当前位置:首页>文档>第18节等差数列及前n项和(解析版)_2.2025数学总复习_赠品通用版(老高考)复习资料_一轮复习_备战2023年高考数学一轮复习考点帮(全国通用)

第18节等差数列及前n项和(解析版)_2.2025数学总复习_赠品通用版(老高考)复习资料_一轮复习_备战2023年高考数学一轮复习考点帮(全国通用)

  • 2026-04-03 21:50:06 2026-03-25 06:40:56

文档预览

第18节等差数列及前n项和(解析版)_2.2025数学总复习_赠品通用版(老高考)复习资料_一轮复习_备战2023年高考数学一轮复习考点帮(全国通用)
第18节等差数列及前n项和(解析版)_2.2025数学总复习_赠品通用版(老高考)复习资料_一轮复习_备战2023年高考数学一轮复习考点帮(全国通用)
第18节等差数列及前n项和(解析版)_2.2025数学总复习_赠品通用版(老高考)复习资料_一轮复习_备战2023年高考数学一轮复习考点帮(全国通用)
第18节等差数列及前n项和(解析版)_2.2025数学总复习_赠品通用版(老高考)复习资料_一轮复习_备战2023年高考数学一轮复习考点帮(全国通用)
第18节等差数列及前n项和(解析版)_2.2025数学总复习_赠品通用版(老高考)复习资料_一轮复习_备战2023年高考数学一轮复习考点帮(全国通用)
第18节等差数列及前n项和(解析版)_2.2025数学总复习_赠品通用版(老高考)复习资料_一轮复习_备战2023年高考数学一轮复习考点帮(全国通用)
第18节等差数列及前n项和(解析版)_2.2025数学总复习_赠品通用版(老高考)复习资料_一轮复习_备战2023年高考数学一轮复习考点帮(全国通用)
第18节等差数列及前n项和(解析版)_2.2025数学总复习_赠品通用版(老高考)复习资料_一轮复习_备战2023年高考数学一轮复习考点帮(全国通用)
第18节等差数列及前n项和(解析版)_2.2025数学总复习_赠品通用版(老高考)复习资料_一轮复习_备战2023年高考数学一轮复习考点帮(全国通用)
第18节等差数列及前n项和(解析版)_2.2025数学总复习_赠品通用版(老高考)复习资料_一轮复习_备战2023年高考数学一轮复习考点帮(全国通用)
第18节等差数列及前n项和(解析版)_2.2025数学总复习_赠品通用版(老高考)复习资料_一轮复习_备战2023年高考数学一轮复习考点帮(全国通用)
第18节等差数列及前n项和(解析版)_2.2025数学总复习_赠品通用版(老高考)复习资料_一轮复习_备战2023年高考数学一轮复习考点帮(全国通用)
第18节等差数列及前n项和(解析版)_2.2025数学总复习_赠品通用版(老高考)复习资料_一轮复习_备战2023年高考数学一轮复习考点帮(全国通用)
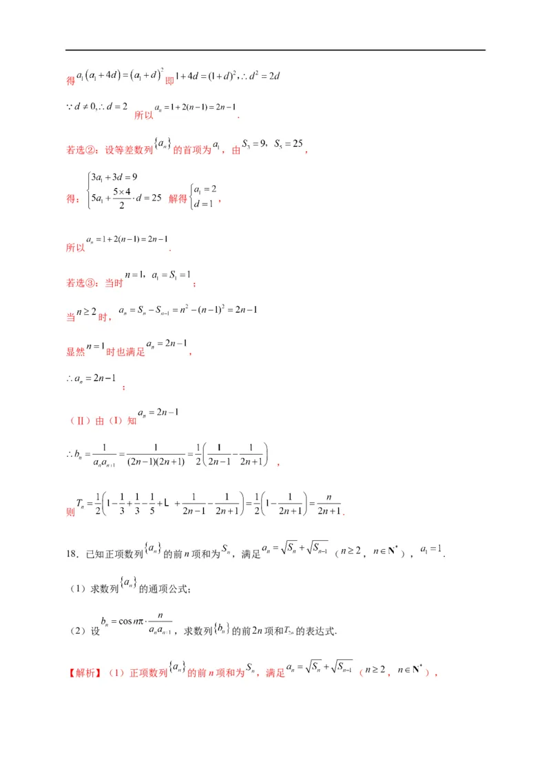
第18节等差数列及前n项和(解析版)_2.2025数学总复习_赠品通用版(老高考)复习资料_一轮复习_备战2023年高考数学一轮复习考点帮(全国通用)
第18节等差数列及前n项和(解析版)_2.2025数学总复习_赠品通用版(老高考)复习资料_一轮复习_备战2023年高考数学一轮复习考点帮(全国通用)
第18节等差数列及前n项和(解析版)_2.2025数学总复习_赠品通用版(老高考)复习资料_一轮复习_备战2023年高考数学一轮复习考点帮(全国通用)
第18节等差数列及前n项和(解析版)_2.2025数学总复习_赠品通用版(老高考)复习资料_一轮复习_备战2023年高考数学一轮复习考点帮(全国通用)
第18节等差数列及前n项和(解析版)_2.2025数学总复习_赠品通用版(老高考)复习资料_一轮复习_备战2023年高考数学一轮复习考点帮(全国通用)
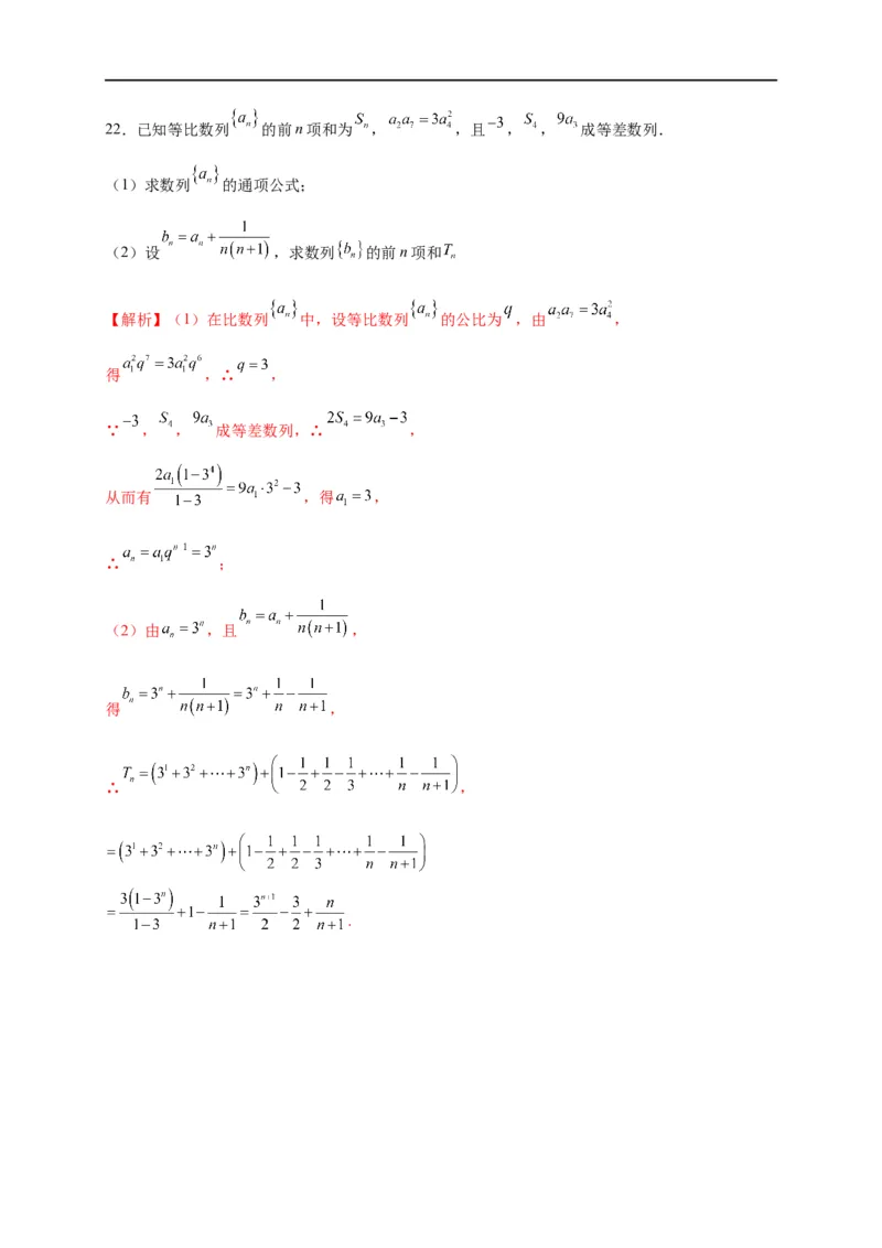
第18节等差数列及前n项和(解析版)_2.2025数学总复习_赠品通用版(老高考)复习资料_一轮复习_备战2023年高考数学一轮复习考点帮(全国通用)
第18节等差数列及前n项和(解析版)_2.2025数学总复习_赠品通用版(老高考)复习资料_一轮复习_备战2023年高考数学一轮复习考点帮(全国通用)
第18节等差数列及前n项和(解析版)_2.2025数学总复习_赠品通用版(老高考)复习资料_一轮复习_备战2023年高考数学一轮复习考点帮(全国通用)

文档信息

文档格式
docx
文档大小
0.826 MB
文档页数
21 页
上传时间
2026-03-25 06:40:56

文档内容

第 18 节 等差数列及前 n 项和 基础知识要夯实 1. 等差数列的定义 如果一个数列 从第 2 项起,每一项与它的前一项的差是同一个常数 ,我们称这样的数列为等差 数列,这个常数叫作等差数列的公差,通常用字母__d__表示. 2. 等差数列的通项公式 如果等差数列{a}的首项为a,公差为d,那么它的通项公式是a = a + ( n - 1 ) d. n 1 n 1 3. 等差中项 如果A= ,那么A叫作a与b的等差中项. 4. 等差数列的常用性质 (1)通项公式的推广:a=a + ( n - m ) d ,(n,m∈N ). n m + (2)若{a}为等差数列,且k+l=m+n,(k,l,m,n∈N ),则a + a = a + a. n + k l m n (3)若{a}是等差数列,公差为d,则{a }也是等差数列,公差为 2 d . n 2n (4)若{a},{b}是等差数列,则{pa+qb}也是等差数列. n n n n (5)若{a}是等差数列,公差为d,则a,a ,a ,…(k,m∈N )是公差为md 的等差数列. n k k+m k+2m + 5. 等差数列的前n项和公式 设等差数列{a}的公差为d,其前n项和S= 或S=na+ d. n n n 1 6. 等差数列的前n项和公式与函数的关系 S= n2+ n. n 数列{a}是等差数列⇔S=An2+Bn(A、B为常数). n n 7. 等差数列的前n项和的最值 在等差数列{a}中,a>0,d<0,则S 存在最__大__值;若a<0,d>0,则S 存在最__小__值. n 1 n 1 n 难点正本 疑点清源 1.等差数列的判断方法 (1)定义法:a-a =d (n≥2); n n-1 (2)等差中项法:2a =a+a . n+1 n n+2 2.等差数列与等差数列各项和的有关性质 (1)a ,a ,a ,a ,…仍是等差数列,公差为kd. m m+k m+2k m+3k (2)数列S ,S -S ,S -S ,…也是等差数列. m 2m m 3m 2m (3)S =(2n-1)a. 2n-1 n (4)若n为偶数,则S -S = d. 偶 奇若n为奇数,则S -S =a (中间项). 奇 偶 中 3.等差数列与函数 在d≠0时,a 是关于n的一次函数,一次项系数为d;S 是关于n的二次函数,二次项系数为, n n 且常数项为0. 典型例题剖析 考点一等差数列基本量的运算 [题组练透] 1.(2018·全国卷Ⅰ)记S 为等差数列{a}的前n项和,若3S=S+S,a=2,则a=( ) n n 3 2 4 1 5 A.-12 B.-10 C.10 D.12 【答案】B 【解析】设等差数列{a}的公差为d,由3S =S +S ,得3(3a +3d)=2a +d+4a +6d,即3a +2d n 3 2 4 1 1 1 1 =0.将a=2代入上式,解得d=-3,故a=a+(5-1)d=2+4×(-3)=-10. 1 5 1 2.(2017·全国卷Ⅰ)记S 为等差数列{a}的前n项和.若a+a=24,S=48,则{a}的公差为( ) n n 4 5 6 n A.1 B.2 C.4 D.8 【答案】C 【解析】设等差数列{a}的公差为d,则由 得 n 即 解得d=4. 3.(2022·西安质检)已知等差数列{a}的前n项和为S,且a·a=12,a=0.若a>0,则S =( ) n n 3 5 2 1 20 A.420 B.340 C.-420 D.-340 【答案】D 【解析】设数列{a}的公差为d,则a =a +d=d,a =a +3d=3d,由a·a =12,得d=±2,由a n 3 2 5 2 3 5 1 >0,a=0,可知d<0,所以d=-2,所以a=2,故S =20×2+ ×(-2)=-340. 2 1 20 4.(2022·西安八校联考)设数列{a}是等差数列,且a =-6,a =6,S 是数列{a}的前n项和,则( n 2 6 n n ) A.S<S B.S=S 4 3 4 3 C.S>S D.S=S 4 1 4 1 【答案】B【解析】设{a}的公差为d,由a =-6,a =6,得 解得 于是,S =-9,S n 2 6 1 3 =3×(-9)+ ×3=-18,S=4×(-9)+ ×3=-18,所以S=S,S<S, 4 4 3 4 1 故选B. 【方法技巧】 等差数列基本运算的常见类型及解题策略 (1)求公差d或项数n.在求解时,一般要运用方程思想. (2)求通项.a 和d是等差数列的两个基本元素. 1 (3)求特定项.利用等差数列的通项公式或等差数列的性质求解. (4)求前n项和.利用等差数列的前n项和公式直接求解或利用等差中项间接求解. [提醒] 在求解数列基本量问题中主要使用的是方程思想,要注意使用公式时的准确性与合理性, 更要注意运算的准确性.在遇到一些较复杂的方程组时,要注意运用整体代换思想,使运算更加便 捷. 考点二 等差数列的判定与证明 【例1】若数列{a}的前n项和为S,且满足a+2SS =0(n≥2),a= . n n n n n-1 1 (1)求证: 成等差数列; (2)求数列{a}的通项公式. n 【解析】(1)证明:当n≥2时,由a+2SS =0, n n n-1 得S-S =-2SS ,因为S≠0,所以 - =2,又 = =2, n n-1 n n-1 n 故 是首项为2,公差为2的等差数列. (2)由(1)可得 =2n,所以S= .当n≥2时, n a=S-S = - = 当n=1时,a= 不适合上式. n n n-1 1 故a= n 【跟踪训练】1.(变设问)本例条件不变,判断数列{a}是否为等差数列,并说明理由. n 【解析】因为a=S-S (n≥2),a+2SS =0, n n n-1 n n n-1 所以S-S +2SS =0(n≥2). n n-1 n n-1 所以 - =2(n≥2). 又 = =2, 所以 是以2为首项,2为公差的等差数列. 所以 =2+(n-1)×2=2n,故S= . n 所以当n≥2时,a=S-S = - = , n n n-1 所以a = .又a -a = - = = n+1 n+1 n , 所以当n≥2时,a -a 的值不是一个与n无关的常数,故数列{a}不是一个等差数列. n+1 n n 2.(变条件)将本例条件“a +2SS =0(n≥2),a = ”变为“S(S -a)+2a =0(n≥2),a =2”, n n n-1 1 n n n n 1 问题不变,试求解. 【解析】(1)证明:当n≥2时,a=S-S 且S(S-a)+2a=0, n n n-1 n n n n 所以S[S-(S-S )]+2(S-S )=0, n n n n-1 n n-1 即SS +2(S-S )=0, n n-1 n n-1 因为S≠0,所以S-S = . n n n-1 又 = = ,故数列 是以首项为 ,公差为 的等差数列. (2)由(1)知 = ,所以S= , n 当n≥2时,a=S-S =- . n n n-1当n=1时,a=2不适合上式,故a= 1 n [解题技法] 等差数列的判定与证明方法 方法 解读 适合题型 对于数列{a},a-a (n≥2,n∈N*)为同一常数 n n n-1 定义法 ⇔{a}是等差数列 n 解答题中的证明问题 等差中 2a n-1 =a n +a n-2 (n≥3,n∈N*)成立⇔{a n }是等差数 项法 列 通项公 a=pn+q(p,q为常数)对任意的正整数n都成立 n 式法 ⇔{a}是等差数列 n 选择、填空题中的判定 前n项 验证S=An2+Bn(A,B为常数)对任意的正整数 问题 n 和公式 n都成立⇔{a}是等差数列 n 法 【提醒】如果要证明一个数列是等差数列,则必须用定义法或等差中项法.判断时易忽视定义中从 第2项起,以后每项与前一项的差是同一常数,即易忽视验证a-a=d这一关键条件. 2 1 [过关训练] 1.已知数列{a}满足:a =2,a =3a +3n+1-2n,设b = ,求证:数列{b}为等差数列, n 1 n+1 n n n 并求{a}的通项公式. n 【证明】因为b -b= = , n+1 n 所以{b}为等差数列, n 又b= =0,所以b=n-1, 1 n 所以a=(n-1)·3n+2n. n 2.已知数列{a}满足(a -1)(a-1)=3(a-a ),a=2,令b= . n n+1 n n n+1 1 n (1)求证:数列{b}是等差数列; n (2)求数列{a}的通项公式. n 【解析】(1)证明:因为 , 所以b -b= , n+1 n所以数列{b}是等差数列. n (2)由(1)及b= = =1, 1 知b= n+ , n 所以a-1= ,所以a= . n n 考点三等差数列的性质与应用[师生共研过关] 【例2】 (1)(2022·咸阳二模)等差数列{a}的前n项和为S ,若a ,a 是方程x2-8x+1=0的两根, n n 4 10 则S =( ) 13 A.58 B.54 C.56 D.52 (2)已知等差数列{a}的前10项和为30,它的前30项和为210,则前20项和为( ) n A.100 B.120 C.390 D.540 (3)已知S 是等差数列{a}的前n项和,若a=-2 014, ,则S =________. n n 1 2 019 【答案】(1)D (2)A (3)8 076 【解析】(1)∵a,a 是方程x2-8x+1=0的两根, 4 10 ∴a+a =8,∴a+a =8, 4 10 1 13 ∴S = = =52. 13 (2)设S 为等差数列{a}的前n项和, n n 则S ,S -S ,S -S 成等差数列, 10 20 10 30 20 ∴2(S -S )=S +(S -S ), 20 10 10 30 20 又等差数列{a}的前10项和为30,前30项和为210, n ∴2(S -30)=30+(210-S ),解得S =100. 20 20 20 (3)由等差数列的性质可得 也为等差数列. 设其公差为d,则 =6d=6,∴d=1. 故 +2 018d=-2 014+2 018=4, ∴S =4×2 019=8 076. 2 019 [解题技法]一般地,运用等差数列性质可以优化解题过程,但要注意性质运用的条件,如m+n=p+q,则a m +a =a +a(m,n,p,q∈N*);数列S ,S -S ,S -S 也成等差数列; 也成等差数列. n p q m 2m m 3m 2m 等差数列的性质是解题的重要工具. 【跟踪训练】 1.(2022·聊城模拟)设等差数列{a}的前n项和为S ,若S =104,a =5,则数列{a}的公差为( n n 13 6 n ) A.2 B.3 C.4 D.5 【答案】B 【解析】设等差数列{a}的公差为d.因为S =104, n 13 所以 =104,所以13a=104,解得a=8. 7 7 因为a=5,所以d=a-a=8-5=3. 6 7 6 2.(2022·宁德二检)已知等差数列{a}满足a+a=14,aa=33,则aa=( ) n 3 5 2 6 1 7 A.33 B.16 C.13 D.12 【答案】C 【解析】设等差数列{a}的公差为d, n 因为a+a=14,所以a+a=14, 3 5 2 6 又aa=33,所以 或 2 6 当 时,d= =2, 所以aa=(a-d)(a+d)=13; 1 7 2 6 当 时,d= =-2, 所以aa=(a-d)(a+d)=13. 1 7 2 6 综上,aa=13,故选C. 1 7 3.已知等差数列{a},{b}的前n项和分别为S,T,若 ,则 =________. n n n n 【答案】 【解析】由等差数列前n项和的性质,得 = . 考点四 等差数列前n项和的最值问题[师生共研过关] 【例3】在等差数列{a}中,已知a=13,3a=11a,则数列{a}的前n项和S 的最大值为________. n 1 2 6 n n 【答案】49 【解析】法一 通项法 设等差数列{a}的公差为d. n 由3a=11a,得3×(13+d)=11×(13+5d),解得d=-2,所以a=13+(n-1)×(-2)=-2n+15. 2 6 n 由 得 解得 ≤n≤ . 因为n∈N*, 所以当n=7时,数列{a}的前n项和S 最大,最大值为S= =49. n n 7 法二 二次函数法 设等差数列{a}的公差为d. n 由3a=11a,得3×(13+d)=11×(13+5d),解得d=-2,所以a=13+(n-1)×(-2)=-2n+15. 2 6 n 所以S= =-n2+14n=-(n-7)2+49, n 所以当n=7时,数列{a}的前n项和S 最大,最大值为S=49. n n 7 [解题技法] 求数列前n项和的最值的方法 (1)通项法:①若a >0,d<0,则S 必有最大值,其n的值可用不等式组 来确定;②若 1 n a<0,d>0,则S 必有最小值,其n的值可用不等式组 来确定. 1 n (2)二次函数法:等差数列{a}中,由于S =na + d= n2+ n,可用求函数最值 n n 1 的方法来求前n项和的最值,这里应由n∈N*及二次函数图象的对称性来确定n的值. (3)不等式组法:借助S 最大时,有 (n≥2,n∈N*),解此不等式组确定n的范围,进而 n 确定n的值和对应S 的值(即S 的最值). n n [过关训练] 1.已知等差数列{a}的前n项和是S,若S >0,S <0,则S 的最大值是( ) n n 15 16 nA.S B.S 1 7 C.S D.S 8 15 【答案】C 【解析】由等差数列的前n项和公式可得S =15a >0,S =8(a +a)<0,所以a >0,a <0,则 15 8 16 8 9 8 9 d=a-a<0, 9 8 所以在数列{a}中,当n<9时,a>0,当n≥9时,a<0, n n n 所以当n=8时,S 最大,故选C. n 2.(2018·全国卷Ⅱ)记S 为等差数列{a}的前n项和,已知a=-7,S=-15. n n 1 3 (1)求{a}的通项公式; n (2)求S,并求S 的最小值. n n 【解析】(1)设{a}的公差为d, n 由题意得3a+3d=-15. 1 又a=-7,所以d=2. 1 所以{a}的通项公式为a=2n-9. n n (2)由(1)得S= =n2-8n=(n-4)2-16, n 所以当n=4时,S 取得最小值,最小值为-16. n 达标检测要扎实 一、单选题 1.已知数列 中, , ,若 ,则 ( ) A.8 B.9 C.10 D.11 【答案】C 【解析】 ,所以 为以 为首项公差 的等差数列, 所以 ,所以 , 由 ,所以 ,故选:C.2.已知等差数列 的公差 为正数,等比数列 的公比为 ,若 ,则 ( ) A. B. C. D. 【答案】B 【解析】由 ,得 ,因为 , 所以 , 解得 .故选:B. 3.在等差数列 中,若 ,则 ( ) A. B. C. D. 【答案】C 【解析】在等数列 中, , 所以 ,解得 ,所以 ,故选:C 4.天干地支纪年法源于中国,中国自古便有十天干与十二地支,十天干即甲、乙、丙、丁、戊、 己、庚、辛、壬、癸;十二地支即子、丑、寅、卯、辰、已、午、未、申、酉、戌、亥.天干地支 纪年法是按顺序以一个天干和一个地支相配,排列起来,天干在前,地支在后,天干由“甲”起, 地支由“子”起,例如,第一年为“甲子”,第二年为“乙丑”,第三年为“丙寅” ,以此类 推,排列到“癸酉”后,天干回到“甲”重新开始,即“甲戌”,“乙亥”,然后地支回到“子” 重新开始,即“丙子” ,以此类推.今年是辛丑年,也是伟大、光荣、正确的中国共产党成立 周年,则中国共产党成立的那一年是( ) A.辛酉年 B.辛戊年 C.壬酉年 D.壬戊年 【答案】A 【解析】由题意知,天干是公差为 的等差数列,地支为公差为 的等差数列, 且 , , 因为 年为辛丑年,则 年前的天干为“辛”,地支为“酉”,可得到 年为辛酉年,故选:A. 5.数列 中, , ,那么这个数列的通项公式是( ) A. B. C. D. 【答案】B 【解析】因为 ,所以数列 是以5为首项,3为公差的等差数列, 则 .故选:B 6.已知等差数列 的前n项和为 ,若 , ,则 取最大值时n的值为 ( ) A.8 B.5 C.6 D.7 【答案】D 【解析】设等差数列 的公差为 , ∵ ,∴ ,∴ . ∵ , ,∴ , ∴当 取最大值时 .故选:D. 7.已知数列 是首项为 ,公差为1的等差数列,数列 满足 若对任意的 , 都有 成立,则实数 的取值范围是( ) A. B. C. D. 【答案】B 【解析】由已知 ,对任意的 ,都有 成立,即 ,即 , 又数列 是首项为 ,公差为1的等差数列, ,且 是单调递增数列,当 时, , ,即 ,解得 .故选:B. 8.《九章算术》中的“竹九节”问题:现有一根9节的竹子,自上而下各节的容积成等差数列, 上面4节的容积共4升,下面3节的容积共6升,则第5节的容积是 A. B. C. D. 【答案】C 【解析】将等差数列记为 ,其中第 节的容积为 , 因为 ,所以 ,所以 , 所以 ,所以第 节的容积为 .故选:C. 9.定义:在数列 中,若满足 ( , 为常数),称 为“等差比数列”。 已知在“等差比数列” 中, 则 ( ) A. B. C. D. 【答案】C【解析】 , , , 是以1为首项,2为公差的等差数列, , .故选:C. 10.已知数列 是等差数列, ,公差 ,则其前11项和等于( ) A.44 B.22 C.-44 D.-22 【答案】A 【解析】因为 ,所以 , 所以 .故选:A 11.设等差数列 的前 项和为 ,数列 的前 和为 ,已知 , 若 ,则正整数 的值为( ) A. B. C. D. 【答案】A 【解析】解:设等差数列 的公差为d, ,所以 ,则 , 所以 , 所以 ,所以 , 因为 ,所以 ,解得 .故选:A. 12.已知 和 的等差中项是4, 和 的等差中项是5,则 和 的等差中项是( ) A.8 B.6 C. D.3 【答案】D 【解析】∵ , ,∴ , ∴ ,∴ 和 的等差中项是 .故选:D. 二、填空题 13.在等差数列 中, ,且 ,则 的最大值是________. 【答案】9 【解析】由等差数列的性质可知 所以 , 那么 ,当 时等号成立, 所以 的最大值是9.故答案为:9 14.已知数列 中, , ,若 为等差数列,则 ________. 【答案】0 【解析】因为 为等差数列,所以 , 所以 ,解得 .故答案为:0 15.已知数列 中, , ,则 ______. 【答案】【解析】∵ ,∴ ,∴数列 是等差数列,公差为 ,又 , ∴ ,∴ .故答案为: . 16.设等差数列 的前n项和为 ,若 ,则 的最大值是__ 【答案】 【解析】设等差数列 的公差为 , 因为 ,可得 ,解得 , 所以 ,所以 , 则 , 当且仅当 时,等号成立,所以 的最大值是 .故答案为: . 三、解答题 17.在① ;② ;③ .这三个条件中任选一个补充在下面的问题 中.已知等差数列 的前n项和为 ,且公差 ,若___________. (Ⅰ)求数列 的通项公式; (Ⅱ)记 ,求数列 的前n项和 . 注:如果选择多个条件分别解答,按第一个解答计分. 【解析】(Ⅰ)若选①:由 ,得 即 所以 . 若选②:设等差数列 的首项为 ,由 , 得: 解得 , 所以 . 若选③:当时 ; 当 时, 显然 时也满足 , ; (Ⅱ)由(I)知 , 则 . 18.已知正项数列 的前n项和为 ,满足 ( , ), . (1)求数列 的通项公式; (2)设 ,求数列 的前 项和 的表达式. 【解析】(1)正项数列 的前n项和为 ,满足 ( , ),所以 , 整理得: , 由于数列为正项数列,所以 (常数), 所以 是以 为首项,1为公差的等差数列, 所以 , 所以 ,易见 也适合该式. 故 . (2)由于 , 所以 . 19.已知公差 的等差数列 , 是 的前 项和, , 是 和 的等比中 项. (1)求 的通项公式; (2)设数列 满足 ,且 的前 项和为 ,求证 . 【解析】(1) 是 和 的等比中项,,即 , , ,则可解得 , ,∴ ; (2) , , , . 20.已知正项数列 的前n项和为 ,且 , . (1)求数列 的通项公式; (2)若 为等差数列,求证: . 【解析】(1)当 时, ,解得 , 当 时, , 所以有 , 由题意可知: ,化简得: , 所以 , , 因此 ; (2)由(1)可知: , , ,因为 为等差数列, 所以 ,因此 ,因为 ,因此有: 21.已知 是公差为 的等差数列, , (1)求 的通项公式; (2)设 ,求数列 的前10项和 【解析】 (1)因 是公差为 的等差数列, , , 所以当 时, , 当 时, , 因为 , 所以 , 即 ,解得 或 (舍去), 所以 (2)由(1)得 , 所以22.已知等比数列 的前n项和为 , ,且 , , 成等差数列. (1)求数列 的通项公式; (2)设 ,求数列 的前n项和 【解析】(1)在比数列 中,设等比数列 的公比为 ,由 , 得 ,∴ , ∵ , , 成等差数列,∴ , 从而有 ,得 , ∴ ; (2)由 ,且 , 得 , ∴ , .