 ; (2)云梯的底部B在水平方向滑动到 的距离 不是 , 由(1)可知 , . 在 中, , , ; (3)若云梯底端离墙的距离刚好为云梯长度的 , 则能够到达墙面的最大高度为 . ,, 在相对安全的前提下,云梯的顶端能到达 高的墙头去救援被困人员. 【经典例题二 旗杆高度问题】 【例2】(23-24八年级下·广东珠海·期中)如图,小亮将升旗的绳子拉到旗杆底端,绳子末端刚好接触到 地面,然后将绳子末端拉到距离旗杆 处,发现此时绳子末端距离地面 ,则旗杆的高度为(滑轮上方 的部分忽略不计)( ) . A.17 B.16 C.15 D.14 【答案】A 【分析】本题考查了一元一次方程的应用,勾股定理的应用,作辅助线构造直角三角形是解题关键.过点 作 于点 ,设旗杆的高度为 ,则 , ,利用勾股定理列方程求解即可. 【详解】解:如图,标注各点,过点 作 于点 , , , 设旗杆的高度为 ,则 , , 在 中, , , 解得: , 故选:A4.(24-25八年级上·贵州贵阳·期末)春秋季节筑城广场放风筝已经成为贵阳市的一道靓丽风景线,某校 八年级的两位同学学习了“勾股定理”之后,想要测得风筝的垂直高度 ,他们进行了如下操作:①测 得水平距离 的长为5米;②根据手中剩余线的长度计算出风筝线 的长为13米;③牵线放风筝的小 明的身高为1.5米. (1)求风筝的垂直高度 ; (2)如果小明想让风筝沿 方向下降2米,则他应该往回收线多少米? 【答案】(1)风筝的高度 为 米; (2)他应该往回收线 米. 【分析】本题考查了勾股定理的应用; (1)利用勾股定理求出 的长,再加上 的长度,即可求出 的高度; (2)先画出图形,根据勾股定理求解 即可得到结论. 【详解】(1)解:如图,在 中, 由勾股定理得, , 所以, (负值舍去),所以, (米 , 答:风筝的高度 为 米; (2)解:如图,由题意得, , , (米 , (米 , 他应该往回收线 米. 5.(24-25八年级上·江苏镇江·期末)如图,一辆臂长 ,底座高 的曲臂高空作业车沿着平行于墙面 的直线方向行驶到点 处,对离地面高 的点 处( )进行作业, , ,作 业后,还要到点 正上方 高的 处( )继续作业,若要保持臂长不变,即 ,那么 作业车水平行驶的距离(即 的长)为多少米?(图 是这辆车两次作业时的主视图) 【答案】作业车水平行驶的距离为 米. 【分析】本题考查了勾股定理的应用,由题意可知 ,则 ,然后由勾股定 理得 ,由 , ,求出 ,然后再由勾股定理和线段和差即可求解,掌握勾 股定理的应用是解题的关键. 【详解】解:由题意可知: ,∴ , 在 中,由勾股定理得: , ∴ , ∴ , ∵ , , ∴ , 在 中,由勾股定理得: , ∴ , ∴ , ∴ , 答:作业车水平行驶的距离为 米. 6.(24-25八年级上·重庆万州·期末)放风筝是清明节的节日习俗,寓意将烦恼和疾病随着风筝一起放飞, 此外,放风筝还是一项娱乐性运动,无论是与家人还是朋友一起放风筝,都能增进彼此之间的关系.某校 八年级几名同学在学习了“勾股定理”之后,想用此定理来测量风筝的垂直高度.如图,牵线放风筝的同 学站在 处,风筝在 处,先测得他抓线的地方与地面的距离 为1.5米,然后测得他抓线的地方与风筝 的水平距离 为15米,最后根据手中剩余线的长度计算出风筝线 的长为17米. (1)求此时风筝的垂直高度 的长; (2)若放风筝的同学站在点 不动,风筝沿 的方向继续上升到 处,风筝线又放出了8米,请求出风筝 沿 方向上升的高度 的长. 【答案】(1) 米 (2)12米 【分析】此题考查了勾股定理的应用, (1)根据勾股定理求出 米,然后得到 米,进而求解即可;(2)首先得到 米,然后根据勾股定理求出 米,进而求解即可. 【详解】(1)∵ 米, 米, ∴ 米 ∵ 米 ∴ 米 ∴ 米; (2)∵风筝线又放出了8米, ∴ 米, ∴ 米, ∴ 米. 【经典例题三 小鸟飞行距离问题】 【例3】(23-24八年级下·山西阳泉·期中)如图,有一只喜鹊在一棵 高的小树 上觅食,它的巢筑在 与该树水平距离( )为 的一棵 高的大树 上,喜鹊的巢位于树顶下方 的 处,当它听到巢 中幼鸟的叫声,立即飞过去,如果它飞行的速度为 ,那么它要飞回巢中所需的时间至少是( ) A. B. C. D. 【答案】C 【分析】过 作 于 ,如图所示,由勾股定理求出最短路径长即可得到答案. 【详解】解:过 作 于 ,如图所示:由题意可知, , 根据两点之间线段最短,则它要飞回巢中所飞的最短路径为 ,由勾股定理可得 , 它要飞回巢中所需的时间至少是 ( ), 故选:C. 【点睛】本题考查勾股定理解实际问题,读懂题意,作出图形,数形结合求出最短路径长度是解决问题的 关键. 7.(2025八年级下·全国·专题练习)在“欢乐周末•非遗市集”活动现场,诸多非遗项目集中亮相,让过 往游客市民看花了眼、“迷”住了心.小明买了一个年画风筝,并进行了试放,为了解决一些问题,他设 计了如下的方案:先测得放飞点与风筝的水平距离 为 ;根据手中余线长度,计算出 的长度为 ;牵线放风筝的手到地面的距离 为 .已知点A,B,C,D在同一平面内. (1)求风筝离地面的垂直高度 ; (2)在余线仅剩 的情况下,若想要风筝沿射线 方向再上升 ,请问能否成功?请运用数学知识说 明. 【答案】(1) (2)不能成功,理由见解析 【分析】本题考查勾股定理的应用,理解题意,添加辅助线构造直角三角形是解答的关键. (1)过点A作 于点E,在 中,根据勾股定理即可求解;(2)假设能上升 ,作图 ,根据勾股定理可得 ,再根据题意, , 即可求解. 【详解】(1)解:如图1所示,过点A作 于点E,则 , , , 在 中, , ∴ ; (2)解:不能成功,理由如下: 假设能上升 ,如图所示,延长 至点F,连接 ,则 , ∴ , 在 中, , ∵ ,余线仅剩 , ∴ , ∴不能上升 ,即不能成功. 8.(23-24八年级下·新疆喀什·期中)如图,一只小鸟旋停在空中 点, 点到地面的高度 米, 点到地面 点( , 两点处于同一水平面)的距离 米.(1)求出 的长度; (2)若小鸟竖直下降到达 点( 点在线段 上),此时小鸟到地面 点的距离与下降的距离相同,求小 鸟下降的距离. 【答案】(1) 米 (2)小鸟下降的距离为 米 【分析】本题主要考查了勾股定理的实际应用,熟练的掌握勾股定理是解题的关键. (1)在直角三角形中运用勾股定理即可解答; (2)在 中,根据勾股定理即可解答. 【详解】(1)由题意知 , ∵ 米, 米. 在 中 米, (2)设 , 到达D点(D点在线段 上),此时小鸟到地面C点的距离与下降的距离相同, 则 , , 在 中, , , 解得 , 小鸟下降的距离为 米. 9.(24-25八年级上·江苏·周测)如图,某自动感应门的正上方A处装着一个感应器,离地的高度AB为 米,当人体进入感应器的感应范围内时,感应门就会自动打开.一个身高 米的学生CD正对门,缓 慢走到离门 米的地方时( 米),感应门自动打开, 为多少米?【答案】 米 【分析】过点 作 ,构造直角 ,根据题意得到两个直角边 、 的长度,再根据勾股 定理得 即可解答. 【详解】 如图,过点 作 ,垂足为点 , 由题意可知, 米, 米, 则 米, 答: 为 米. 【点睛】本题考查了勾股定理的实际应用,掌握勾股定理是解题关键. 【经典例题四 大树折断前高度问题】 【例4】(23-24八年级下·湖北黄冈·期中)我国秦汉时期,数学成就十分显著.当时流传这样一个数学题: 今有竹高十二尺,末折抵地,去本三尺,问折者高几何?类似的问题被写入《九章算术》.它的意思是: 一根竹子原本高12尺,从 处折断,竹梢触地处 离竹根 的距离 尺,试问折断处与地面的距离 ( )尺.A. B. C.4 D. 【答案】B 【分析】本题考查了勾股定理的应用,根据勾股定理得出关于 的方程,求出 的值即可. 【详解】解:由题意知, 尺, 尺, ∴ , 由勾股定理得, , 即 , 解得 . 故选:B. 10.(23-24八年级上·陕西咸阳·期中)如图,一根垂直于地面的旗杆高 ,因刮大风旗杆从点 处折 断,顶部 着地且离旗杆底部的距离 . (1)求旗杆折断处点 距离地面的高度 ; (2)工人在修复的过程中,发现在折断处 的下方1.4m的点 处,有一明显裂痕,若下次大风将修复好的 旗杆从点 处吹断,旗杆的顶部落在水平地面上的 处,形成一个 ,请求出 的长. 【答案】(1) 米 (2) 米 【分析】本题考查了勾股定理的应用,在应用勾股定理解决实际问题时勾股定理与方程的结合是解决实际 问题常用的方法,关键是从题中抽象出勾股定理这一数学模型,画出准确的示意图. (1)由题意可知 米,根据勾股定理可得: ,又因为 米,所以可求 得 的长;(2)先求出 点距地 米, 米,再根据勾股定理可以求得 的长. 【详解】(1)解:由题意可知: 米, , , 又 米, , 米; (2)解: 点距地面 米, 米, (米 . 11.(23-24八年级上·河北保定·期中)如图,一根直立的旗杆高 ,因刮大风旗杆从点C处折断,顶部 B着地且离旗杆底部A的距离为 . (1)求旗杆在距地面多高处折断(即求 的长度). (2)工人在修复的过程中,发现在折断点C的下方 的点D处,有一条明显的裂痕,将旗杆C处修复后, 若下次大风将旗杆从点D处吹断,则距离旗杆底部 米处是否有被砸伤的风险? 【答案】(1) (2)有危险,见解析 【分析】本题考查了勾股定理的应用, (1)根据题意, ,结合 ,代入计算即可. (2)根据 , ,得到 ,求得 ,根据勾股定理求出 的长,比较后判断 即可. 【详解】(1)根据题意, , , ∵ ,∴ , 解得 , 故 的长度为3米. (2)根据(1)得 , , ∴ , ∴ , ∴ , ∵ , , 且 , ∴ , 故有危险. 12.(23-24八年级上·福建三明·期中)如图1,小旭放风筝时,风筝线断了,风筝挂在了树上.他想知道 风筝距地面的高度,于是他先拉住风筝线垂直到地面上,发现风筝线多出1米,然后将风筝线沿直线向后 拉开5米,发现风筝线末端刚好接触地面.示意图如图2. (1)请你帮小旭求出风筝距离地面的高度AB. (2)在AC上求作点D,使得 (要求:尺规作图,保留作图痕迹,不写作法). 【答案】(1)风筝距离地面的高度AB为12米 (2)见解析 【分析】本题考查勾股定理、角平分线、尺规作图、一元一次方程等基础知识, (1)设 ,则 ,依据勾股定理即可得到方程 ,进而得出风筝距离地面的高 度 .(2)根据尺规作图即可; 【详解】(1)解:依题意:在 中, , 米, . 设 米,则 米. 在 中,根据勾股定理, , 即 . 化为 ,解得 . 所以风筝距离地面的高度AB为12米. (2) 如图,点D为所求作的点. 【经典例题五 水杯中筷子问题】 【例5】(23-24八年级下·内蒙古赤峰·期中)如图,一根长为 的牙刷置于底面直径为 、高为 的圆柱形水杯中,牙刷露在杯子外面的长度为 ,则h的取值范围是( )A. B. C. D. 【答案】A 【分析】此题主要考查了勾股定理的应用,正确得出杯子内牙刷的取值范围是解决问题的关键.根据杯子 内牙刷长度的取值范围得出杯子外面长度的取值范围,即可得出答案. 【详解】解:∵将,一根长为 的牙刷置于底面直径为 、高为 的圆柱形水杯中, ∴在杯子中牙刷最短是等于杯子的高,最长是等于牙刷斜边长度, ∴当杯子中牙刷最短是等于杯子的高时, , 最长时等于牙刷斜边长度是: , ∴h的取值范围是: , 即 , 故选:A. 13.(24-25八年级上·福建宁德·阶段练习)有一个水池,水面是一个边长为 尺的正方形.在水池正中央 有一根新生的芦苇,它高出水面 尺.如果把这根芦苇垂直拉向岸边,它的顶端恰好到达岸边的水面.请 问这个水池的深度和这根芦苇的长度各为多少? 【答案】水池的深度为 尺,芦苇的长度为 尺 【分析】根据题意,构造直角三角形,根据勾股定理列出方程求解即可.【详解】解:如图:设芦苇 长为 尺,则水深 为 尺. ∵芦苇长在水池中央, (尺) 根据勾股定理得: , 则: , 解得: , , 答:水池水深 尺,芦苇长 尺. 【点睛】本题主要考查勾股定理的实际应用,熟练掌握勾股定理的内容,勾股题意构造直角三角形,,根 据勾股定理列出方程求解是解题的关键. 14.(24-25八年级上·江苏淮安·期末)勾股定理是人类早期发现并证明的重要数学定理之一,是用代数思 想解决几何问题的最重要的工具之一,它不但因证明方法层出不穷吸引着人们,更因为应用广泛而使人着 迷. (1)应用场景1——在数轴上画出表示无理数的点.如图1,在数轴上找出表示2的点A,过点A作直线l垂 直于OA,在l上取点B,使 ,以原点O为圆心, 为半径作弧,则弧与数轴负半轴的交点C表示 的数是_________; (2)应用场景2——解决实际问题.如图2,有一个小朋友拿着一根竹竿要通过一个长方形的门,如果把竹 竿竖放就比门高出2尺,斜放就恰好等于门的对角线( ),已知门宽6尺,求竹竿长.【答案】(1) (2)10尺 【分析】(1)根据勾股定理求得 ,根据实数与数轴关系解答; (2)竹竿长x尺,则门高 尺,利用勾股定理列方程求解即可. 【详解】(1)解:由题意, , , , 在 中, , ∴ , ∴点C表示的数为 , 故答案为: ; (2)解:竹竿长x尺,由题意,竹竿 ,门高 尺,门宽 尺,, 在 中, ∴ , ∴ , 解得 , 答:竹竿长10尺. 【点睛】本题考查勾股定理的应用、实数与数轴,理解题意,熟练掌握勾股定理是解答的关键. 15.(24-25八年级下·福建福州·期中)《九章算术》中“勾股”一章有记载:今有池方一丈,葭生其中央, 出水一尺.引葭赴岸,水面是一个边长为10尺的正方形,在水池正中央有一根芦苇,它的顶端恰好到达池 边的水面,求芦苇的长度.(1丈=10尺)解决下列问题: (1)示意图中,线段AF的长为 尺,线段EF的长为 尺; (2)求芦苇的长度. 【答案】(1)5,1;(2)芦苇长13尺. 【分析】(1)直接利用水池正中央有一根芦苇,它高出水面1尺,且边长为10尺的正方形,F为AB中点, 即可得出答案; (2)根据题意,可知AB的长为10尺,则AF=5尺,设芦苇长EG=AG=x尺,表示出水深FG,根据勾股定 理建立方程,求出的方程的解即可得到芦苇的长和水深. 【详解】解:(1)由题意可得:EF=1尺,AF= =5尺; 故答案为:5,1; (2)设芦苇长EG=AG=x尺, 则水深FG=(x-1)尺, 在Rt AGF中, 52+(△x-1)2=x2, 解得:x=13, ∴芦苇长13尺. 【点睛】此题主要考查了勾股定理的应用,解本题的关键是数形结合以及表示出直角三角形的各边长. 【经典例题六 航海距离问题】 【例6】(23-24八年级下·湖北武汉·期中)已知一轮船以18海里/时的速度从港口A出发向东北方向航行, 同时另有一轮船以12海里/时的速度也从港口A出发向东南方向航行,都离开港口2小时后,两船相距多 少海里?( ) A. B. C. D. 【答案】A 【分析】本题考查了勾股定理的应用,方向角,熟练运用勾股定理进行计算是解题的关键. 根据方位角可知两船所走的方向正好构成了直角.然后根据路程 速度 时间,得两条船分别走了36, 24.再根据勾股定理,即可求得两条船之间的距离. 【详解】解:如图,两船行驶的方向是东北方向和东南方向, , 两小时后, (海里), (海里), 根据勾股定理得: (海里). 故选:A. 16.(24-25八年级上·四川达州·期末)如图,在海平面上有 , , 三个标记点,其中 在 的北偏西 方向上,与 的距漓是40海里, 在 的南偏西 方向上,与 的距离是30海里. (1)求点 与点 之间的距离; (2)若在点 处有一灯塔,灯塔的信号有效覆盖半径为25海里,此时在点 处有一艘轮船准备沿直线向点 处航行,轮船航行的速度为每小时20海里.轮船在驶向 处的过程中,有多少小时可以接收到信号? 【答案】(1)点 与点 之间的距离为50海里 (2)有0.7小时可以接收到信号 【分析】本题考查了勾股定理的应用 航海问题,方向角的应用,路程、速度、时间的关系,熟练掌握勾 股定理是解答本题的关键. (1)由题意易得 是直角,由勾股定理即可求得点 与点 之间的距离; (2)过点 作 交 于点 ,在 上取点 , ,使得 海里,分别求得 、 的长,可求得此时轮船过 时的时间,从而可求得最多能收到的信号次数. 【详解】(1)解:由题意,得: , ; ;海里, 海里; (海里), 即:点 与点 之间的距离为50海里; (2)解:过点 作 交 于点 ,在 上取点 , ,使得 海里. ; ; ; 海里; 海里; 海里; 行驶时间为 (小时). 答:有0.7小时可以接收到信号. 17.(24-25八年级上·重庆丰都·阶段练习)上午8时,一条渔船从港口A出发,以每小时15海里的速度 向正北方向 航行,上午10时到达海岛B处.从 望海岛C,测得 (如图 所示). (1)求海岛B到海岛C的距离;(2)这条船继续向正北航行,问什么时间小船与灯塔C的距离最短? (3)渔船从海岛B按原来的方向继续航行30海里(记为点D处)出现了故障,它向海岛B和海岛C都发出 了求救信号.接到求救信号后,海岛B派出的救援队立即以每小时20海里的速度前往,海岛C派出的救 援队晚出发10分钟,速度为每小时25海里,通过计算说明两支救援队谁先到达渔船处? 【答案】(1)海岛B到海岛C的距离为30海里 (2)上午11时,小船与灯塔C的距离最短 (3) 救援队先到 【分析】本题考查三角形的外角,等腰三角形和等边三角形的判定: (1)根据三角形的外角的性质求出 ,进而得到 即可; (2)过C作 于H,先求出 ,根据含 的直角三角形的性质求出 ,进而即可解 答; (3)证明 为等边三角形,进而得到 的长,根据时间等于路程除以速度,进行求解即可得出结论. 【详解】(1)解:由题意,得: 海里; ∵ , ∴ , ∴ ∴ 海里; 答:海岛B到海岛C的距离为30海里; (2)解:过C作 于点H, 又 , ∴ , ∴ (海里),∴从B处到H处需要 小时, ∴答:小船与灯塔C的距离最短时,此时为上午 时; (3)解∶ 由题意: 海里, 由(1)知: 海里, ∴ , ∵ , ∴ 为等边三角形, ∴ 海里, ∴ 救援队所用时间为 (小时), 救援队所用时间为 (小时), ∵ , ∴ 救援队先到. 18.(2024·贵州贵阳·一模)如图,一艘船由A岛沿北偏东 方向航行 至B岛,然后再沿北偏西 方向航行 至C岛. (1)求A,C两岛之间的距离; (2)确定C岛在A岛的什么方向? 【答案】(1) (2)北偏西 【分析】本题考查勾股定理的应用,解题的关键是对方向角的熟练掌握. (1)根据 , ,推出 ,在 中,利用勾股定 理即可求出距离; (2)证明 ,根据 即可求解. 【详解】(1)如图,由题意可知: ,∵ , ∴ , ∴ , 在 中, , 答:A,C两岛之间的距离是 ; (2)又∵ , , ∴ , ∵ , ∴ , ∴C岛在A岛北偏西 的方向上. 【经典例题七 河宽问题】 【例7】(23-24八年级下·天津河西·期中)如图,池塘边有两点A、B,点 是与 方向成直角的 方 向上一点,测得 , ,则A,B两点间的距离是( ) . A. B. C.30 D.70 【答案】A 【分析】本题主要考查了勾股定理的应用,将实际问题转化成勾股定理问题成为解题的关键.根据题意直接运用勾股定理进行解答即可. 【详解】解:在 中,根据勾股定理得: . 故选:A. 19.(24-25八年级下·安徽·期中)如图,沿AC方向开山修路.为了加快施工进度,要在小山的另一边同 时施工,从AC上的一点B取∠ABD=120°,BD=400米,∠D=30°.那么另一边开挖点E离D多远正好 使A、C、E三点在一直线上( ≈1.732,结果精确到1米)? 【答案】另一边开挖点E离D346m,正好使A,C,E三点在一直线上 【分析】由∠ABD=120°可求出 ,可证∠AED=90°,根据含30°角的直角三角形的性质,可得 BE= BD,从而求得BE的长度,在Rt BDE中,根据姑姑定力,即可求得答案. △ 【详解】解:∵∠ABD=120°,∠D=30°, ∴∠AED=120°﹣30°=90°, 在Rt BDE中,BD=400m,∠D=30°, △ ∴BE= BD=200m, ∴DE= =200 ≈346(m), 答:另一边开挖点E离D346m,正好使A,C,E三点在一直线上. 【点睛】本题考查了勾股定理的应用,涉及含30度角的直角三角形的性质,熟练掌握知识点是解题的关键. 20.(24-25八年级上·山西·期末)如图,为了测量湖泊两侧点A和点B间的距离,数学活动小组的同学过点A作了一条 的垂线,并在这条垂线的点C处设立了一根标杆(即 ).量得 , ,求点A和点B间的距离. 【答案】点 和点 间的距离为 【分析】在Rt ABC中利用勾股定理计算出AB长即可. 【详解】解:∵△ . ∴ , ∴在 中, . ∵ , , ∴ . 答:点 和点 间的距离为 . 【点睛】本题考查了勾股定理的应用,关键是熟练掌握勾股定理:在直角三角形中,两直角边的平方和等 于斜边的平方. 21.(24-25八年级上·陕西西安·阶段练习)学习了“勾股定理”后,某校数学兴趣小组的同学把“测量某 水潭的宽度”作为一项课题活动,利用课余时间完成了实地测量,并形成了如下的活动报告. 活动课题 测量某水潭的宽度 测量工具 测角仪、测距仪等 测量过程 如图,出于安全考虑,水潭两侧的A、B周围均被围栏所围,因此A、B处均无法到达,测 及示意图 量小组在与 垂直的直线l上取点C( 于点A),用测距仪测得 、 的长测量数据 米, 米 …… …… 请你根据活动报告中的内容,计算水潭的宽度 . 【答案】水潭的宽度 为 米. 【分析】本题考查的是勾股定理的实际应用,直接利用勾股定理列式计算即可. 【详解】解:∵ , ∴ , ∵ 米, 米, ∴ 米, ∴水潭的宽度 为 米. 【经典例题八 台阶上地毯长度问题】 【例8】(23-24八年级上·江苏苏州·期中)如图,在一个高是3m,长是5 m的楼梯表面铺地毯,则地毯长 度是( ) A.5 m B.7 m C.8 m D.9 m 【答案】B 【分析】当地毯铺满楼梯时其长度的和应该是楼梯的水平宽度与垂直高度的和,根据勾股定理求得水平宽 度,然后求得地毯的长度即可. 【详解】解:由勾股定理得: 楼梯的水平宽度∵地毯铺满楼梯是其长度的和应该是楼梯的水平宽度与垂直高度的和, ∴地毯的长度至少是3+4=7(m). 故选B. 【点睛】本题考查了勾股定理的应用,正确应用勾股定理是解题关键. 22.(24-25八年级上·广东梅州·阶段练习)如图,要修建一个育苗棚,棚高 ,棚宽 ,棚的 长为 ,现要在棚顶上覆盖塑料薄膜,试求需要多少平方米塑料薄膜? 【答案】 平方米 【分析】根据勾股定理先求出棚顶的宽,然后根据长方形的面积公式即可求出需要多少塑料薄膜. 【详解】解:棚高 ,棚宽 ,设棚顶的宽为b, 则 , 棚的长d为 , ∴ . 【点睛】此题重点考查学生对勾股定理的实际应用能力,理清题意,掌握勾股定理是解题的关键. 23.(24-25八年级下·浙江台州·期末)如图是一个三级台阶,每级台阶都是长、宽和高分别等于90cm, 25cm和15cm的长方体,A和B是这个台阶的两个相对的端点.在A点处有一只蚂蚁,想到B点去吃可口 的食物,请你算一算,这只蚂蚁从A点出发,沿着台阶面爬到B点,最短路程是多少? 【答案】最短路程是150cm. 【分析】展开后得到下图的直角 ,根据题意求出AC、BC,根据勾股定理求出AB即可. 【详解】展开后由题意得:∠C=90°,AC=3×25+3×15=120,BC=90, 由勾股定理得:AB= = =150cm,答:最短路程是150cm. 【点睛】本题考查了平面展开-最短路径问题,解决这类问题的基本思路是化曲面问题为平面问题,再用所 学的知识解决. 24.(24-25八年级下·广西百色·期中)如图所示是一个三级台阶,它的每一级的长、宽、高分别等于 7cm、6cm、2cm,A和B是这两个台阶的两个相对的端点,则一只蚂蚁从点A出发经过台阶爬到点B的最 短路线有多长? 【答案】25cm 【分析】展开后得到直角三角形ACB,根据题意求出AC、BC,根据勾股定理求出AB即可. 【详解】解:如图,将台阶展开, 由题意得;AC=6×3+2×3=24,BC=7,. 所以由勾股定理得:AB2=AC2+BC2=625, 即AB=25(cm), 答:蚂蚁爬行的最短线路为25cm. 【点睛】本题主要考查对勾股定理,平面展开——最短路径问题等知识点的理解和掌握,能理解题意知道 是求出直角三角形ABC的斜边AB的长是解此题的关键.【经典例题九 汽车是否超速问题】 【例9】(23-24八年级上·广东茂名·期中)如图,一辆小汽车在一条城市街路上直道行驶,某一时刻刚好 行驶到路对面车速检测仪 处的正前方 的 处,过了 后,测得小汽车与车速检测仪间的距离为 , 则这辆小汽车的速度是 . 【答案】 【分析】本题考查了勾股定理的应用,在 中,根据题意 ,勾股定理求得 ,再 根据路程除以时间等于速度,即可求解. 【详解】解:依题意,在 中, , ; 据勾股定理可得: , 故小汽车的速度为 s. 故答案为: . 25.(24-25八年级上·四川遂宁·期末)为了积极响应国家新农村建设,某镇政府采用了移动宣讲的广播形 式进行宣传.如图,笔直公路 的一侧有一报亭A,报亭A到公路 的距离 为600米,且宣讲车P 周围1 000米以内能听到广播宣传,宣讲车P在公路 上沿 方向行驶. (1)请问报亭的人能否听到广播宣传,并说明理由; (2)如果能听到广播宣传,已知宣讲车的速度是200米/分,那么报亭的人总共能听到多长时间的广播宣传? 【答案】(1)报亭的人能听到广播宣传,理由见解析 (2)报亭的人总共能听到8分钟的广播宣传 【分析】本题主要考查了勾股定理的实际应用,垂线段最短:(1)根据垂线段最短,结合600米 米即可得到结论; (2)如图,假设当宣讲车P行驶到 点时,报亭的人开始听到广播宣传,当宣讲车P行驶过 点时,报 亭的人开始听不到广播宣传,连接 .利用勾股定理求出 的长,进而求出 的长,再根 据时间等于路程除以速度即可得到答案. 【详解】(1)解:报亭的人能听到广播宣传,理由如下: ∵600米 米, ∴报亭的人能听到广播宣传. (2)解:如图,假设当宣讲车P行驶到 点时,报亭的人开始听到广播宣传,当宣讲车P行驶过 点时, 报亭的人开始听不到广播宣传,连接 . 由题意得, 米, 米, , 由勾股定理得 米, 米, ∴ 米. ∵ (分), ∴报亭的人总共能听到8分钟的广播宣传. 26.(24-25八年级上·河南郑州·阶段练习)《中华人民共和国道路交通安全法》规定:小汽车在高速道路 上行驶速度不得超过 高速路边也会安装车速检测仪对过往车辆进行限速检测,如图所示, 点 装有一车速检测仪,它到公路边的距离 米,小汽车行驶过检测仪监控区域,到达 点时开始计时, 离开 点时停止计时,依此计算车速,已知 米.(1)若一辆汽车以 时速匀速通过监控区域,共用时几秒 (2)若另一辆车通过监控区域共用时 秒,该车是否超速 请说明理由. 【答案】(1) (2)超速,理由见解析 【分析】本题考查勾股定理的应用: (1)勾股定理求出 的长,利用时间等于路程除以速度进行求解即可; (2)利用速度等于路程除以时间求出车速,进行判断即可. 【详解】(1)解:依题意可得, , , 为直角三角形, 米, 米, 米, , ; 答:共用时4秒; (2)超速,理由如下: , , 超速. 27.(23-24八年级下·安徽合肥·期中)校车安全是近几年社会关注的热点问题之一,安全隐患主要是超速 和超载,某中学八年级数学活动小组进行了测试汽车速度的实验.如图所示,现在笔直的公路 旁取一点 ,在公路 上确定点 , ,使得 , ,再在 上确定点 ,使得 ,测得 米,已知本路段对校车限速是 千米/时,若测得某校车从 到 匀速行驶用时 秒.(参考数据: )(1)求点D到线段AB的距离(结果保留整数); (2)利用(1)中的结果,请通过计算判断这辆车在本路段是否超速? 【答案】(1) 到线段 的距离为 米 (2)这辆车在本路段未超速 【分析】本题考查了直角三角形的性质,勾股定理的应用. (1)过 作 于E,根据直角三角形两锐角互余求得 ,根据直角三角形中, 角所 对的边是斜边的一半可得 ,根据直角三角形中两直角边的平方和等于斜边的平方即可求得 的 值; (2)根据直角三角形两锐角互余求得 , ,推得 平分 ,根据角平分线上 的点到两边的距离相等可得 ,求得的值 ,根据直角三角形中, 角所对的边是斜边的一半可 得 的值,根据直角三角形中两直角边的平方和等于斜边的平方即可求得 的值;即可判断是否超速. 【详解】(1)解:过 作 于E,如图: 则 , ∵ , ∴ , 在 中, , ∴ (米), 故 到线段 的距离为 米. (2)解:∵ , , , ∴ , , , 则 ,即 平分 , ∵ , , ∴ (米), 则 (米), 在 中, , , ∴ (米), 故 (米), 车速为 (米/秒) 米/秒 千米/时 千米/时. 故这辆车在本路段未超速. 【经典例题十 是否受台风影响问题】 【例10】(23-24八年级下·河北邢台·阶段练习)若有一列长为 的火车,沿铁路AB以 的速 度从点A行驶到点B,点C为一所学校, , , ,已知距离火车 以内 会受到噪音的影响. (1)学校C到铁路AB的距离是 . (2)火车在AB路段行驶时,学校C受到火车噪音影响的时间是 . (3)如果火车在下课时间穿过该路段,并确保学校受到火车噪音影响的时间控制在10分钟以内( ),那么其行驶速度至少应增加到 . 【答案】 240 12 60 【分析】(1)利用勾股定理的逆定理证明 为直角三角形,再通过直角三角形面积的两种表示方法求 解即可; (2)利用勾股定理求出 长度,继而得出 长,再利用时间等于路程除以速度求解即可; (3)用 长加上火车长,除以10分钟即可求解.【详解】(1)过点C作 ,垂足为D,如图, ∵ , , , ∴ , ∴ 是直角三角形, ∴ ,即 , 解得 , 故答案为:240; (2)如图, 当 时,正好影响学校, ∴ , ∴ , ∵有一列长为 的火车,沿铁路AB以 的速度从点A行驶到点B, ∴ , 故答案为:12; (3)如果火车在下课时间穿过该路段,并确保学校受到火车噪音影响的时间控制在10分钟以内( ), ∴ , ∴其行驶速度至少应增加到 .【点睛】本题考查了勾股定理及其逆定理,有理数混合运算的应用,准确理解题意是解题的关键. 28.(24-25八年级上·广东茂名·阶段练习)台风是一种自然灾害,它以台风中心为圆心在周围上千米的范 围内形成极端气候,有极强的破坏力,如图,有一台风中心沿东西方向 由点A向点B移动,已知点C 为一海港,且点C与直线 上两点A、B的距离分别为 和 ,又 ,以台风中心为 圆心周围 以内为受影响区域. (1)海港C会受台风影响吗?为什么? (2)若台风的速度为 ,台风影响该海港持续的时间有多长? 【答案】(1)海港C会受到台风影响,见解析 (2)台风影响该海港持续的时间有 【分析】本题考查的是勾股定理在实际生活中的运用. (1)先利用勾股定理的逆定理得出 是直角三角形,再利用三角形面积得出 的长,进而得出海港 C是否受台风影响; (2)利用勾股定理得出 以及 的长,进而得出台风影响该海港持续的时间. 【详解】(1)解:海港C会受到台风影响,理由如下: 如图所示,过点C作 于D点, ∵ , , , ∴ , ∴ 为直角三角形, ∴ , ∴ , ∴ ,∵以台风中心为圆心周围 以内为受影响区域, ∴海港C会受到台风影响; (2)解:由(1)得 , 如图所示,当 时,即台风经过 段时,正好影响到海港C,此时 为等腰三角形, , ∴ , ∵台风的速度为 , ∴ , ∴台风影响该海港持续的时间有 . 29.(24-25八年级上·江苏连云港·期中)如图,经过 村和 村(将 村看成直线 上的点)的笔直公 路 旁有一块山地正在开发,现需要在 处进行爆破.已知 处与 村的距离为300米, 处与 村的距离 为400米,且 . (1)求 两村之间的距离; (2)为了安全起见,爆破点 周围半径250米范围内不得进入,在进行爆破时,公路 段是否有危险而需 要封锁?如果需要,请计算需要封锁的路段长度;如果不需要,请说明理由. 【答案】(1)500米; (2)公路 有危险而需要封锁.需要封锁的路段长度为140米. 【分析】本题考查了勾股定理的应用,解题的关键是熟练掌握勾股定理及利用三角形的面积公式求出 的长. (1)根据勾股定理可直接求出 ; (2)利用三角形的面积公式求得 米.再根据241米 250米可以判断有危险,根据勾股定理求出 ,进而求出 . 【详解】(1)解:在 中, 米, 米, ∴ (米). 答:A,B两村之间的距离为500米;(2)公路 有危险而需要封锁. 理由如下:如图,过C作 于D.以点C为圆心,250米为半径画弧,交 于点E,F,连接 , , ∵ , ∴ (米). 由于240米 250米,故有危险, 因此 段公路需要封锁. ∴ 米, ∴ (米), 故 米, 则需要封锁的路段长度为140米. 30.(24-25八年级上·山东济南·期中)如图,某沿海城市 接到台风预警,在该市正南方向 的 处 有一台风中心,沿 方向以 的速度移动,已知城市 到 的距离 为 . (1)台风中心经过多长时间从 点移到 点? (2)如果在距台风中心 的 的圆形区域内都将受到台风的影响,那么 市受到台风影响的时间持续多 少小时? 【答案】(1)台风中心经过30h从 点移到 点; (2) 市受到台风影响的时间持续 . 【分析】本题考查了勾股定理的应用,等腰三角形的性质,掌握相关知识是解题的关键. (1)先利用勾股定理求出 ,即可求解;(2)在射线 上取点 ,使得 ,利用勾股定理求出 ,进而求出 的长,即可 求解. 【详解】(1)解:由题意可知, , , , 在 中, , ∴ , 答:台风中心经过 从 点移到 点; (2)解:如图,在射线 上取点 ,使得 , ∵ , ∴ , 在 中, , ∴ , ∴ , 答: 市受到台风影响的时间持续 . 【经典例题十一 选址问题】 【例11】(23-24七年级上·山东泰安·期中)如图,高速公路上有A,B两点相距 ,C,D为两村庄, 已知 , . 于A, 于B,现要在 上建一个服务站E,使得C,D两 村庄到E站的距离相等,则 的长是 . 【答案】 【分析】本题考查了勾股定理的应用,根据 于A, 于B, ,列式,解出 的值,即可作答. 【详解】 解:由题意知, , , , 设 ,则 , 因为 于A, 于B, 所以在 与 中, 由勾股定理得, , ∴ , 解得 , ∴ , 故答案为: . 31.(24-25八年级上·宁夏银川·期末)如图,铁路上A,B两点相距 ,C,D为两村庄, 于 点A, 于点B,已知 ,现在要在铁路 旁建一个货运站E,使得C,D两 村到E站距离相等,问E站应建在离A地多远的地方? 【答案】E站应建在离A地 的地方 【分析】本题考查勾股定理,根据设 ,则 ,利用勾股定理结合C,D两村到E站 距离相等,列出方程进行求解即可. 【详解】解:设 ,则 , ∵ , ,∴ , , ∵ , ∴ ,即: , 解得: , 答:E站应建在离A地 的地方. 32.(24-25八年级下·湖北咸宁·期中)如图甲,笔直的公路上 , 两点相距20 , , 为两村庄, 于点 , 于点 ,已知 , ,现在计划在公路的 段上建一个土特 产品收购站 . (1)若规划 , 两村到收购站 的距离相等,则收购站 应建在离 点多远处? (2)若规划 , 两村到收购站 的距离的和最短,请在图乙中通过作图画出收购站 的位置,计算得到距 离的和最短值为 . 【答案】(1) (2)图见解析,25 【分析】本题考查了作图—应用设计作图、勾股定理、轴对称—最短路线问题,熟练掌握勾股定理的应用 是解题的关键. (1)设 ,则 ,在 与 中,由勾股定理结合 得出方程, 求出 的值即可求解; (2)作点 关于 的对称点 ,连接 交 于点 ,则点 即为所求, 长即为距离的和最短值, 过点 作 交 的延长线于点 ,在 中由勾股定理求出 的长即可. 【详解】(1)解:(1)设 ,则 , 在 与 中,由勾股定理得, , , ∵ ,∴ , ∴ , 解得 , 即收购站 应建在离 点 处; (2)如图,作点 关于 的对称点 ,连接 交 于点 ,则点 即为所求, 长即为距离的和 最短值, 过点 作 交 的延长线于点 , 则 . 故答案为:25. 33.(23-24八年级上·山东青岛·期中) “三农”问题是关系国计民生的根本问题,实施乡村振兴战略是 建设美丽中国的关键举措.如图,公路上A、B两点相距 ,C、D为两村庄, 于A, 于B,已知 ,现在要在公路 上建一个土特产品市场E,使得C、D两 村庄到市场E的距离相等. (1)求市场E应建在距A多少千米处? (2)此时 的形状是 三角形,请直接写出答案,无需证明. 【答案】(1)20(2)等腰直角 【分析】本题考查了勾股定理的运用; (1)由得C、D两村庄到市场E的距离相等,可得 ,根据勾股定理列方程计算即可; (2)证明 即可判断 为等腰直角三角形. 【详解】(1)设 ,则 , ∵ 于A, 于B,已知 , ∴ , , ∵C、D两村庄到市场E的距离相等, ∴ , ∴ , 解得 ,即 ∴市场 应建在距 千米处; (2)∵ , , ∴ , , ∵ , ∴ , ∴ , ∴ , ∴ , ∴ 为等腰直角三角形. 故答案为:等腰直角. 【经典例题十二 最短路径问题】 【例12】(23-24七年级下·陕西西安·期末)如图,圆柱形玻璃杯的杯高为 ,底面周长为 ,在杯 内壁离杯底 的点 处有一滴蜂蜜,此时,一只蚂蚁正好在杯外壁上,它在离杯上沿 ,且与蜂蜜相 对的点A处,则蚂蚁从外壁A处到内壁 处所走的最短路程为 .(杯壁厚度不计, 结果保留根号)【答案】 【分析】本题主要考查了平面展开—最短路径问题、轴对称的性质、勾股定理等知识点,灵活运用相关知 识是解题的关键. 将杯子半侧面展开,作A关于 的对称点 ,再根据两点之间线段最短可知 的长度即为所求. 【详解】解:如图: 将杯子半侧面展开,作A关于 的对称点 ,连接 ,当时点 、F、B在同一条直线上,则 为蚂蚁从外壁A处到内壁B处的最短距离,即 的长度, 由题意可得: , ∵ . ∴蚂蚁从外壁A处到内壁B处的最短距离为 . 故答案为 . 34.(23-24九年级上·吉林长春·期末)(1)问题情境一:如图①,一只蚂蚁在一个长为100cm,宽为 50cm的长方形地毯上爬行,请在图①中画出蚂蚁从点 处到达点 处需要走的最短路径,依据是 .(2)问题情境二:如图②,在情境一中的地毯上堆放着一根正三棱柱的木块,它的侧棱平行且等于地毯 的宽 ,木块从正面看是一个边长为10cm的等边三角形,求这只蚂蚁从点 处出发,翻越木块后到达点 处需要走的最短路程. 【答案】(1)图形见解析;两点之间,线段最短. (2) 【分析】本题考查平面展开最短路径问题,两点之间线段最短,勾股定理: (1)根据两点之间,线段最短连接即可; (2)根据题意可得,展开图中等于长方形地毛毯的长和三角形一条边长之和,展开图中等于长方形地毛 毯的宽,根据勾股定理计算的长即可求解. 【详解】(1)解: 依据:两点之间,线段最短. (2)解: 根据题意得:展开图中的 , . 在 中,由勾股定理得: , 即这只蚂蚁从点A处到达点C处需要走的最短路程为 . 35.(23-24八年级上·江西九江·阶段练习)课本再现如图1,有一个圆柱,它的高为 ,底面圆的周长为 .在圆柱下底面的点A处有一只蚂蚁,它想 吃到上底面与点A相对的点B处的食物,蚂蚁沿圆柱侧面爬行的最短路程是多少? 方法探究 (1)对于立体图形中求最短路程问题,应把立体图形展开成平面图形,再确定A,B两点的位置,依据 “两点之间线段最短”,结合勾股定理,解决相应的问题.如图2,在圆柱的侧面展开图中,点A,B对应 的位置如图所示,利用勾股定理求出蚂蚁爬行的最短路程是______ . 方法应用 (2)如图3,直四棱柱的上下底面是正方形,底面边长为 ,高为 .在其侧面从点A开始,绕侧 面两周,嵌入装饰彩条至点B停止.求彩条的最短长度. (3)如图4,圆柱形玻璃杯底面周长为 ,高为 ,杯底厚 .在玻璃杯外壁距杯口 的点A 处有一只蚂蚁,蚂蚁相对面的内壁底部B处有一滴蜂蜜,蚂蚁沿杯口爬入内壁去吃蜂蜜,求蚂蚁爬行的最 短路径长.(玻璃杯的壁厚忽略不计) 【答案】(1)15;(2) (3) 【分析】本题考查勾股定理、几何体的展开图.(1)根据题意得出蚂蚁沿圆柱侧面爬行的最短路程是指展开后线段 的长,求出 , ,根据勾股 定理求出 即可. (2)根据绕两圈到B,则展开后相当于求出 的斜边长,并且 ,根据勾股 定理求出即可. (3)将杯子侧面展开,建立A关于 的对称点 ,根据两点之间线段最短可知 的长度即为所求. 【详解】解:(1)根据题意得出:蚂蚁沿圆柱侧面爬行的最短路程是指展开后线段 的长, 由题意得: . 在 中,由勾股定理得: , 所以,蚂蚁沿圆柱侧面爬行的最短路程是 故答案为:15. (2)如图所示, ∵从点A开始经过4个侧面缠绕2圈到达点B, ∴展开后 由勾股定理得: , 所以彩条的最短长度是 . (3)展开玻璃杯的侧面,如图, 作点A关于 的对称点 ,连接 ,作 于点C,则 , , , .在 中, , 所以蚂蚁爬行的最短路径长为 . 36.(23-24八年级上·四川成都·期中)(1)如图 ,长方体的长为 ,宽为 ,高为 , ,一只蚂蚁如果要沿着长方体的表面从点 爬到点 ,需要爬行的最短路程是 ; (2)如图 ,小明家住 楼,一天他与爸爸去买了一根长 的钢管,如果电梯的长、宽、高分别是 , , ,在不损坏钢管的前提下请你帮小明计算一下这根钢管能否放进电梯内? 【答案】( )20;( )能,理由见解析. 【分析】( )将长方体按不同方式展开,构造直角三角形,分三种情况利用勾股定理求出长,再比较即 可得到答案; ( )利用两点之间线段最短及勾股定理的运用即可; 此题考查了平面展开——最短路径问题,解题的关键是作出辅助线,构造出直角三角形,利用勾股定理求 解. 【详解】解:( ) 如图 ,展开后连接 ,则 就是在表面上 到 的最短距离, 在 中,由勾股定理得: ; 如图 ,展开后连接 ,则 就是在表面上 到 的最短距离,在 中,由勾股定理得: ; 如图 ,展开后连接 ,则 就是在表面上 到 的最短距离, 在 中,由勾股定理得: , ∵ , ∴蚂蚁爬行的最短路程是 , 故答案为: ; 2)如图所示: 由勾股定理得: , ∴ (米)> , ∴钢管能放进电梯. 1.(2025八年级下·全国·专题练习)如图,是一个盖子圆心处插有吸管的圆柱形水杯,水杯底面直径为 ,高度为 ,吸管长为 (底端在杯子底上),露在水杯外面的吸管长度为 ,则a最小为 ( ) A.11 B.12 C.13 D.14【答案】B 【分析】本题主要考查了勾股定理的应用,解题的关键是构造直角三角形,用勾股定理解决问题.根据题 意作出图形,根据勾股定理求出 的长即可推出结果. 【详解】解:由题意可知,当吸管如图所示放置时,露在水杯外面的吸管长度最短, ∵水杯底面直径为 ,高度为 , ∴ , , ∴ , ∴露在水杯外面的吸管长度 , 即a最小为12, 故选:B. 2.(24-25八年级上·甘肃兰州·期末)九章算术中记载了一个“折竹抵地”问题:今有竹高一丈,末折抵 地,去本三尺,问折者高几何?题意是:一根竹子原高1丈(1丈 尺),中部有一处折断,竹稍触地 面处离竹根4尺,试问折断处离地面多高?则折断处离地面的高度为( ) A.4.55尺 B.5.45尺 C.4.2尺 D.5.8尺 【答案】C 【分析】本题考查了勾股定理的应用,熟练掌握勾股定理是解题的关键.设折断处离地面的高度 为 尺,则 尺,在 中,由勾股定理得出方程,求解即可. 【详解】解:设折断处离地面的高度 为 尺,则 尺,在 中,由勾股定理得: , , 解得: , 即折断处离地面的高度为4.2尺, 故选:C. 3.(24-25七年级上·山东泰安·期中)如图,四边形 是长方形地面,长 ,宽 ,中 间竖有一堵砖墙高 ,一只蚂蚱从点A爬到点C,则它至少要走( ) A. B. C. D. 【答案】A 【分析】本题主要考查了平面展开最短路线问题、勾股定理等知识点,根据题意画出平面展开图是解答题 的关键.如图:连接 ,利用勾股定理求出 的长,再把中间的墙平面展开,使原来的矩形长度增加 而宽度不变,求出新矩形的对角线长即可. 【详解】解:如图所示: 将图展开,图形长度增加 , 原图长度增加2米,则 , 如图:连接 , ∵四边形 是长方形, ,宽 , ∴ , ∴蚂蚱从A点爬到C点,它至少要走 的路程.故选:A. 4.(24-25八年级上·云南昭通·期末)足球是世界上最受欢迎的运动项目之一,如图,球员A 向边线 传球,传球落点在边线 上任何位置都能被边线球员接住球,而边线球员不运球直接传给球员B,图中 四边形 为直角梯形, , , , 则两次传球中皮球飞过的最短路径为 ( ) A.15 B. C.20 D. 【答案】B 【分析】本题考查了轴对称,等腰三角形的判定与性质,勾股定理等知识,作A关于 的对称点E,连 接 交 于O,连接 ,过A作 于F,根据轴对称的性质可判断两次传球中皮球飞过的最短路 径长等于 ,根据轴对称的性质可得出 ,根据等边对等角和平行线的性质可求出 ,根据含 角的直角三角形的性质和勾股定理可求出 ,然后根据三线合一求出 即可. 【详解】解:作A关于 的对称点E,连接 交 于O,连接 ,过A作 于F, ∴ , , ∴ , , ∴ ,两次传球中皮球飞过的最短路径长等于 , 依题意得 ,∴ , ∴ , ∵ , ∴ , 又 , ∴ , ∴ , 又 , ∴ , 即两次传球中皮球飞过的最短路径为 , 故选:B. 5.(24-25八年级上·江苏无锡·期中)如图,边长为 的等边 中, 是 上中线,点 在 上, 连接 ,在 的右侧作等边 ,连接 ,则 周长的最小值是 ( ) A. B. C. D.3 【答案】B 【分析】本题考查了轴对称最短问题、等边三角形的性质和判定、全等三角形的判定和性质等知识,学会 利用轴对称的性质构造辅助线并证明全等三角形是解题的关键.作 交 于 ,连接 、 、 ,由 可得 是等边三角形,再通过全等 的判定方法得到 ,进而把 周长转化为 的周长,再利用两点之间线段最短算得 周长的最小值,即可得出结论. 【详解】解:如图, 作 交 于 ,连接 、 、 , 等边 , , 又 ,, 是等边三角形, . 等边 , 是 上中线, 垂直平分 , , 又 点 在 上, . 等边 , , , , , , 周长 周长, 周长 周长 , 当 最小时, 周长有最小值, 连接 , , 是 上中线, 又 等边 , , 在 中, , , , , 的最小值为 ,周长最小值为 . 故选:B. 6.(24-25八年级上·四川成都·期末)一彩旗为长是80cm,宽是60cm的长方形,现将其插在地面上,为 使旗面不着地,则旗杆长至少应为 cm. 【答案】100 【分析】本题考查了勾股定理在实际生活中的运用,由于彩旗的长和宽与彩旗对角线,即旗杆长正好构成 直角三角形,利用勾股定理计算是解题的关键. 【详解】解:旗杆长至少应为 , 故答案为:100. 7.(2025八年级下·全国·专题练习)如图,铁路 和公路 在点O处相交,公路 上距离O点 的点A到 的直线距离为 .如果火车行驶时,周围 以内会受到噪音的影响,那么火车在铁路 上沿 方向以 的速度行驶时,点A处受噪音影响的时间为 . 【答案】16 【分析】本题主要考查的是勾股定理的应用,过点A作 ,利用锐角三角函数的定义求出 的长 与 相比较,发现受到影响,然后过点A作 ,求出 的长即可得出居民楼受噪音影 响的时间. 【详解】解:过点A作 , 上取点 , ,使 ,由题意可得 , , 当火车到B点时对A处产生噪音影响,此时 , ∵ , , ∴由勾股定理得: , ,即 , ∵火车在铁路 上沿 方向以 的速度行驶, ∴影响时间应是: . 故A处受噪音影响的时间是 . 故答案为:16. 8.(24-25八年级下·全国·单元测试)如图是一个长,宽,高分别为 , , 的长方体木块,一只蚂蚁要 从长方体木块的一个顶点 处,沿着长方体的表面到顶点 处吃食物,那么它需要爬行的最短路径的长是 . 【答案】 【分析】本题考查勾股定理的应用.解题关键是展开长方体将 , 放在同一平面,展开的方式不同,蚂 蚁爬行的路线就不同.分三种情况展开,将 和 放在同一平面内,根据两点之间线段最短和勾股定理可 求得 的长度,取最小值即可. 【详解】解:由于长方体的平面展开方式不唯一,故分以下三种情况进行讨论: (1)把前面右面组成一个长方形,连接 ,如图, ; (2)把前面上面组成一个长方形,连接 ,如图,; (3)把左面上面组成一个长方形,连接 ,如图, , , 最短路径的长为 , 故答案为: . 9.(24-25八年级下·全国·单元测试)如图,圆柱形杯子的高为 ,底面周长为 ,在杯内壁(杯 子的厚度忽略不计)离杯底 的点 处有一滴蜂蜜,此时一只蚂蚁正好在杯外壁,离杯上沿 与蜂蜜 相对的点 处,则蚂蚁从外壁 处到达内壁 处的最短距离为 .(假设蜂蜜不会下滑) 【答案】20 【分析】本题考查了勾股定理的应用、轴对称的最短路径问题、圆柱的展开图,熟练掌握相关知识点,利 用轴对称的性质分析出最短距离是解题的关键.将圆柱形杯子的侧面展开,作 关于 的对称点 ,连 接 交 于点 ,利用轴对称的性质得到从外壁 处到达内壁 处的最短距离为 的长,再利用勾 股定理求出 的长即可解答. 【详解】解:如图,将圆柱形杯子的侧面展开,作 关于 的对称点 ,连接 交 于点 ,由对称性可得 , , 从外壁 处到达内壁 处的最短距离为 的长, 由题意得, , , 在 中, . 故答案为:20. 10.(24-25八年级上·陕西西安·阶段练习)如图,在 中, , , , 、 为 边的点, ,点 为 上一动点,连接 、 ,则 的最小值为 . 【答案】 【分析】本题考查轴对称-最短问题,直角三角形,等边三角形的判定和性质,解题的关键是作点 关于 的对称点 ,连接 ,在 上截取 ,使得 ,连接 , , 交 于点 , 连接 .则 , 关于 对称, 的最小值是 线段的长,根据等边三角形的判定和性质, 则 是等边三角形,根据直角三角形中, 所对的直角边等于斜边的一半,勾股定理,进行解答, 即可. 【详解】解:如图,作点 关于 的对称点 ,连接 ,在 上截取 ,使得 ,连接 , , 交 于点 ,连接 .则 , 关于 对称,∴ , ,此时 的最小值是 线段的长. ∵ , ∴ , ∵ , ∴ 是等边三角形, ∵ , , ∴ , ∴ , ∴ , ∴ , ∴ , ∴ 的最小值为 . 故答案为: . 11.(24-25八年级上·山东济南·阶段练习)某宾馆装修,需在一段楼梯台阶上铺上一块地毯,将楼梯台阶 完全盖住.楼梯台阶剖面图如图,已知 , , . (1)求BC的长; (2)若已知楼梯宽 ,需要购买________ 的地毯才能铺满所有台阶. 【答案】(1) ; (2) . 【分析】此题考查了平移的性质,勾股定理的应用.(1)根据勾股定理即可求解; (2)根据题意,结合图形,把楼梯台阶的横竖分别向上向左平移,进一步求出面积即可. 【详解】(1)解:由题意可得, ; (2)解:利用平移可知,把楼梯台阶的横竖分别向上向左平移,地毯的长为 , ∴地毯面积为 , 故答案为: 12.(24-25八年级上·宁夏银川·期中)如图,一辆小汽车在一条道路上沿直线行驶,某一时刻刚好行驶到 路对面车速检测仪 处的正前方120米的 处,过了8秒,小汽车到达 处,此时测得小汽车与车速检测 仪间的距离为200米. (1)求 的长; (2)“中华人民共和国道路交通管理条例”规定:小汽车在城街路上行驶速度不得超过70千米/小时,这辆小 汽车在 段是否超速行驶?请说明理由(参考数据: ) 【答案】(1) 米 (2)超速了,理由见解析 【分析】本题主要考查勾股定理,熟练掌握勾股定理是解题的关键. (1)根据勾股定理求出 的长即可; (2)求出小汽车的速度,然后再判断是否超速即可. 【详解】(1)解:在 中, , , 答: 的长为 米; (2)解:小汽车的速度为: , , 故小汽车超速了.13.(24-25八年级上·河北承德·期末)【问题背景】 著名的赵爽弦图(如图①,其中四个直角三角形较大的直角边长都为 ,较小的直角边长都为 ,斜边长 都为 ,大正方形的面积可以表示为 ,也可以表示为 ,由此推导出重要的勾股定理:如 果直角三角形两条直角边长为 , ,斜边长为 ,则 . 【探索求证】 古今中外,勾股定理有很多证证明方法,如图②, 与 按如图所示位置放置,连接CD,其 中 ,请你利用图②推导勾股定理. 【问题解决】 如图③,在一条东西走向河流的一侧有一村庄 ,河边原有两个取水点 , ,其中 ,由于某种 原因,由 到 的路现在已经不通,该村为方便村民取水决定在河边新建一个取水点 ( 、 、 在同 一条直线上),并新修一条路CH,且 .测得 千米, 千米,求新路CH比原路CA 少多少千米? 【延伸扩展】 在第(2)向中若 时, , , , ,设 ,求 的值. 【答案】探索求证:见解析;问题解决: 千米;延伸扩展: 【分析】此题主要考查了勾股定理的证明与应用: (1)梯形的面积可以由梯形的面积公式求出,也可利用三个直角三角形面积求出,两次求出的面积相等 列出关系式,化简即可得证; (2)设 千米,则 千米,根据勾股定理列方程,解得即可得到结果; (3)在 和 中,由勾股定理得求出 ,列出方程求解即可得到 结果. 【详解】解:(1) ,, ∴ , 即 ; (2)设 千米,则 千米, 在 中,由勾股定理得 , ∴ , 解得 , 即 千米, ∴ (千米), ∴新路 比原路 少 千米; (3)设 ,则 , 在 中,由勾股定理得 , 在 中,由勾股定理得 , ∴ , 即 , 解得: . 14.(24-25七年级上·山东威海·期末)【问题情境】 数学综合与实践活动课上,老师提出如下问题:一个三级台阶,它每一级的长、宽、高分别为20、3、2, 和 是一个台阶两个相对的端点. 【探究实践】 老师让同学们探究:如图①,若 点处有一只蚂蚁要到 点去吃可口的食物,那么蚂蚁沿着台阶爬到 点 的最短路程是多少? (1)同学们经过思考得到如下解题方法:如图②,将三级台阶展开成平面图形,可得到长为20.宽为15 的长方形,连接 ,经过计算得到 长度为___________,就是最短路程. 【变式探究】 (2)如图③,是一只圆柱形玻璃杯,该玻璃杯的底面周长是 ,高是 ,若蚂蚁从点 出发沿着玻璃杯的侧面到点 ,则蚂蚁爬行的最短距离为___________.- 【拓展应用】 (3)如图④,圆柱形玻璃杯的高 ,底面周长为 ,在杯内壁离杯底 的点 处有一滴蜂蜜,此 时,一只蚂蚁正好在外壁上,离杯上沿 ,且与蜂蜜相对的点 处,则蚂蚁从外壁 处到内壁 处所爬 行的最短路程是多少?(杯壁厚度不计)(画出示意图并进行计算) 【答案】(1) (2) (3) 【分析】本题考查了平面展开图—最短路径问题,解答本题的关键是熟练运用数形结合的思想解决问题. (1)直接利用勾股定理进行求解即可; (2)将圆柱体展开,利用勾股定理求解即可; (3)从玻璃杯侧面展开,作 关于 的对称点 ,根据两点之间线段最短可知 的长度即为所求,利 用勾股定理求解即可. 【详解】解:(1)由题意得 , 故答案为: ; (2)将圆柱体展开,由题意得 , 故答案为: ; (3)如图, 从玻璃杯侧面展开,作 关于 的对称点 ,作 交 延长线于点 ,连接 交 于点 , , , ,, , 蚂蚁从外壁 处到内壁 处所爬行的最短路程是 . 15.(24-25八年级上·河南郑州·期中)勾股定理,是几何学中一颗光彩夺目的明珠,被称为“几何学的基 石”.世界上几个文明古国都已发现并且进行了广泛深入的研究,其中一个有趣的证法如下:把两个全等 的直角三角形 (如图1放置, , 点 在边 上,现设 两直角边长分别为 、 ,斜边长为 ,请用 、 、 分别表示出梯形 、 四边形 、 的面积,再探究这三个图形面积之间的关系,可得到勾股定理, (1)请根据上述图形的面积关系证明勾股定理; (2)如图2,铁路上 、 两点(看作直线上的两点)相距16千米, 为两个村庄(看作直线上的两点), , ,垂足分别为 、 , 千米, 千米,则两个村庄的距离为_____千米. (3)在(2)的背景下,若 千米, 千米, 千米,要在 上建造一个供应站 ,使得 ,请在图2中作出 点的位置并求出 的距离.(尺规作图,保留作图痕迹,不写作法). 【答案】(1)证明过程见详解 (2) (3) 【分析】本题主要考查勾股定理的证明,勾股定理与最短路径的计算方法, (1)根据全等三角形的性质可得 ,则 ,分 别用含 的式子,结合图形表示出梯形 、四边形 、 的面积,根据 ,代入计算即可求解; (2)如图所示,连接 ,作 于点 ,可得, 的长,在 中,运用勾股定理可得 ,由此即可求解; (3)连接 作 的垂直平分线交 于点 ,设 ,则 ,运用勾 股定理可得 , ,再根据 ,代入计 算即可求解. 【详解】(1)解:根据题意, , ∴ ,则 , ∴ , , , ∵ , ∴ ,整理得, ; (2)解:如图所示,连接 ,作 于点 , ∵ , , ∴ , ∴ , ∴在 中, , 故答案为: ; (3)解:如图所示,设 ,则 ,∵ , , ∴ , , ∵ , ∴ , 两边同时平方得, , 解得, , ∴ .