当前位置:首页>文档>微专题由图象确定y=Asin(ωx+φ)的解析式学案——2023届高考数学一轮《考点·题型·技巧》精讲与精练_2.2025数学总复习_赠品通用版(老高考)复习资料_一轮复习

微专题由图象确定y=Asin(ωx+φ)的解析式学案——2023届高考数学一轮《考点·题型·技巧》精讲与精练_2.2025数学总复习_赠品通用版(老高考)复习资料_一轮复习

  • 2026-04-17 22:08:42 2026-03-20 06:32:41

文档预览

微专题由图象确定y=Asin(ωx+φ)的解析式学案——2023届高考数学一轮《考点·题型·技巧》精讲与精练_2.2025数学总复习_赠品通用版(老高考)复习资料_一轮复习
微专题由图象确定y=Asin(ωx+φ)的解析式学案——2023届高考数学一轮《考点·题型·技巧》精讲与精练_2.2025数学总复习_赠品通用版(老高考)复习资料_一轮复习
微专题由图象确定y=Asin(ωx+φ)的解析式学案——2023届高考数学一轮《考点·题型·技巧》精讲与精练_2.2025数学总复习_赠品通用版(老高考)复习资料_一轮复习
微专题由图象确定y=Asin(ωx+φ)的解析式学案——2023届高考数学一轮《考点·题型·技巧》精讲与精练_2.2025数学总复习_赠品通用版(老高考)复习资料_一轮复习
微专题由图象确定y=Asin(ωx+φ)的解析式学案——2023届高考数学一轮《考点·题型·技巧》精讲与精练_2.2025数学总复习_赠品通用版(老高考)复习资料_一轮复习
微专题由图象确定y=Asin(ωx+φ)的解析式学案——2023届高考数学一轮《考点·题型·技巧》精讲与精练_2.2025数学总复习_赠品通用版(老高考)复习资料_一轮复习
微专题由图象确定y=Asin(ωx+φ)的解析式学案——2023届高考数学一轮《考点·题型·技巧》精讲与精练_2.2025数学总复习_赠品通用版(老高考)复习资料_一轮复习
微专题由图象确定y=Asin(ωx+φ)的解析式学案——2023届高考数学一轮《考点·题型·技巧》精讲与精练_2.2025数学总复习_赠品通用版(老高考)复习资料_一轮复习
微专题由图象确定y=Asin(ωx+φ)的解析式学案——2023届高考数学一轮《考点·题型·技巧》精讲与精练_2.2025数学总复习_赠品通用版(老高考)复习资料_一轮复习
微专题由图象确定y=Asin(ωx+φ)的解析式学案——2023届高考数学一轮《考点·题型·技巧》精讲与精练_2.2025数学总复习_赠品通用版(老高考)复习资料_一轮复习
微专题由图象确定y=Asin(ωx+φ)的解析式学案——2023届高考数学一轮《考点·题型·技巧》精讲与精练_2.2025数学总复习_赠品通用版(老高考)复习资料_一轮复习
微专题由图象确定y=Asin(ωx+φ)的解析式学案——2023届高考数学一轮《考点·题型·技巧》精讲与精练_2.2025数学总复习_赠品通用版(老高考)复习资料_一轮复习
微专题由图象确定y=Asin(ωx+φ)的解析式学案——2023届高考数学一轮《考点·题型·技巧》精讲与精练_2.2025数学总复习_赠品通用版(老高考)复习资料_一轮复习
微专题由图象确定y=Asin(ωx+φ)的解析式学案——2023届高考数学一轮《考点·题型·技巧》精讲与精练_2.2025数学总复习_赠品通用版(老高考)复习资料_一轮复习
微专题由图象确定y=Asin(ωx+φ)的解析式学案——2023届高考数学一轮《考点·题型·技巧》精讲与精练_2.2025数学总复习_赠品通用版(老高考)复习资料_一轮复习
微专题由图象确定y=Asin(ωx+φ)的解析式学案——2023届高考数学一轮《考点·题型·技巧》精讲与精练_2.2025数学总复习_赠品通用版(老高考)复习资料_一轮复习
微专题由图象确定y=Asin(ωx+φ)的解析式学案——2023届高考数学一轮《考点·题型·技巧》精讲与精练_2.2025数学总复习_赠品通用版(老高考)复习资料_一轮复习
微专题由图象确定y=Asin(ωx+φ)的解析式学案——2023届高考数学一轮《考点·题型·技巧》精讲与精练_2.2025数学总复习_赠品通用版(老高考)复习资料_一轮复习
微专题由图象确定y=Asin(ωx+φ)的解析式学案——2023届高考数学一轮《考点·题型·技巧》精讲与精练_2.2025数学总复习_赠品通用版(老高考)复习资料_一轮复习
微专题由图象确定y=Asin(ωx+φ)的解析式学案——2023届高考数学一轮《考点·题型·技巧》精讲与精练_2.2025数学总复习_赠品通用版(老高考)复习资料_一轮复习
微专题由图象确定y=Asin(ωx+φ)的解析式学案——2023届高考数学一轮《考点·题型·技巧》精讲与精练_2.2025数学总复习_赠品通用版(老高考)复习资料_一轮复习
微专题由图象确定y=Asin(ωx+φ)的解析式学案——2023届高考数学一轮《考点·题型·技巧》精讲与精练_2.2025数学总复习_赠品通用版(老高考)复习资料_一轮复习
微专题由图象确定y=Asin(ωx+φ)的解析式学案——2023届高考数学一轮《考点·题型·技巧》精讲与精练_2.2025数学总复习_赠品通用版(老高考)复习资料_一轮复习
微专题由图象确定y=Asin(ωx+φ)的解析式学案——2023届高考数学一轮《考点·题型·技巧》精讲与精练_2.2025数学总复习_赠品通用版(老高考)复习资料_一轮复习
微专题由图象确定y=Asin(ωx+φ)的解析式学案——2023届高考数学一轮《考点·题型·技巧》精讲与精练_2.2025数学总复习_赠品通用版(老高考)复习资料_一轮复习
微专题由图象确定y=Asin(ωx+φ)的解析式学案——2023届高考数学一轮《考点·题型·技巧》精讲与精练_2.2025数学总复习_赠品通用版(老高考)复习资料_一轮复习
微专题由图象确定y=Asin(ωx+φ)的解析式学案——2023届高考数学一轮《考点·题型·技巧》精讲与精练_2.2025数学总复习_赠品通用版(老高考)复习资料_一轮复习
微专题由图象确定y=Asin(ωx+φ)的解析式学案——2023届高考数学一轮《考点·题型·技巧》精讲与精练_2.2025数学总复习_赠品通用版(老高考)复习资料_一轮复习
微专题由图象确定y=Asin(ωx+φ)的解析式学案——2023届高考数学一轮《考点·题型·技巧》精讲与精练_2.2025数学总复习_赠品通用版(老高考)复习资料_一轮复习
微专题由图象确定y=Asin(ωx+φ)的解析式学案——2023届高考数学一轮《考点·题型·技巧》精讲与精练_2.2025数学总复习_赠品通用版(老高考)复习资料_一轮复习
微专题由图象确定y=Asin(ωx+φ)的解析式学案——2023届高考数学一轮《考点·题型·技巧》精讲与精练_2.2025数学总复习_赠品通用版(老高考)复习资料_一轮复习
微专题由图象确定y=Asin(ωx+φ)的解析式学案——2023届高考数学一轮《考点·题型·技巧》精讲与精练_2.2025数学总复习_赠品通用版(老高考)复习资料_一轮复习
微专题由图象确定y=Asin(ωx+φ)的解析式学案——2023届高考数学一轮《考点·题型·技巧》精讲与精练_2.2025数学总复习_赠品通用版(老高考)复习资料_一轮复习
微专题由图象确定y=Asin(ωx+φ)的解析式学案——2023届高考数学一轮《考点·题型·技巧》精讲与精练_2.2025数学总复习_赠品通用版(老高考)复习资料_一轮复习
微专题由图象确定y=Asin(ωx+φ)的解析式学案——2023届高考数学一轮《考点·题型·技巧》精讲与精练_2.2025数学总复习_赠品通用版(老高考)复习资料_一轮复习
微专题由图象确定y=Asin(ωx+φ)的解析式学案——2023届高考数学一轮《考点·题型·技巧》精讲与精练_2.2025数学总复习_赠品通用版(老高考)复习资料_一轮复习
微专题由图象确定y=Asin(ωx+φ)的解析式学案——2023届高考数学一轮《考点·题型·技巧》精讲与精练_2.2025数学总复习_赠品通用版(老高考)复习资料_一轮复习
微专题由图象确定y=Asin(ωx+φ)的解析式学案——2023届高考数学一轮《考点·题型·技巧》精讲与精练_2.2025数学总复习_赠品通用版(老高考)复习资料_一轮复习
微专题由图象确定y=Asin(ωx+φ)的解析式学案——2023届高考数学一轮《考点·题型·技巧》精讲与精练_2.2025数学总复习_赠品通用版(老高考)复习资料_一轮复习

文档信息

文档格式
docx
文档大小
2.423 MB
文档页数
39 页
上传时间
2026-03-20 06:32:41

文档内容

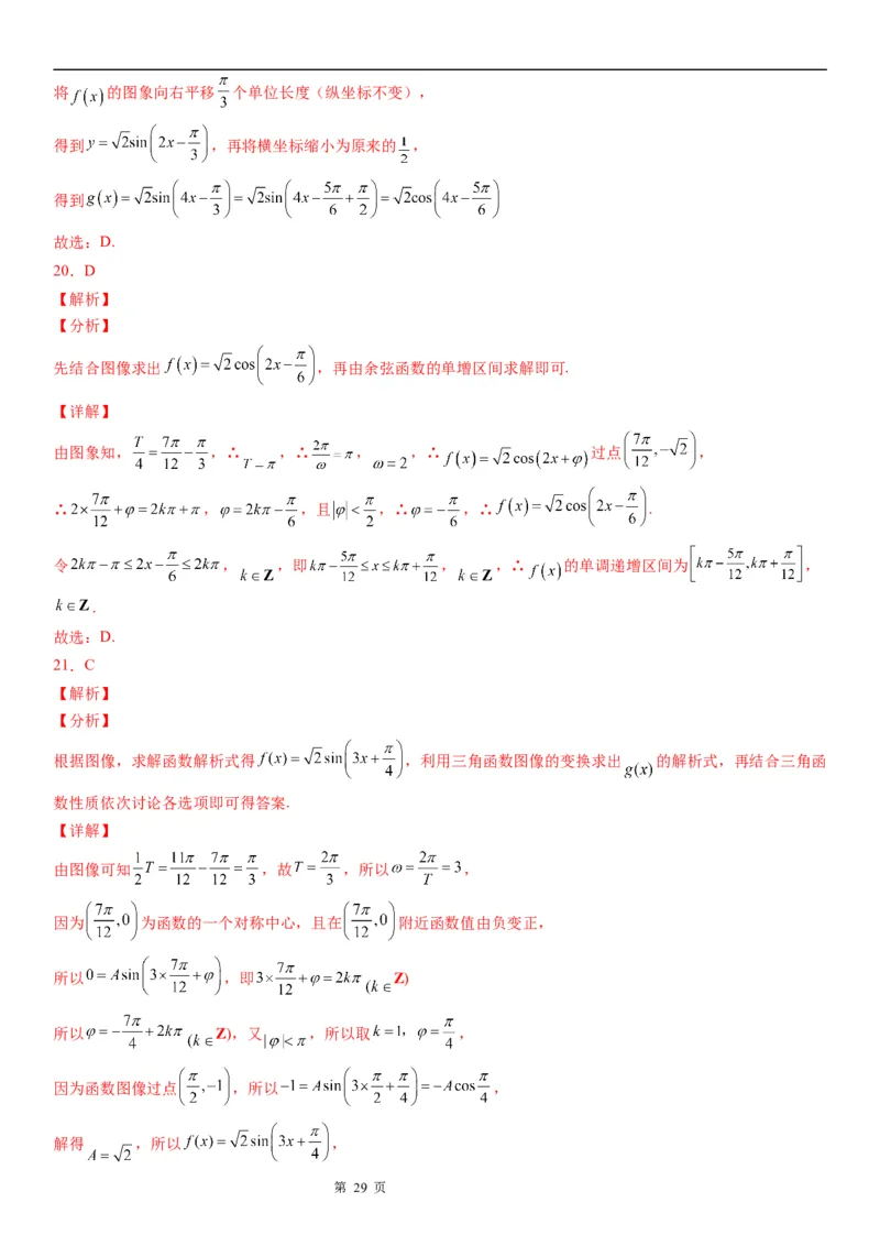
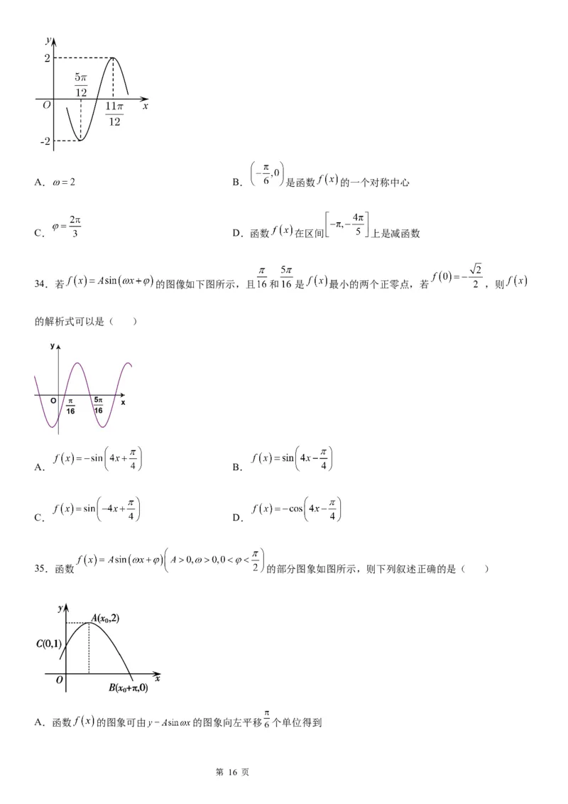
微专题:由图象确定 y=Asin(ωx+φ)的解析式 【考点梳理】 已知f(x)=Asin(ωx+φ)(A>0,ω>0)的部分图象求其解析式,常用如下两种方法:①升降零点法,由ω=,即 可求出ω. 求φ时,若能求出离原点最近的右侧图象上升(或下降)的“零点”横坐标x ,则令ωx +φ=0(或ωx +φ 0 0 0 =π),即可求出φ;②代入最值法,将最值点(最高点、最低点)坐标代入解析式,再结合图形解出ω和φ. 【典例分析】 典例1.已知函数 的部分图象如图所示,点 , ,则下列说法 中错误的是( ) A.直线 是图象的一条对称轴 B. 的图象可由 向左平移 个单位而得到 C.的最小正周期为 D.在区间 上单调递增 典例2.如图所示为函数 ( )的部分图像,其中 两点之间的距离为5,那 么 ( ) 第 1 页 学学科科网网((北北京京))股股份份有有限限公公司司A. B. C. D. 典例3.已知函数 (其中 , , )的部分图象如图所示;将函数 图象上 所有点的横坐标伸长到原来的6倍后,再向左平移 个单位,得到函数 的图象,则函数 的解析式为 ( ) A. B. C. D. 典例4.将 的图像上所有点向右平移1个单位长度后,得到函数 , 的图像,函数 的图像如图所示,则( ) 第 2 页 学学科科网网((北北京京))股股份份有有限限公公司司A. B. 的图像的对称轴方程为 C.不等式 的解集为 D. 在 上单调递增 典例5.已知函数 (其中 , , )的部分图象如图所示,则下列结论不正确的 是( ) A.函数 的图象关于点 对称 B. C.函数 的图象关于直线 对称 第 3 页 学学科科网网((北北京京))股股份份有有限限公公司司D.函数 在区间 上单调递增 【双基达标】 6.函数 的部分图像如图所示,若 , ,且 , 则 ( ) A.1 B. C. D. 7.已知函数 的部分图象如图所示,则下列结论正确的是( ) A. 的图象关于点 对称 B. 的图象向右平移 个单位后得到 的图象 C. 在区间 的最小值为 D. 为偶函数 第 4 页 学学科科网网((北北京京))股股份份有有限限公公司司8.已知函数 的部分图象如图所示,若先将函数 图象上所有点的横坐 标伸长到原来的4倍(纵坐标不变),得到函数 的图象;再把 图象上所有点向左平行移动 个单位长度, 得到函数 的图象,则当 时,函数 的值域为( ) A.[-2,0] B.[-1,0] C.[0,1] D.[0,2] 9.已知函数 (a,b, )的部分图象如图所示,则 ( ) A.1 B. C. D.2 10.已知函数 的部分图像如图所示,将 的图像向右平移 个单 位长度后,得到函数 的图像,则 在 上的值域为( ) 第 5 页 学学科科网网((北北京京))股股份份有有限限公公司司A. B. C. D. 11.函数 的部分图像如图所示,对任意实数 ,都有 ,下列说法中正确的是( ) ① 的最小正周期为 ; ② 的最小值为 ; ③ 的图像关于 对称; ④ 在 上单调递增. A.①③ B.②③ C.②④ D.③④ 12.已知函数 的部分函数图像如下图,则 ( ) A. B. C.1 D.0 13.已知函数 的图象如图所示,则 ( ) 第 6 页 学学科科网网((北北京京))股股份份有有限限公公司司A.0 B. C. D.A 14.已知函数 的部分图象如图所示.将函数 的图象向左平移 个单位得到 的图象,则( ) A. ) B. C. D. 15.已知函数 的部分图象如图所示,且 .将 图象上所 第 7 页 学学科科网网((北北京京))股股份份有有限限公公司司有点的横坐标缩小为原来的 ,再向上平移一个单位长度,得到 的图象.若 , , , 则 的最大值为( ) A. B. C. D. 【高分突破】 一、单选题 16.如图是函数 的图像的一部分,则要得到该函数的图像,只需要将函 数 的图像( ) A.向左平移 个单位长度 B.向右平移 个单位长度 C.向左平移 个单位长度 D.向右平移 个单位长度 17.函数 的部分图像如图所示,现将 的图像向左平移 个单位长度, 得到函数 的图像,则 的表达式可以为( ) 第 8 页 学学科科网网((北北京京))股股份份有有限限公公司司A. B. C. D. 18.已知函数 的部分图像如图,则 的解析式为( ) A. B. C. D. 19.已知函数 的部分图象如下图所示,先将 的图象向 右平移 个单位长度(纵坐标不变),再将横坐标缩小为原来的 (纵坐标不变),得到函数 的图象,则 ( ) 第 9 页 学学科科网网((北北京京))股股份份有有限限公公司司A. B. C. D. 20.已知函数 的部分图象如图所示,则 的单调递增区间为( ) A. , B. , C. , D. , 21.已知函数 ( , , )的部分图像如图所示,现将 的图像向右平移 个单位长度得到 的图像,则以下说法正确的是( ) 第 10 页 学学科科网网((北北京京))股股份份有有限限公公司司A.函数 的初相是 B.函数 的最大值是2 C.函数 在 上单调递增 D.函数 的图像是由函数 向右平移 个单位长度,横坐标扩大到原来的3倍得到的 22.函数 的部分图象如图所示,且 ,则图中m的值为( ) A.1 B. 或2 C.2 D. 23.已知函数 的部分图象如图所示,则下列说法错误的是( ) A. 的图象关于直线 对称 B. C.该图象可由 的图象向左平移 个单位得到 第 11 页 学学科科网网((北北京京))股股份份有有限限公公司司D. 在 上单调递减 24.已知函数 的部分图像如图所示,若 是第三象限角,且 ,则 ( ) A. B. C. D.-1 25.已知函数 的部分图像如图所示,则以下说法正确的是( ) A.函数 的初相是 B.函数 的最大值是2 C.函数 在 上单调递增 D.函数 的图像是由函数 的图像向右平移 个单位长度,横坐标扩大到原来的3倍得到的 第 12 页 学学科科网网((北北京京))股股份份有有限限公公司司26.已知函数 的部分图像如图所示,则( ) A.函数 的最小正周期是 B.函数 关于直线 对称 C.函数 在区间 上单调递增 D.函数 在区间 上的最大值是 27.已知函数 的部分图象如图所示,则下列说法正确的是( ) A.该图象对应的函数解析式为 B.函数 的图象关于直线 对称 C.函数 的图象关于点 对称 D.函数 在区间 上单调递减 28.已知 为正整数,且 ,函数 的图象如图所示,A,C,D是 的图象与 相 邻的三个交点, 与x轴交于相邻的两个点O、B,若在区间 上, 有2020个零点,则 的最大值为 第 13 页 学学科科网网((北北京京))股股份份有有限限公公司司( ) A. B. C. D. 29.函数 的部分图象如图所示,则下列结论成立的是( ) A.y=f(x)的递增区间为 ,k∈Z B. C. 成立的区间可以为 D.y=f(x)其中一条对称轴为 30.已知函数 ( , )的部分图象如图所示,则 的值为( ) A. B. C. D. 第 14 页 学学科科网网((北北京京))股股份份有有限限公公司司31.函数 的部分图象如图所示,则 图象的一个对称中心为( ) A. B. C. D. 32.已知函数 为奇函数,该函数的部分图像如图所示, 点 是 图像的最高点 是斜边边长为 的等腰直角三角形,则 ( ) A. B. C. D. 33.如图是函数 的部分图像,则下列说法错误的是( ) 第 15 页 学学科科网网((北北京京))股股份份有有限限公公司司A. B. 是函数 的一个对称中心 C. D.函数 在区间 上是减函数 34.若 的图像如下图所示,且 和 是 最小的两个正零点,若 ,则 的解析式可以是( ) A. B. C. D. 35.函数 的部分图象如图所示,则下列叙述正确的是( ) A.函数 的图象可由 的图象向左平移 个单位得到 第 16 页 学学科科网网((北北京京))股股份份有有限限公公司司B.函数 的图象关于直线 对称 C.函数 在区间 上单调递增 D.函数 图象的对称中心为 第 17 页 学学科科网网((北北京京))股股份份有有限限公公司司参考答案 1.B 【解析】 【分析】 根据五点作图法可得,然后利用正弦函数的性质,代入逐一进行检验即可. 【详解】 由函数 部分图象,点 , 故 ,由于点 在单调递 增的区间上, 或 (舍去), 再根据五点法作图可得 ,求得 ,故 . 对于A,令 ,求得 ,为最大值,故直线 是 图象的一条对称轴,故A正确; 对于B,把 向左平移 个单位,可得 的图象,故B错误; 对于C, 的最小正周期为 ,故C正确; 对于D, , ,故 单调递增,故D对. 故选:B 2.A 【解析】 【分析】 先根据最高最低点可得 ,再根据 两点之间的距离为5可得周期,进而求得 ,再代入 结合图 象分析可得 ,进而求得 【详解】 由图象可知, . 又 两点之间的距离为5, 两点的纵坐标的差为4,得函数的半个周期 ,∴ ,则 . ∴函数解析式为 . 由 ,得 ,∴ . 又 ,且由图可得 在最高点的右侧,故 . 则 . 第 18 页∴ 故选:A. 3.A 【解析】 【分析】 由图象求三角形的解析式,再由图象平移过程求 的解析式. 【详解】 由图知: 且 ,则 , 所以 ,故 ,则 , 由 ,则 , , 所以 , ,又 ,故 , 综上, , 所以 . 故选:A 4.D 【解析】 【分析】 根据图像先求出函数的解析式,再根据平移求出 的解析式,结合函数 的性质对选项进行判断 即可. 【详解】 由图知, ,函数 的图像的最小正周期 , 所以 ,所以 , 因为点 在 的图像上,所以 , 所以 ,因为 ,所以 , 所以 ,故选项A错误; 所以 第 19 页令 ,解得 , 所以 的图像的对称轴方程为 ,故选项 错误; 由 ,得 ,所以 , 即不等式 的解集为 ,所以选项 错误; 令 得 , 即 的单调递增区间为 , 因为 ,所以选项D正确. 故选:D. 5.C 【解析】 【分析】 根据图象结合五点法确定函数解析式,然后判断各选项,利用代入法进行验证可判断A,B,C,求出三角函数的 单调增区间可判断D. 【详解】 由图象可得:A=2,最小正周期为 ,所以 , 又 又 ,所以 ,所以 . 对于A, , 所以 是f(x)的一个对称中心,故A正确; 对于B, ,故B正确; 对于C, ,故C不正确; 对于D,令 , 解得: ,令 , 所以D正确. 第 20 页故选:C. 6.D 【解析】 【分析】 根据图象求出 ,由 得到 ,代入即可求解. 【详解】 解:根据函数 的部分图象,可得A=1; 因为 , , 结合五点法作图可得 , , . 因为 , ,且 , 所以,由函数对称性可知, , 所以 . 故选:D. 7.D 【解析】 【分析】 先由函数图象求出函数解析式,然后再逐个分析判断 【详解】 因为 的图象过点 , 所以 , 因为 ,所以 , 因为 的图象过点 , 所以由五点作图法可知 ,得 , 所以 , 对于A,因为 ,所以 为 的图象的一条对称轴,所以A错误, 对于B, 的图象向右平移 个单位后,得 ,所以B错误, 第 21 页对于C,当 时, ,所以 ,所以 在区间 的最小值为 , 所以C错误, 对于D, ,令 , 因为 ,所以 为偶函数, 所以D正确, 故选:D 8.D 【解析】 【分析】 由图可求出函数的周期 ,从而可求出 ,由图可得 ,然后将点 代入函数中可求出 的值, 进而可求得函数解析式,根据三角函数图象变换规律求出 ,再由 求出 ,再由余弦 函数的性质可求得 的值域. 【详解】 由题意得: ,∴ , , 当 时, , , ∴ ,令 可得: , 又易知 ,故 , 由三角函数图象的变换可得 , 所以 , ∵ ,∴ , ∴ ,故函数 的值域为 . 故选:D 9.B 【解析】 【分析】 整理 ,且 ,由图中最值可得 ,利用相邻对称轴的距离求得 , 第 22 页根据对称轴求得 ,进而可得 ,即 ,即可求解. 【详解】 由题, , , 由图可知, , ,所以 , , 又 ,所以 ,则 , 因为对称轴为 ,所以 , ,则 , 所以 ,即 , 所以 , 故选:B 10.A 【解析】 【分析】 根据图像可知 , , ,求出周期,从而可求出 ,再由图像过点 ,可求出 的值, 则可得 的解析式,再由三角函数图像变换规律可求得 的解析式,由 ,得 , 然后利用正弦函数的性质可求出其值域 【详解】 解:由图可得 , , ,则 因为 ,所以 . 由 ,可得 , , 即 , 因为 ,所以 , 故 , 所以将 的图像向右平移 个单位长度后,得 所以 . 因为 ,所以 , 所以 , 第 23 页所以 故 . 故选:A 11.B 【解析】 【分析】 由函数图像可求 , 利用周期公式可求 , 即可判断①;由题意可得 , , 可得 的最小值为 , 即可判断② ;进而可得点 为函数 图像的对称中心,即可判断③;由 , 且 , 得 , 由题意可求 , 利用正弦函数的单调性即可判断④ 【详解】 解:由图像可知, , ,则 , , ∴ ,故①错误; 又 ,则 , , ∴ 的最小值为 ,故②正确; 则点 为函数 图像的对称中心,③正确; 由 ,且 ,得 , ∴ ,当 时, , 显然 在 上不单调,故④错误, 故选:B. 12.C 【解析】 【分析】 利用图象可确定最小正周期 ,由此可得 ,结合 可得 ,由此可得 ;由 可知 其周期为 ,结合 可求得结果. 【详解】 由图象可得: ,解得: ; 第 24 页又 , ,解得: , , , ; , 的周期为 , 又 , . 故选:C 13.D 【解析】 【分析】 先由函数的图象求得其解析式,再求相应的函数值. 【详解】 解:由图象知: ,则 , 所以 ,则 , 因为函数图象过点 , 所以 , 则 , 因为 , 所以 , 则 , 所以 , 故选:D 14.D 【解析】 【分析】 由图象可知 ,由此可求得 ,得到 的解析式,根据三角函数图象的平移变换结合三角函数的诱导 公式,即可求得答案. 【详解】 第 25 页由图象知, , ∵ , ∴ , 又 ,∴ , ∴ , ∵将函数 的图象向左平移 个单位得到 的图象, ∴ , 故选:D. 15.C 【解析】 【分析】 根据函数图象求得 ,再根据图象变换可得 的解析式,结合 , , ,求得 的值,可得答案. 【详解】 设 的最小正周期为T,则由图可知 ,得 ,则 ,所以 , 又由题图可知 图象的一个对称中心为点 , 故 , ,故 , , 因为 ,所以 ,所以 . 又因为 , 故 , 所以 ; 将 图象上所有点的横坐标缩小为原来的 ,再向上平移一个单位长度, 得到 的图象; 第 26 页因为 ,所以 同时令 取得最大值3, 由 ,可得 , , 又 ,要求 的最大值,故令 ,得 ; 令 ,得 ,所以 的最大值为 , 故选:C. 16.A 【解析】 【分析】 先由图像求得 ,再由辅助角公式化简 ,最后由三角函数的平移变换即可求解. 【详解】 由题图知: ,又 , , 解得 ,又 , 将 向左平移 得 . 故选:A. 17.B 【解析】 【分析】 由 最大值、 和 ,结合五点作图法可求得 ;根据三角函数平移变换,结合诱导公式 可化简得到结果. 【详解】 由图像可知: , ; 又 , ,又 , , ,由五点作图法可知: ,解得: , ; . 第 27 页故选:B. 18.B 【解析】 【分析】 通过三角函数图像的翻折可得 的值,结合五点作图的思想可得 和 的值,进而可得结果. 【详解】 令 , 由图易得 ,所以 , ,得 , 当 时,由五点作图可得 , 解得 , ,不满足 ,故舍去, 所以 ,结合 得 , 此时应满足 ,结合 ,解得 , 故 的解析式为 , 故选:B. 19.D 【解析】 【分析】 根据两角和的正弦公式可得 ,再根据周期求解得 ,结合图形可得 ,代入最低点可 得可得 ,进而根据三角函数图象平移的方法求得 即可 【详解】 ,由图知周期 , 解得 ,又最小值为 ,所以 ,故 . 又 ,结合 ,可得 , 所以 . 第 28 页将 的图象向右平移 个单位长度(纵坐标不变), 得到 ,再将横坐标缩小为原来的 , 得到 故选:D. 20.D 【解析】 【分析】 先结合图像求出 ,再由余弦函数的单增区间求解即可. 【详解】 由图象知, ,∴ ,∴ , ,∴ 过点 , ∴ , ,且 ,∴ ,∴ . 令 , ,即 , ,∴ 的单调递增区间为 , . 故选:D. 21.C 【解析】 【分析】 根据图像,求解函数解析式得 ,利用三角函数图像的变换求出 的解析式,再结合三角函 数性质依次讨论各选项即可得答案. 【详解】 由图像可知 ,故 ,所以 , 因为 为函数的一个对称中心,且在 附近函数值由负变正, 所以 ,即 Z) 所以 Z),又 ,所以取 , 因为函数图像过点 ,所以 , 解得 ,所以 , 第 29 页所以 , 故函数 的初相位为 ,最大值为 ,故A、B错误; 当 时, , 由于函数 在 上单调递增, 所以函数 在 上单调递增,故C正确; 的图像向右平移 个单位长度,横坐标扩大到原来的3倍 得到 ,显然不满足,故D错误. 故选:C 22.D 【解析】 【分析】 由 ,可得 ,求出 ,再利用正弦函数的对称性可求得结果 【详解】 因为 ,所以 , 因为 ,所以 , 所以 , 由 ,得 , 所以 的对称轴方程为 , 所以由图象可得 ,得 , 故选:D 23.D 【解析】 【分析】 根据题中给定图象可得函数解析式,然后利用正弦函数的性质和图象变换对各个选项进行判断即可. 【详解】 A.由图可知, ,得 , ,将 代入可得 , 第 30 页,得 ,即 , 令 ,解得 的对称轴方程为 ,当 时, ,正确; B. ,正确; C. 的图象向左平移 个单位得到 ,正确; D.令 ,解得 ,由此可知,函数不是单调递减,错误; 故选:D 24.C 【解析】 【分析】 先根据函数的图像和已知条件求出 ,再解方程 即得解. 【详解】 解:由图像可得, 经过点 和 ,代入解析式可得 ,结合图像解得 , 又因为 , , ,所以 , 所以 . 因为 ,即 , 所以 , 或 , , 即 , 或 , . 因为 是第三象限角,所以 , ,所以 . 故选:C 25.C 【解析】 【分析】 第 31 页根据图像,求解函数解析式得 ,再结合三角函数性质依次讨论各选项即可得答案. 【详解】 解:由图像可知 ,故 , 因为 为函数的一个对称中心,且在 附近,函数值由负变正, 所以 ,即 所以 , 因为 ,所以 , 因为函数图像过点 , 所以 ,解得 , 所以 , 所以,函数的初相位为 ,最大值为 ,故AB选项错误; 当 时, ,由于函数 在 上单调递增,所以函数 在 上 单调递增,故C选项正确; 的图像向右平移 个单位长度,横坐标扩大到原来的3倍得到 ,显然不满足,故 错误; 故选:C 26.D 【解析】 【分析】 根据函数的部分图像得出周期求出 ,将 代入即可求出 的值,进而得出 的解析式,根据三角函数的 性质及对称轴对称中心对应的函数值的特征进行分析即可求解. 【详解】 由函数图像可知 ,所以 , 因为 ,所以 ,故A错误; 又函数过点 ,所以 ,所以 , 第 32 页解得 ,因为 ,所以 ,所以 , , 当 时, ,故 不是函数 的对称轴,故B错误; 当 时, ,因为 在 上不单调,故C错误; 当 时, ,所以 ,故D正确; 故选:D. 27.C 【解析】 【分析】 先依据图像求得函数 的解析式,结合正弦函数的性质判断各选项的对错. 【详解】 由图象可知 ,即 ,又 , 所以 , 又 ,可得 ,又因为 所以 , 所以 ,故A错误; 当 时, .故B错误; 当 时, ,故C正确; 当 时,则 ,函数 不单调递减.故D错误. 故选:C 28.B 【解析】 【分析】 根据图像的特征,可分别求出 , ,然后根据相邻零点间的关系以及函数图像的周期性即可确定 为1010个 和1011个 的和时,其值最大. 【详解】 第 33 页设 的周期为 ,由图可知: ,且 又 , 有图知 或 ; 因为 ,故 ,则 令 或 所以相邻两个零点的距离为 或 ,则当 为1010个 和1011个 的和时,其值最大为 故选:B 29.C 【解析】 【分析】 根据函数图象,应用五点法求得 ,结合余弦型函数的性质求单调区间、解不等式判断A、B、 C,代入法判断对称轴. 【详解】 由题设, ,则 ,故 , 若 ,则 , 由 ,则 , , 由 , 满足要求,不妨设 , 所以 ; 若 ,则 , 由 ,则 , , 由 , 满足要求,不妨设 ,则 . 综上, ,B错误; 令 , ,可得 , , 所以 递增区间为 , ,A错误; ,则 , , 第 34 页所以 , ,当 有 ,C正确; ,故 不是对称轴,D错误. 故选:C 30.C 【解析】 【分析】 利用给定图象求出 ,进而求出 即得函数 解析式,再代入求解作答. 【详解】 由 , ,得 , 由 ,又 ,得 , 观察图象知, ,解得 ,则 , 因此, ,所以 . 故选:C 31.C 【解析】 【分析】 根据图象求出函数解析式,再由正弦型函数的对称中心求解即可. 【详解】 由图可知 ,则 ,所以 . 由 ,得 ,所以 . 令 ,得 , 当 时, ,即 图象的一个对称中心为 . 故选:C 32.D 【解析】 【分析】 由题知, , ,进而得 ,再根据奇函数性质得 , ,再计算函数 值即可. 第 35 页【详解】 解:因为 点 是图像的最高点 是斜边边长为 的等腰直角三角形, 所以 , ,即 , 所以 ,即 , 因为 为奇函数, 所以 ,即 , 所以 . 故选:D 33.B 【解析】 【分析】 由函数图像可知 值和 的值,再将点点 代入 即可求得函数解析式, 直接利用正弦函数的性质即可求出对称中心和单调区间. 【详解】 由函数图像可知 ,即 ,所以 , 则选项 正确; 由函数图像可知 ,所以 , 将点 代入 得, ,即 , 解得 , ∵ , ∴ ,即 ,∴ ,则选项 正确; 由 ,解得 ,由此可知 不是函数 的一个对称中心,则选项 不正确; 由 ,解得 , 当 时,函数 的一个单调递减区间为 , ,则函数 在区间 上是减函数, 则选项 正确; 故选: . 第 36 页34.B 【解析】 【分析】 结合 的图像分别求解 的值. 【详解】 由题意, ,得 , 所以 ,由图可知, 在 取得最大值, 所以 ,得 , 又 和 是 最小的两个正零点,故 ,所以 , 又 , 所以 的解析式为 . 故选:B 35.C 【解析】 【分析】 利用图象求出函数 的解析式,利用三角函数图象变换可判断A选项;利用正弦型函数的对称性可判断BD选 项;利用正弦型函数的对称性可判断C选项. 【详解】 由图象可知 , ,可得 ,因为 ,则 , 由图可知函数 的最小正周期为 , ,所以, . 对于A选项,因为 , 所以,函数 的图象可由 的图象向左平移 个单位得到,A错; 对于B选项,因为 , 所以,函数 的图象不关于直线 对称,B错; 对于C选项,当 时,则 , 所以,函数 在区间 上单调递增,C对; 第 37 页对于D选项,令 ,则 ,D错. 故选:C. 第 38 页第 39 页