当前位置:首页>文档>押北京卷第3题平面向量(解析版)_2.2025数学总复习_2024年新高考资料_5.2024三轮冲刺_备战2024年高考数学临考题号押题(北京专用)322768321

押北京卷第3题平面向量(解析版)_2.2025数学总复习_2024年新高考资料_5.2024三轮冲刺_备战2024年高考数学临考题号押题(北京专用)322768321

  • 2026-03-24 22:09:38 2026-03-21 00:19:35

文档预览

押北京卷第3题平面向量(解析版)_2.2025数学总复习_2024年新高考资料_5.2024三轮冲刺_备战2024年高考数学临考题号押题(北京专用)322768321
押北京卷第3题平面向量(解析版)_2.2025数学总复习_2024年新高考资料_5.2024三轮冲刺_备战2024年高考数学临考题号押题(北京专用)322768321
押北京卷第3题平面向量(解析版)_2.2025数学总复习_2024年新高考资料_5.2024三轮冲刺_备战2024年高考数学临考题号押题(北京专用)322768321
押北京卷第3题平面向量(解析版)_2.2025数学总复习_2024年新高考资料_5.2024三轮冲刺_备战2024年高考数学临考题号押题(北京专用)322768321
押北京卷第3题平面向量(解析版)_2.2025数学总复习_2024年新高考资料_5.2024三轮冲刺_备战2024年高考数学临考题号押题(北京专用)322768321
押北京卷第3题平面向量(解析版)_2.2025数学总复习_2024年新高考资料_5.2024三轮冲刺_备战2024年高考数学临考题号押题(北京专用)322768321
押北京卷第3题平面向量(解析版)_2.2025数学总复习_2024年新高考资料_5.2024三轮冲刺_备战2024年高考数学临考题号押题(北京专用)322768321
押北京卷第3题平面向量(解析版)_2.2025数学总复习_2024年新高考资料_5.2024三轮冲刺_备战2024年高考数学临考题号押题(北京专用)322768321
押北京卷第3题平面向量(解析版)_2.2025数学总复习_2024年新高考资料_5.2024三轮冲刺_备战2024年高考数学临考题号押题(北京专用)322768321

文档信息

文档格式
docx
文档大小
0.464 MB
文档页数
9 页
上传时间
2026-03-21 00:19:35

文档内容

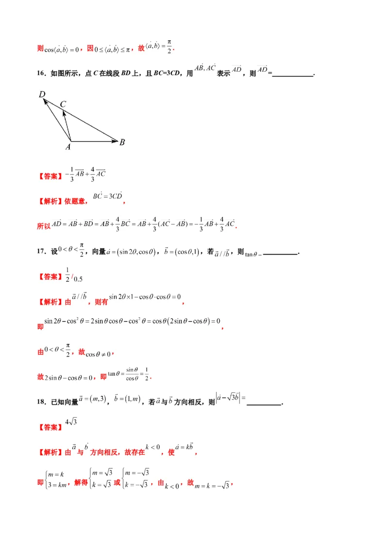
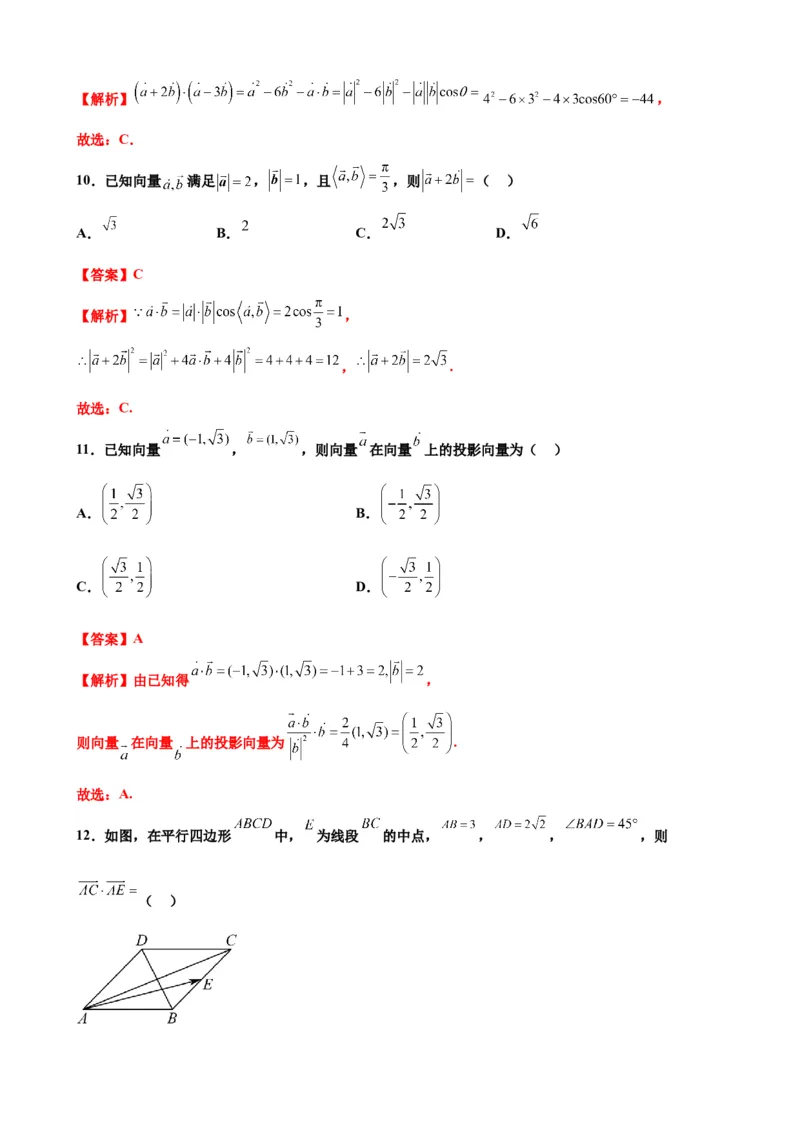
押北京卷 3 题 平面向量 核心考点 考情统计 考向预测 备考策略 垂直与平行 2019·北京卷13 纵观近几年的新高考试题, 高考中平面向量均是以小题的形式进行 分别考查了平面向量的基本 考查,难度较易或一般,可以预测2024 向量的模 2023·北京卷3 定理,平面向量的坐标运 年新高考命题方向将继续围绕平面向量 算,平面向量数量积与模的 数量积运算、坐标运算等展开命题. 运算. 数量积 2022·北京卷10 1.(2023·北京卷T3)已知向量 满足 ,则 ( ) A. B. C.0 D.1 【答案】B 【解析】向量 满足 , 所以 .故选B 2.(2022·北京卷T10)在 中, .P为 所在平面内的动点,且 , 则 的取值范围是( ) A. B. C. D. 【答案】D 【解析】依题意如图建立平面直角坐标系,则 , , ,因为 ,所以 在以 为圆心, 为半径的圆上运动, 设 , , 所以 , , 所以 ,其中 , , 因为 ,所以 ,即 ; 故选:D 3.(2019·北京卷T13)已知向量 =(-4,3), =(6,m),且 ,则m= . 【答案】8. 【解析】向量 则 . 1.计算平面向量的数量积主要方法: (1)利用定义:a·b=|a||b|cos〈a,b〉. (2)利用坐标运算,若a=(x,y),b=(x,y),则a·b=xx+yy. 1 1 2 2 1 2 1 2 (3)活用平面向量数量积的几何意义.2.解决涉及几何图形的向量的数量积运算问题时,可先利用向量的加、减运算或数量积 3.向量的夹角 ⃗a⋅ ⃗b x x +y y cosθ= = 1 2 1 2 |⃗a|⋅| ⃗b| √x2 +y2 ⋅ √x2 +y2 1 1 2 2 4.向量的投影 ⃗a⋅ ⃗b ⃗a⋅ ⃗b ⃗a在 ⃗b上的投影为|⃗a|⋅cosθ=|⃗a|⋅ = |⃗a|⋅| ⃗b| | ⃗b| ⃗a⋅ ⃗b ⃗a⋅ ⃗b ⃗b在⃗a上的投影为| ⃗b|⋅cosθ=| ⃗b|⋅ = |⃗a|⋅| ⃗b| |⃗a| 5.向量的平行关系 ⃗a//⃗b⇔⃗a=λ⃗b⇔x y =x y 1 2 2 1 6.向量的垂直关系 ⃗a⊥ ⃗b⇔⃗a⋅ ⃗b=0⇔x x +y y =0 1 2 1 2 7.求解平面向量模的方法 (1)利用公式|a|=.(2)利用|a|=. 1.已知 ,且 ,则 ( ) A. B. C.1 D.2 【答案】D 【解析】由 ,得 ,即 ,所以 ,故选D. 2.已知平面向量 , ,若向量 与 共线,则 ( ) A.-2 B. C.2 D.5 【答案】B 【解析】因为向量 与 共线,所以 ,解得 .故选B. 3.已知 与 的夹角为 ,则 ( ) A.2 B.8 C. D.【答案】B 【解析】由 与 的夹角为 ,可知 , 则 .故选B. 4.向量 与 的夹角为( ) A. B. C. D. 【答案】B 【解析】由题意知, , , 所以 ,又 , 所以 ,即 与 的夹角为 . 故选:B 5.已知向量 ,若 ,则 的值为( ) A. B. C.2 D.4 【答案】D 【解析】因为 ,所以 ,则 ,解出 . 故选:D. 6.已知向量 ,则向量 与向量 的夹角为( ) A. B. C. D. 【答案】C 【解析】由于向量 , ,故 ,则向量 与向量 的夹角为 , 故选:C 7.已知向量 , ,且 ,则 ( ) A. 或 B.2或-1 C. D. 【答案】A 【解析】由已知 , 因为 , 所以 , 解得 或 , 当 时, , 当 时, . 故选:A. 8.在 中,满足 , , ,则 ( ) A.49 B.0 C.576 D.168 【答案】A 【解析】因为 ,所以 , 因为 和 的夹角等于 , 所以 , 故选:A. 9.已知 与 的夹角为 ,则 ( ) A. B. C. D. 【答案】C【解析】 , 故选:C. 10.已知向量 满足 , ,且 ,则 ( ) A. B. C. D. 【答案】C 【解析】 , , . 故选:C. 11.已知向量 , ,则向量 在向量 上的投影向量为( ) A. B. C. D. 【答案】A 【解析】由已知得 , 则向量 在向量 上的投影向量为 . 故选:A. 12.如图,在平行四边形 中, 为线段 的中点, , , ,则 ( )A.20 B.22 C.24 D.25 【答案】B 【解析】由题意可得 , , 所以 因为 , , ,所以 , 所以 . 故选:B 13.若向量 分别表示复数 ,则 = . 【答案】 【解析】因为 ,又向量 分别表示复数 , 所以 表示复数 , 所以 . 14.已知单位向量 , 的夹角为 ,则 . 【答案】 【解析】依题意: , 所以 , 15.设 是单位向量,若 ,则 与 的夹角为 . 【答案】 【解析】因 ,由 ,则 ,因 ,故 . 16.如图所示,点C在线段BD上,且BC=3CD,用 表示 ,则 = . 【答案】 【解析】依题意, , 所以 . 17.设 ,向量 , ,若 ,则 . 【答案】 / 【解析】由 ,则有 , 即 , 由 ,故 , 故 ,即 . 18.已知向量 , ,若 与 方向相反,则 . 【答案】 【解析】由 与 方向相反,故存在 ,使 , 即 ,解得 或 ,由 ,故 ,故 , ,则 , . 19.已知正方形 的边长为2,点 满足 ,则 = . 【答案】6 【解析】在正方形 中, ,且向量 的夹角为 , 则有 , . 20.已知向量 ,向量 ,则 的最小值是 . 【答案】 / 【解析】因为向量 ,向量 , 所以 , , 所以 ,当且仅当 与 同向时,等号成立.