当前位置:首页>文档>专题07数列求和(错位相减法)(典型题型归类训练)(解析版)_02高考数学_2025年新高考资料_专项复习_解题思路训练2025年高考数学复习解答题提优秘籍(新高考专用)_数列

专题07数列求和(错位相减法)(典型题型归类训练)(解析版)_02高考数学_2025年新高考资料_专项复习_解题思路训练2025年高考数学复习解答题提优秘籍(新高考专用)_数列

  • 2026-04-09 10:57:09 2026-04-09 10:57:09

文档预览

专题07数列求和(错位相减法)(典型题型归类训练)(解析版)_02高考数学_2025年新高考资料_专项复习_解题思路训练2025年高考数学复习解答题提优秘籍(新高考专用)_数列
专题07数列求和(错位相减法)(典型题型归类训练)(解析版)_02高考数学_2025年新高考资料_专项复习_解题思路训练2025年高考数学复习解答题提优秘籍(新高考专用)_数列
专题07数列求和(错位相减法)(典型题型归类训练)(解析版)_02高考数学_2025年新高考资料_专项复习_解题思路训练2025年高考数学复习解答题提优秘籍(新高考专用)_数列
专题07数列求和(错位相减法)(典型题型归类训练)(解析版)_02高考数学_2025年新高考资料_专项复习_解题思路训练2025年高考数学复习解答题提优秘籍(新高考专用)_数列
专题07数列求和(错位相减法)(典型题型归类训练)(解析版)_02高考数学_2025年新高考资料_专项复习_解题思路训练2025年高考数学复习解答题提优秘籍(新高考专用)_数列
专题07数列求和(错位相减法)(典型题型归类训练)(解析版)_02高考数学_2025年新高考资料_专项复习_解题思路训练2025年高考数学复习解答题提优秘籍(新高考专用)_数列
专题07数列求和(错位相减法)(典型题型归类训练)(解析版)_02高考数学_2025年新高考资料_专项复习_解题思路训练2025年高考数学复习解答题提优秘籍(新高考专用)_数列
专题07数列求和(错位相减法)(典型题型归类训练)(解析版)_02高考数学_2025年新高考资料_专项复习_解题思路训练2025年高考数学复习解答题提优秘籍(新高考专用)_数列
专题07数列求和(错位相减法)(典型题型归类训练)(解析版)_02高考数学_2025年新高考资料_专项复习_解题思路训练2025年高考数学复习解答题提优秘籍(新高考专用)_数列
专题07数列求和(错位相减法)(典型题型归类训练)(解析版)_02高考数学_2025年新高考资料_专项复习_解题思路训练2025年高考数学复习解答题提优秘籍(新高考专用)_数列
专题07数列求和(错位相减法)(典型题型归类训练)(解析版)_02高考数学_2025年新高考资料_专项复习_解题思路训练2025年高考数学复习解答题提优秘籍(新高考专用)_数列
专题07数列求和(错位相减法)(典型题型归类训练)(解析版)_02高考数学_2025年新高考资料_专项复习_解题思路训练2025年高考数学复习解答题提优秘籍(新高考专用)_数列
专题07数列求和(错位相减法)(典型题型归类训练)(解析版)_02高考数学_2025年新高考资料_专项复习_解题思路训练2025年高考数学复习解答题提优秘籍(新高考专用)_数列
专题07数列求和(错位相减法)(典型题型归类训练)(解析版)_02高考数学_2025年新高考资料_专项复习_解题思路训练2025年高考数学复习解答题提优秘籍(新高考专用)_数列
专题07数列求和(错位相减法)(典型题型归类训练)(解析版)_02高考数学_2025年新高考资料_专项复习_解题思路训练2025年高考数学复习解答题提优秘籍(新高考专用)_数列
专题07数列求和(错位相减法)(典型题型归类训练)(解析版)_02高考数学_2025年新高考资料_专项复习_解题思路训练2025年高考数学复习解答题提优秘籍(新高考专用)_数列
专题07数列求和(错位相减法)(典型题型归类训练)(解析版)_02高考数学_2025年新高考资料_专项复习_解题思路训练2025年高考数学复习解答题提优秘籍(新高考专用)_数列
专题07数列求和(错位相减法)(典型题型归类训练)(解析版)_02高考数学_2025年新高考资料_专项复习_解题思路训练2025年高考数学复习解答题提优秘籍(新高考专用)_数列
专题07数列求和(错位相减法)(典型题型归类训练)(解析版)_02高考数学_2025年新高考资料_专项复习_解题思路训练2025年高考数学复习解答题提优秘籍(新高考专用)_数列
专题07数列求和(错位相减法)(典型题型归类训练)(解析版)_02高考数学_2025年新高考资料_专项复习_解题思路训练2025年高考数学复习解答题提优秘籍(新高考专用)_数列
专题07数列求和(错位相减法)(典型题型归类训练)(解析版)_02高考数学_2025年新高考资料_专项复习_解题思路训练2025年高考数学复习解答题提优秘籍(新高考专用)_数列
专题07数列求和(错位相减法)(典型题型归类训练)(解析版)_02高考数学_2025年新高考资料_专项复习_解题思路训练2025年高考数学复习解答题提优秘籍(新高考专用)_数列
专题07数列求和(错位相减法)(典型题型归类训练)(解析版)_02高考数学_2025年新高考资料_专项复习_解题思路训练2025年高考数学复习解答题提优秘籍(新高考专用)_数列
专题07数列求和(错位相减法)(典型题型归类训练)(解析版)_02高考数学_2025年新高考资料_专项复习_解题思路训练2025年高考数学复习解答题提优秘籍(新高考专用)_数列
专题07数列求和(错位相减法)(典型题型归类训练)(解析版)_02高考数学_2025年新高考资料_专项复习_解题思路训练2025年高考数学复习解答题提优秘籍(新高考专用)_数列
专题07数列求和(错位相减法)(典型题型归类训练)(解析版)_02高考数学_2025年新高考资料_专项复习_解题思路训练2025年高考数学复习解答题提优秘籍(新高考专用)_数列

文档信息

文档格式
docx
文档大小
0.984 MB
文档页数
22 页
上传时间
2026-04-09 10:57:09

文档内容

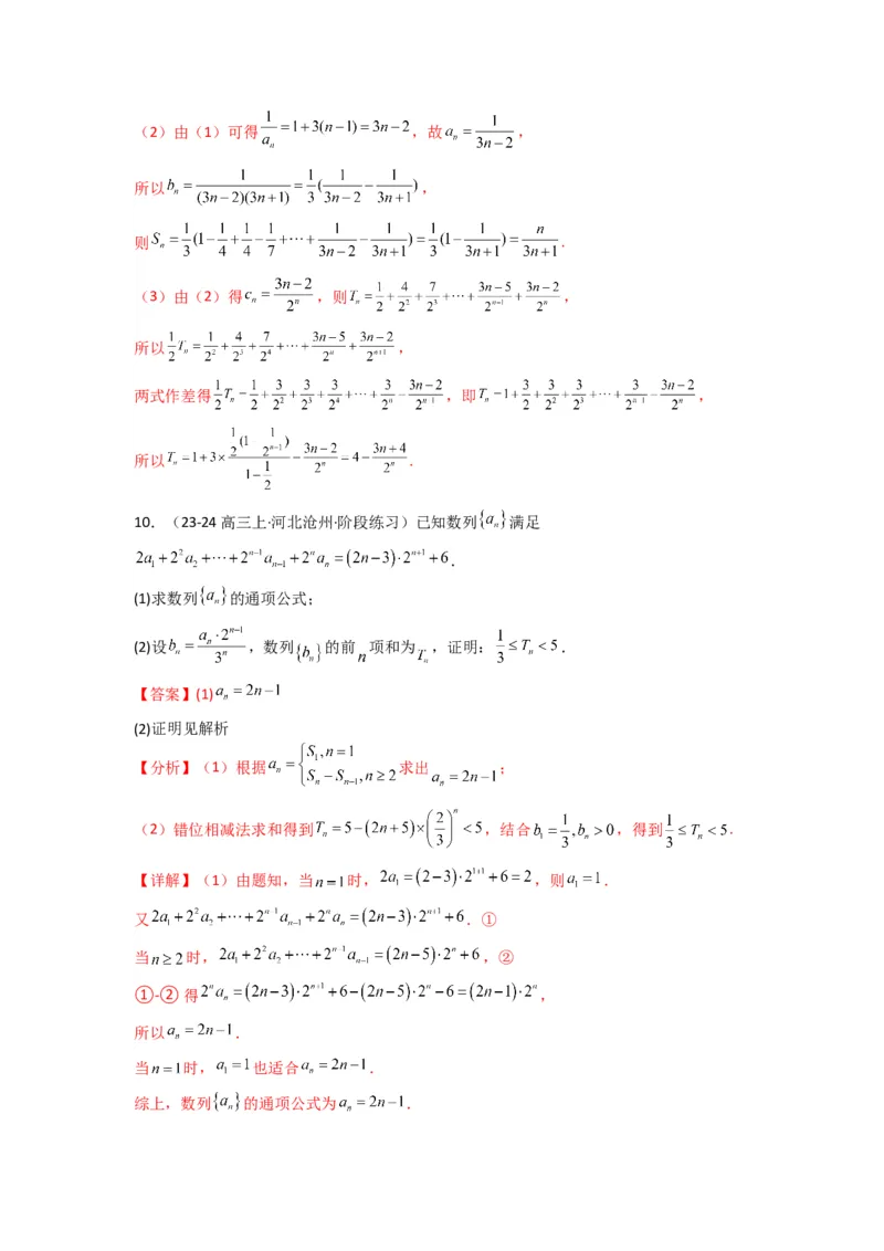
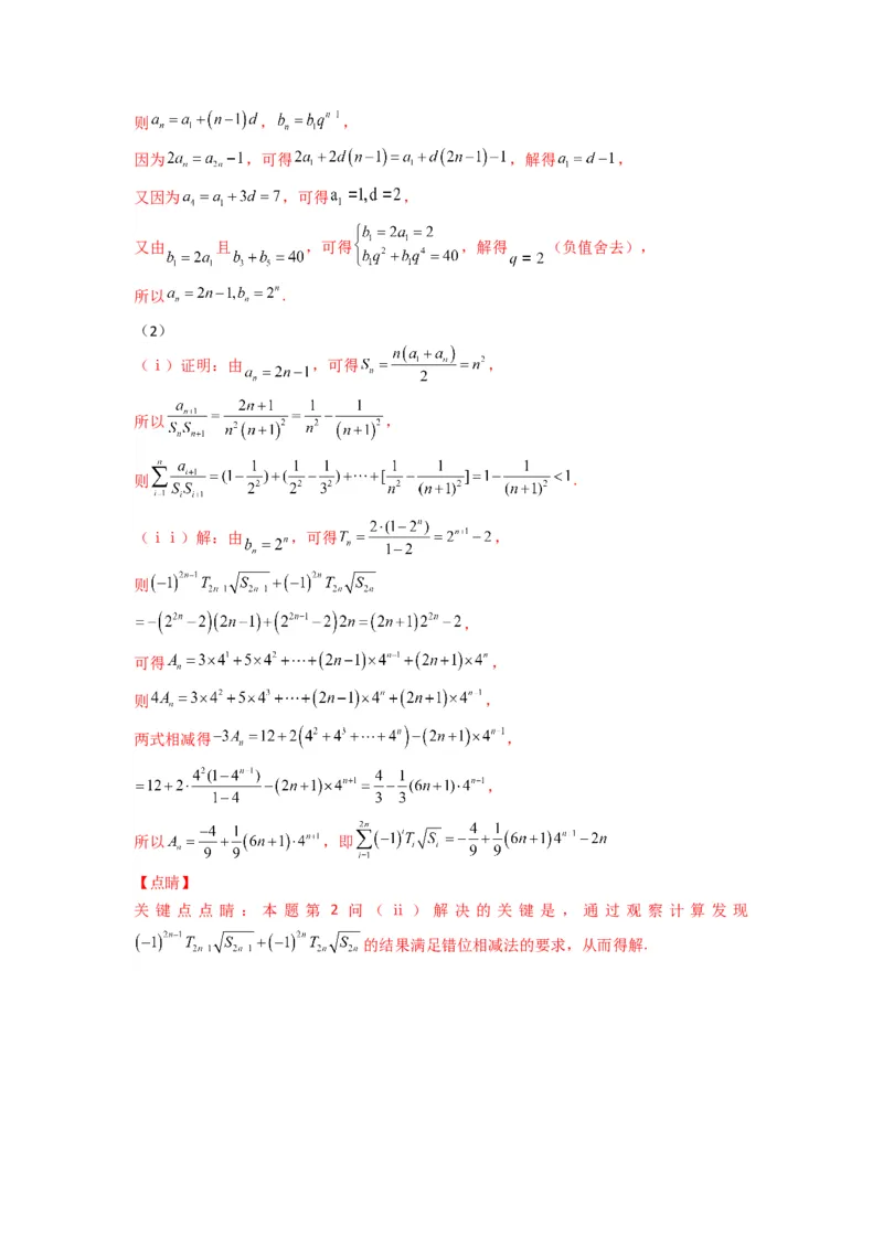
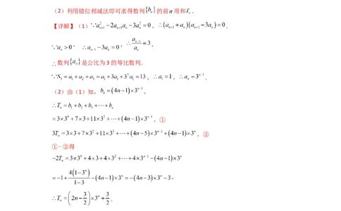
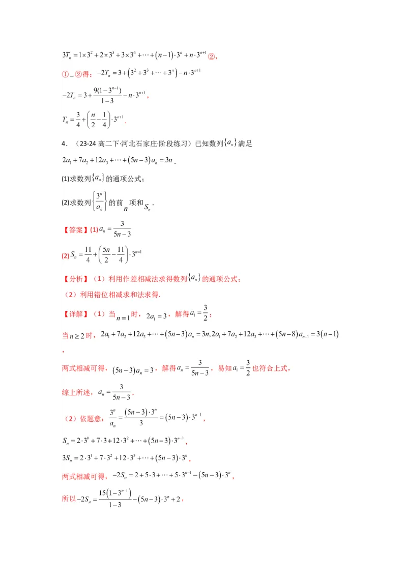
专题 07 数列求和(错位相减法)(典型题型归类训 练) 目录 一、必备秘籍..............................................1 二、典型题型..............................................1 题型一:乘型...........................................1 题型二:除型...........................................5 三、专题07 数列求和(错位相减法)专项训练...............10 一、必备秘籍 错位相减法求和:如果一个数列的各项是由一个等差数列和一个等比数列的对应项之积构 成的,那么这个数列的前n项和即可用此法来求.q倍错位相减法:若数列{c n }的通项公式 ,其中{a }、{b }中一个是等差数列,另一个是等比数列,求和时一般可在已 n n 知和式的两边都乘以组成这个数列的等比数列的公比,然后再将所得新和式与原和式相 减,转化为同倍数的等比数列求和.这种方法叫q倍错位相减法. 温馨提示:1.两个特殊数列等差与等比的乘积或商的组合. 2.关注相减的项数及没有参与相减的项的保留. 二、典型题型 题型一:乘型 1.(2024·全国·模拟预测)已知 是各项均为正数的数列 的前 项和, .(1)求数列 的通项公式; (2)若 ,求数列 的前 项和 . 【答案】(1) (2) 【分析】(1)先利用题给条件求得数列 是公比为3的等比数列,再求得其首项的值, 进而求得数列 的通项公式; (2)利用错位相减法即可求得数列 的前 项和 . 【详解】(1) , . , , , 数列 是公比为3的等比数列. , , . (2)由(1)知, , ,① ,② ① ②得 , . 2.(23-24高二下·广东广州·阶段练习)已等差数列 的前 项和为 ,且 . (1)求数列 的通项公式及 ; (2)若 ,令 ,求数列 的前 项和 . 【答案】(1) , (2)【分析】(1)设等差数列 的公差为 ,根据条件,建立 与 的方程组,求得 ,即可求出结果; (2)根据条件,利用错位相减法,即可求出结果. 【详解】(1)设等差数列 的公差为 , 因为 ,得到 ①,由 ,得到 ②, 由①②得到 ,所以数列 的通项公式为 , . (2)由(1)知 ,所以 , 所以 ③, ③ 得 ④, 由③ ④得到 , 整理得到 . 3.(2024·浙江宁波·二模)已知等差数列 的公差为2,记数列 的前 项和为 且满足 . (1)证明:数列 是等比数列; (2)求数列 的前 项和 . 【答案】(1)证明见解析; (2) . 【分析】(1)根据通项与前 项和之间的关系,作差可得 ,即可利用等比数 列的定义求解, (2)根据错位相减法求和以及分组求解,结合等差等比数列求和求解. 【详解】(1) 时, ,即 . 又 ,也符合 , 所以 时, ,即 . 又 ,所以 , 所以 ,所以数列 成等比数列.(2)由(1)易得 .由 可得 ,所以 . 所以 , 所以 . 令 , 则 , 所以 , 所以 . 4.(2024·四川成都·模拟预测)已知 为数列 的前 项和,且 . (1)求数列 的通项公式; (2)设 ,求 . 【答案】(1) ; (2) 【分析】(1)利用 的关系,结合等比数列的定义求通项公式. (2)利用错位相减法求和可得结果. 【详解】(1)当 时, ,可得 , 当 时, ,可得 ,则 , 是首项、公比都为 的等比数列, 故 . (2)由题设, , , 则 , 所以, 所以 . 5.(23-24高三下·河南漯河·阶段练习)已知等差数列 的前 项和为 , 且 ,数列 满足 ,设 . (1)求 的通项公式,并证明: ; (2)设 ,求数列 的前 项和 . 【答案】(1) ;证明见解析 (2) 【分析】(1)求等差数列的基本量可得 的通项公式,根据数列的迭代可得 ; (2)构造法求出数列 为等比数列且 ,用错位相减法可得 . 【详解】(1)设等差数列 的公差为 , 因为 ,可得 ,即 ,解得 , 又因为 ,可得 ,所以 , 由数列 满足 ,可得 , , , 所以 , 因为 ,所以 . (2)解:由(1)可知 , 因为 , 所以数列 是以2为首项,2为公比的等比数列,所以 , 所以 , 所以 , 则 , 两式相减,可得, 所以 . 题型二:除型 1.(23-24高二下·辽宁沈阳·阶段练习)设数列 满足 , ,且 . (1)求证:数列 为等差数列; (2)求数列 的通项公式; (3)求数列 的前 项和 . 【答案】(1)证明见解析 (2) (3) 【分析】(1)将递推关系式变形,结合等差数列的定义判断证明; (2)由(1)结合等差数列的通项公式可求得答案; (3)结合(2)利用错位相减法求和. 【详解】(1)因为 ,所以 , 又 ,所以数列 是以 为首项, 为公差的等差数列. (2)由(1)得 , 当 时, , 又 满足上式,所以 , . (3)由(2), , 则 ,相减,得 , 所以, . 2.(23-24高二下·广东佛山·阶段练习)已知数列 满足 . (1)求 的通项公式; (2)求数列 的前 项和. 【答案】(1) (2) 【分析】(1)由已知递推关系利用累乘法求出即可; (2)利用错位相减法求出数列的和即可. 【详解】(1)因为 ,且 , 所以 , 即 的通项公式为 . (2)记数列 的前 项和为 . 因为 , 所以 , 所以 ,两式相减得 , 故 . 3.(23-24高二下·云南昆明·阶段练习)已知等差数列 的前 项和为 ,且 , . (1)求数列 的通项公式; (2)证明: 【答案】(1) (2)证明见详解 【分析】(1)求出等差数列 的首项和公差,利用等差数列的通项公式可求得数列的通 项公式; (2)由(1)先用错位相减法求出 ,得证. 【详解】(1)设等差数列 的公差为 ,由 , , 所以 ,解得 , 所以 ,解得 , , . (2)由(1)得 ,令 , ,① 则 ,② ① ②式得,, 化简整理得 , , , 得证. 4.(23-24高二下·江西·阶段练习)已知等差数列 满足 , .单调递增 的等比数列 满足 ,且 , , 成等差数列. (1)求 和 的通项公式; (2)求数列 的前n项和 . 【答案】(1) , (2) 【分析】(1)设数列 的公差和 的公比分别为d,q,利用已知条件求解 ,得 到 和 ;(2)利用错位相减求解 . 【详解】(1)设数列 的公差和 的公比分别为d,q. 因为 ,所以 . 又 ,所以 . 所以 . 因为 ,且 , , , 所以 ,即 , 解得 或 . 又数列 单调递增,所以 ,故 . (2)因为 ,所以 , 所以 ,上面两式相减得 , 即 , 所以 . 5.(2024·全国·模拟预测)已知数列 的前 项和为 ,满足 . (1)求证:数列 为等比数列; (2)设 的前 项和为 ,求 . 【答案】(1)证明见解析 (2) 【分析】(1)根据 与 之间的关系将 消去可得 ,再构造 证明即可; (2)由(1)可得 ,进而可得 ,再根据分组与错位相减求解 即可. 【详解】(1)第一步:将已知等式递推、相减得到 之间的关系式 当 时,由 ,得 ,解得 , 由 递推得 , 两式相减得 , 化简得 .(方法:若给出的数列关系式中既含 又含 ,则往往利用 与 之间的关系将 或 消去,再求解) 第二步:利用等比数列的定义证明数列 为等比数列 从而 , 又 ,所以数列 是首项为4,公比为2的等比数列. (2)第一步:根据等比数列的通项公式求 由(1)知 ,所以 , 第二步:求 所以 .(点拨: 由两项组成,第一项是常数,直接求和即可,第二项是等差 等比的形式,故考虑利用错位相减法求和) 第三步:利用分组求和法、错位相减法求 所以 . 令 , 所以 , 两式相减,得 , 则 , 所以 . 【点睛】根据 与 的关系求 的常用思路:一是利用 将已知关系式 转化为 的递推关系,再求 ;二是将已知关系式转化为 的递推关系,先求出 与 之 间的关系,再求 . 三、专题07 数列求和(错位相减法)专项训练 1.(23-24高二下·河南南阳·阶段练习)已知数列 的前 项和为 , . (1)求数列 的通项公式; (2)求数列 的前 项和 . 【答案】(1) (2) 【分析】(1)根据 求出通项公式; (2)错位相减法求和得到答案. 【详解】(1) ①, 当 时, ②,两式① ②得: , 当 时, ,符合上式, 所以 ; (2)令 ,所以 , 故 , , 两式相减得, , 故 2.(23-24高二下·广东佛山·阶段练习)设数列 的前n项和为 ,已知 . (1)求数列 的通项公式; (2)令 ,求数列 的前n项和 . 【答案】(1) (2) 【分析】(1)由退一步相减得出数列 的通项公式; (2)由错位相减得出 的前n项和 . 【详解】(1)由题知: ①, 当 时, ②, 得: , 即 , 所以 , , , 从而数列 是首项 ,公差 的等差数列, 所以数列 的通项公式为 . (2)因为 ,所以 , ,即 ③, ④, 得: . 所以 . 3.(23-24高二下·湖南长沙·阶段练习)已知等差数列 的前n项和为 ,且 , . (1)求数列 的通项公式; (2)设 ,求数列 的前n项和 . 【答案】(1) (2) 【分析】(1)根据题意得到 ,解方程组即可; (2)由(1),得到 ,再利用错位相减法即可求出 . 【详解】(1)有题知 ,解得 . 所以 . (2)因为 , ,所以 ,. ①,②, ① ②得: , . 4.(23-24高二下·河北石家庄·阶段练习)已知数列 满足 . (1)求数列 的通项公式; (2)求数列 的前 项和 . 【答案】(1) (2) 【分析】(1)利用作差相减法求得数列 的通项公式; (2)利用错位相减求和法求得. 【详解】(1)当 时, ,解得 ; 当 时, , 两式相减可得, ,解得 ,易知 也符合上式, 综上所述, . (2)依题意: , , , 两式相减可得, , 所以 ,故 . 5.(23-24高二下·云南昆明·阶段练习)给出以下三个条件:① ;② 成等比 数列;③ .请从这三个条件中任选一个,补充到下面问题中,并完成作答.若选择 多个条件分别作答,以第一个作答计分. 已知公差不为0的等差数列 的前 项和为 ,_______. (1)求数列 的通项公式; (2)若 ,令 ,求数列 的前 项和 . 【答案】(1) (2) 【分析】 (1)根据等差数列、等比数列的性质及求和公式计算即可; (2)先求 ,再利用错位相减法求和即可. 【详解】(1)若选① , , , . 若选② 成等比数列, , 又 , , 解得 或1, 又 , . 若选③ , , 又 , ,解得 , .(2) , , , , 两式相减得 , 6.(23-24高一下·四川成都·开学考试)已知数列 的首项为 ,且满足 ,数列 满足 . (1)求 的通项公式; (2)设数列 的前 项和为 ,求 . 【答案】(1) (2) 【分析】(1)由数列的递推式推得 为常数列,可得所求通项公式; (2)由数列的错位相减法求和,结合等比数列的求和公式,化简可得所求和. 【详解】(1) , , ; (2)由(1)得 , ①, ②, 得,. 7.(2024·广东佛山·模拟预测)已知数列 满足 ,且 . (1)求数列 的通项公式; (2)证明: . 【答案】(1) (2)证明过程见解析 【分析】(1)得到 为常数列,结合 得到 ,求出通项公式; (2) ,设 的前 项和为 ,错位相减法求和得到 . 【详解】(1) ,故 为常数列, 其中 ,故 , 故 ,即 ; (2) ,设 的前 项和为 , 则 ①, ②, 两式①-②得, , 故 . 8.(23-24高二上·安徽·期末)已知数列 的前 项和为 ,满足 . (1)求数列 的通项公式; (2)若 ,求数列 的前 项和 . 【答案】(1) (2) 【分析】(1)根据 与 的关系易得 ,需要检验首项是否符合; (2)利用错位相减法求和即得.【详解】(1)根据题意: ,当 时, , 两式相减即得: , 因 时, ,满足上式, 故 ; (2) , 则 , , 两式相减可得: , 故 . 9.(23-24高二上·天津宁河·期末)已知数列 满足: , . (1)求证:数列 为等差数列; (2)设 ,求数列 的前 项和 ; (3)设 ,求数列 的前 项和 . 【答案】(1)证明见解析; (2) ; (3) . 【分析】(1)由题设可得 ,结合等差数列定义即可证结论; (2)由题设 ,应用裂项相消法求和; (3)由题设 ,应用错位相减法及等比数列前n项和公式求和. 【详解】(1)由题设 ,又 , 所以数列 是首项为1,公差为3的等差数列.(2)由(1)可得 ,故 , 所以 , 则 . (3)由(2)得 ,则 , 所以 , 两式作差得 ,即 , 所以 . 10.(23-24高三上·河北沧州·阶段练习)已知数列 满足 . (1)求数列 的通项公式; (2)设 ,数列 的前 项和为 ,证明: . 【答案】(1) (2)证明见解析 【分析】(1)根据 求出 ; (2)错位相减法求和得到 ,结合 ,得到 . 【详解】(1)由题知,当 时, ,则 . 又 .① 当 时, ,② ①-②得 , 所以 . 当 时, 也适合 . 综上,数列 的通项公式为 .(2)因为 . 所以 ,① ,② ①-②得 , 整理得 , 因为 .所以 11.(2024·天津河东·一模)设 是等差数列, 是各项均为正数的等比数列, , . (1)求数列 与 的通项公式; (2)数列 的前 项和分别为 ; (ⅰ)证明 ; (ⅱ)求 . 【答案】(1) ; (2)(ⅰ)证明见解析;(ⅱ) 【分析】 (1)设等差数列 的公差为 ,等比数列 的公比为 ,根据题意,列出方程 求得 的值,即可求解; (2)(ⅰ)由(1)求得 ,结合裂项法求和,即可得证; (ⅰⅰ)由(1)求得 ,结合错位相减法 求和,即可求解. 【详解】(1) 解:设等差数列 的公差为 ,等比数列 的公比为 ,则 , , 因为 ,可得 ,解得 , 又因为 ,可得 , 又由 且 ,可得 ,解得 (负值舍去), 所以 . (2) (ⅰ)证明:由 ,可得 , 所以 , 则 . (ⅰⅰ)解:由 ,可得 , 则 , 可得 , 则 , 两式相减得 , , 所以 ,即 【点睛】 关 键 点 点 睛 : 本 题 第 2 问 ( ⅱ ) 解 决 的 关 键 是 , 通 过 观 察 计 算 发 现 的结果满足错位相减法的要求,从而得解.