当前位置:首页>文档>专题06数列求和(裂项相消法)(典型题型归类训练)(解析版)_02高考数学_2025年新高考资料_专项复习_解题思路训练2025年高考数学复习解答题提优秘籍(新高考专用)_数列

专题06数列求和(裂项相消法)(典型题型归类训练)(解析版)_02高考数学_2025年新高考资料_专项复习_解题思路训练2025年高考数学复习解答题提优秘籍(新高考专用)_数列

  • 2026-04-08 07:53:34 2026-04-08 07:53:34

文档预览

专题06数列求和(裂项相消法)(典型题型归类训练)(解析版)_02高考数学_2025年新高考资料_专项复习_解题思路训练2025年高考数学复习解答题提优秘籍(新高考专用)_数列
专题06数列求和(裂项相消法)(典型题型归类训练)(解析版)_02高考数学_2025年新高考资料_专项复习_解题思路训练2025年高考数学复习解答题提优秘籍(新高考专用)_数列
专题06数列求和(裂项相消法)(典型题型归类训练)(解析版)_02高考数学_2025年新高考资料_专项复习_解题思路训练2025年高考数学复习解答题提优秘籍(新高考专用)_数列
专题06数列求和(裂项相消法)(典型题型归类训练)(解析版)_02高考数学_2025年新高考资料_专项复习_解题思路训练2025年高考数学复习解答题提优秘籍(新高考专用)_数列
专题06数列求和(裂项相消法)(典型题型归类训练)(解析版)_02高考数学_2025年新高考资料_专项复习_解题思路训练2025年高考数学复习解答题提优秘籍(新高考专用)_数列
专题06数列求和(裂项相消法)(典型题型归类训练)(解析版)_02高考数学_2025年新高考资料_专项复习_解题思路训练2025年高考数学复习解答题提优秘籍(新高考专用)_数列
专题06数列求和(裂项相消法)(典型题型归类训练)(解析版)_02高考数学_2025年新高考资料_专项复习_解题思路训练2025年高考数学复习解答题提优秘籍(新高考专用)_数列
专题06数列求和(裂项相消法)(典型题型归类训练)(解析版)_02高考数学_2025年新高考资料_专项复习_解题思路训练2025年高考数学复习解答题提优秘籍(新高考专用)_数列
专题06数列求和(裂项相消法)(典型题型归类训练)(解析版)_02高考数学_2025年新高考资料_专项复习_解题思路训练2025年高考数学复习解答题提优秘籍(新高考专用)_数列
专题06数列求和(裂项相消法)(典型题型归类训练)(解析版)_02高考数学_2025年新高考资料_专项复习_解题思路训练2025年高考数学复习解答题提优秘籍(新高考专用)_数列
专题06数列求和(裂项相消法)(典型题型归类训练)(解析版)_02高考数学_2025年新高考资料_专项复习_解题思路训练2025年高考数学复习解答题提优秘籍(新高考专用)_数列
专题06数列求和(裂项相消法)(典型题型归类训练)(解析版)_02高考数学_2025年新高考资料_专项复习_解题思路训练2025年高考数学复习解答题提优秘籍(新高考专用)_数列
专题06数列求和(裂项相消法)(典型题型归类训练)(解析版)_02高考数学_2025年新高考资料_专项复习_解题思路训练2025年高考数学复习解答题提优秘籍(新高考专用)_数列
专题06数列求和(裂项相消法)(典型题型归类训练)(解析版)_02高考数学_2025年新高考资料_专项复习_解题思路训练2025年高考数学复习解答题提优秘籍(新高考专用)_数列
专题06数列求和(裂项相消法)(典型题型归类训练)(解析版)_02高考数学_2025年新高考资料_专项复习_解题思路训练2025年高考数学复习解答题提优秘籍(新高考专用)_数列
专题06数列求和(裂项相消法)(典型题型归类训练)(解析版)_02高考数学_2025年新高考资料_专项复习_解题思路训练2025年高考数学复习解答题提优秘籍(新高考专用)_数列
专题06数列求和(裂项相消法)(典型题型归类训练)(解析版)_02高考数学_2025年新高考资料_专项复习_解题思路训练2025年高考数学复习解答题提优秘籍(新高考专用)_数列
专题06数列求和(裂项相消法)(典型题型归类训练)(解析版)_02高考数学_2025年新高考资料_专项复习_解题思路训练2025年高考数学复习解答题提优秘籍(新高考专用)_数列
专题06数列求和(裂项相消法)(典型题型归类训练)(解析版)_02高考数学_2025年新高考资料_专项复习_解题思路训练2025年高考数学复习解答题提优秘籍(新高考专用)_数列
专题06数列求和(裂项相消法)(典型题型归类训练)(解析版)_02高考数学_2025年新高考资料_专项复习_解题思路训练2025年高考数学复习解答题提优秘籍(新高考专用)_数列
专题06数列求和(裂项相消法)(典型题型归类训练)(解析版)_02高考数学_2025年新高考资料_专项复习_解题思路训练2025年高考数学复习解答题提优秘籍(新高考专用)_数列
专题06数列求和(裂项相消法)(典型题型归类训练)(解析版)_02高考数学_2025年新高考资料_专项复习_解题思路训练2025年高考数学复习解答题提优秘籍(新高考专用)_数列
专题06数列求和(裂项相消法)(典型题型归类训练)(解析版)_02高考数学_2025年新高考资料_专项复习_解题思路训练2025年高考数学复习解答题提优秘籍(新高考专用)_数列
专题06数列求和(裂项相消法)(典型题型归类训练)(解析版)_02高考数学_2025年新高考资料_专项复习_解题思路训练2025年高考数学复习解答题提优秘籍(新高考专用)_数列
专题06数列求和(裂项相消法)(典型题型归类训练)(解析版)_02高考数学_2025年新高考资料_专项复习_解题思路训练2025年高考数学复习解答题提优秘籍(新高考专用)_数列
专题06数列求和(裂项相消法)(典型题型归类训练)(解析版)_02高考数学_2025年新高考资料_专项复习_解题思路训练2025年高考数学复习解答题提优秘籍(新高考专用)_数列
专题06数列求和(裂项相消法)(典型题型归类训练)(解析版)_02高考数学_2025年新高考资料_专项复习_解题思路训练2025年高考数学复习解答题提优秘籍(新高考专用)_数列
专题06数列求和(裂项相消法)(典型题型归类训练)(解析版)_02高考数学_2025年新高考资料_专项复习_解题思路训练2025年高考数学复习解答题提优秘籍(新高考专用)_数列
专题06数列求和(裂项相消法)(典型题型归类训练)(解析版)_02高考数学_2025年新高考资料_专项复习_解题思路训练2025年高考数学复习解答题提优秘籍(新高考专用)_数列
专题06数列求和(裂项相消法)(典型题型归类训练)(解析版)_02高考数学_2025年新高考资料_专项复习_解题思路训练2025年高考数学复习解答题提优秘籍(新高考专用)_数列
专题06数列求和(裂项相消法)(典型题型归类训练)(解析版)_02高考数学_2025年新高考资料_专项复习_解题思路训练2025年高考数学复习解答题提优秘籍(新高考专用)_数列
专题06数列求和(裂项相消法)(典型题型归类训练)(解析版)_02高考数学_2025年新高考资料_专项复习_解题思路训练2025年高考数学复习解答题提优秘籍(新高考专用)_数列
专题06数列求和(裂项相消法)(典型题型归类训练)(解析版)_02高考数学_2025年新高考资料_专项复习_解题思路训练2025年高考数学复习解答题提优秘籍(新高考专用)_数列
专题06数列求和(裂项相消法)(典型题型归类训练)(解析版)_02高考数学_2025年新高考资料_专项复习_解题思路训练2025年高考数学复习解答题提优秘籍(新高考专用)_数列
专题06数列求和(裂项相消法)(典型题型归类训练)(解析版)_02高考数学_2025年新高考资料_专项复习_解题思路训练2025年高考数学复习解答题提优秘籍(新高考专用)_数列
专题06数列求和(裂项相消法)(典型题型归类训练)(解析版)_02高考数学_2025年新高考资料_专项复习_解题思路训练2025年高考数学复习解答题提优秘籍(新高考专用)_数列
专题06数列求和(裂项相消法)(典型题型归类训练)(解析版)_02高考数学_2025年新高考资料_专项复习_解题思路训练2025年高考数学复习解答题提优秘籍(新高考专用)_数列
专题06数列求和(裂项相消法)(典型题型归类训练)(解析版)_02高考数学_2025年新高考资料_专项复习_解题思路训练2025年高考数学复习解答题提优秘籍(新高考专用)_数列
专题06数列求和(裂项相消法)(典型题型归类训练)(解析版)_02高考数学_2025年新高考资料_专项复习_解题思路训练2025年高考数学复习解答题提优秘籍(新高考专用)_数列
专题06数列求和(裂项相消法)(典型题型归类训练)(解析版)_02高考数学_2025年新高考资料_专项复习_解题思路训练2025年高考数学复习解答题提优秘籍(新高考专用)_数列
专题06数列求和(裂项相消法)(典型题型归类训练)(解析版)_02高考数学_2025年新高考资料_专项复习_解题思路训练2025年高考数学复习解答题提优秘籍(新高考专用)_数列

文档信息

文档格式
docx
文档大小
1.309 MB
文档页数
37 页
上传时间
2026-04-08 07:53:34

文档内容

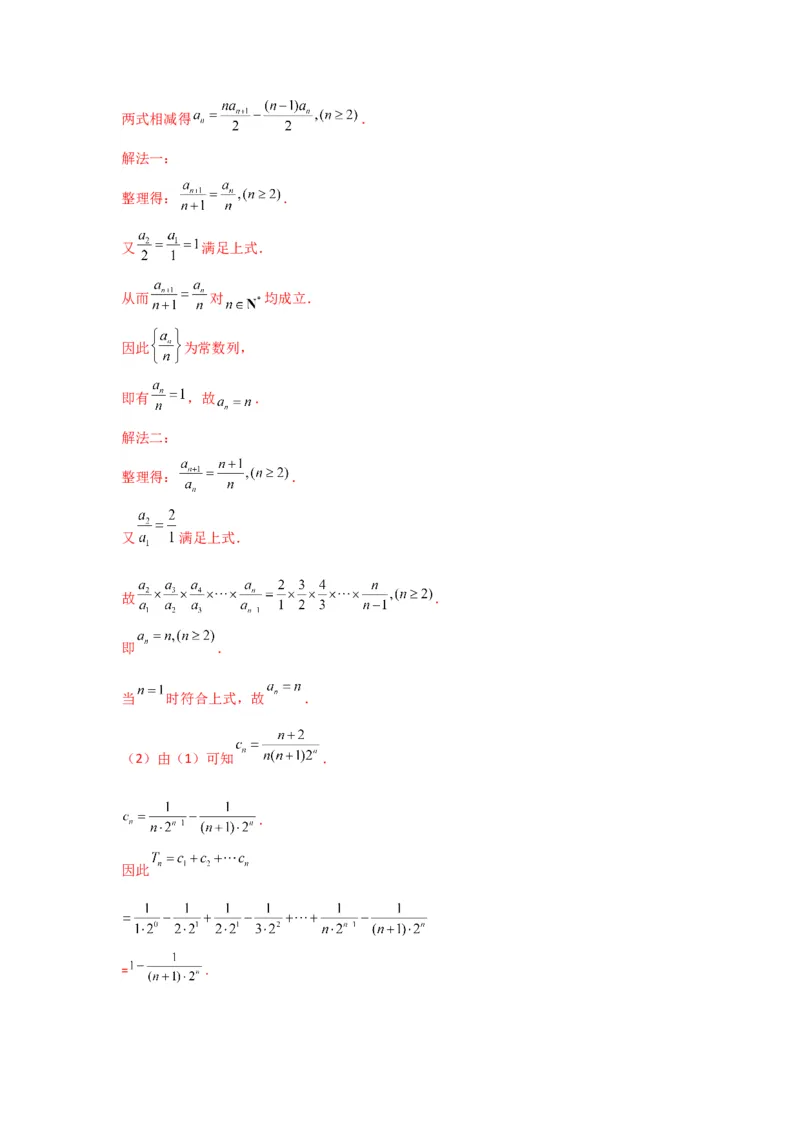
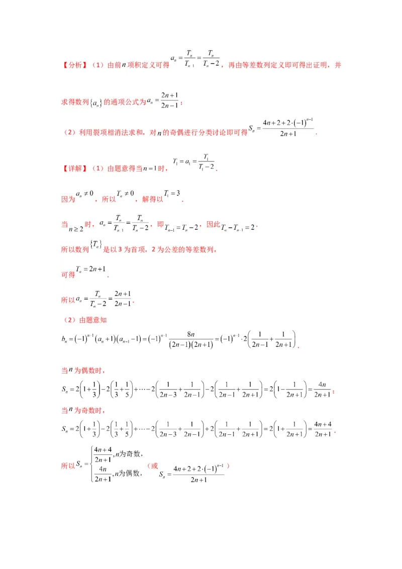
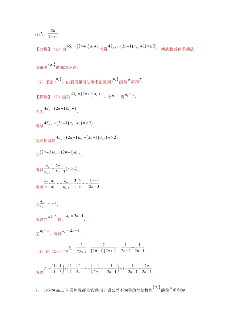
专题 06 数列求和(裂项相消法)(典型题型归类训 练) 目录 一、必备秘籍..............................................1 二、典型题型..............................................2 题型一:等差型.........................................2 题型二:无理型.........................................5 题型三:指数型.........................................9 题型四:通项裂项为“ ”型............................13 三、专题06 数列求和(裂项相消法)专项训练...............18 一、必备秘籍 常见的裂项技巧 类型一:等差型 1 1 1 1 ① = ( − ) n(n+k) k n n+k 1 1 1 1 1 1 特别注意k=1, = − ;k=−1, = − n(n+1) n n+1 n(n−1) n−1 n ② 1 1 1 1 1 如: = ( − )(尤其要注意不能丢前边的 ) 4n2 −1 2 2n−1 2n+1 2类型二:无理型 1 1 ① = (√n+k−√n) √n+k+√n k 如: 类型三:指数型 ① 如: 类型四:通项裂项为“ ”型 如:① ② 本类模型典型标志在通项中含有 乘以一个分式. 二、典型题型 题型一:等差型 1.(23-24高二下·云南昆明·阶段练习)已知数列 的前 项和为 ,且 . (1)求 的通项公式; (2)记 ,求数列 的前 项和 . 【答案】(1)(2) 【分析】(1)由 可得 ,两式相减由累乘法 可求出 的通项公式; (2)求出 ,由裂项相消法可求出数列 的前 项和 . 【详解】(1)因为 ,令 得 , 因为 , 所以 , 两式相减得 , 即 . 所以 , 所以 , 即 , 所以当 时, , 又 ,所以 . (2)由(1)可得 , 所以 . 2.(23-24高二下·四川成都·阶段练习)设公差不为零的等差数列 的前 项和为,且 成等比数列; (1)求数列 的通项公式; (2)若 ,数列 的前 项和为 ,求证: . 【答案】(1) ; (2)证明见解析. 【分析】(1)设出数列 的公差 ,再由已知列出方程组,求出 即可得解. (2)由(1)的结论,利用裂项相消法计算推理即得. 【详解】(1)设等差数列 的公差为 ,由 成等比数列, 得 ,解得 , 所以数列 的通项公式为 . (2)由(1)知, , ,由 恒成立,得数列 单调递增,因此 , 所以 . 3.(23-24高二下·上海·期中)已知数列 满足 , ,数列 满足 , . (1)求证: 为等差数列,并求 通项公式;(2)若 ,记 前n项和为 ,对任意的正自然数n,不等式 恒成立,求实 数 的范围. 【答案】(1) (2) 【分析】(1)证明 为常数即可证明 为等差数列,根据等差数列通项公式即可 求 的通项公式,进而求出 的通项公式; (2)根据累乘法求出 ,再求出 ,根据 的通项公式特征,采用裂项法求其前 项和 ,求 单调性并求其范围即可求出 的范围. 【详解】(1)因为 , ,两边同时除以 可得: ,从而 , , 所以 是首项为1,公差为1的等差数列,所以 , 则 ; (2)由 , , 所以 ,则 , 所以 , 所以 则 ,因为 中的每一项 ,所以 为递增数列, 所以 ,因为 , 所以 ,即实数 的取值范围为 . 4.(23-24高二下·广东佛山·阶段练习)设数列 满足 . (1)证明: 为等差数列; (2)若数列 的前 项和为 ,证明: . 【答案】(1)证明见解析; (2)证明见解析. 【分析】(1)对递推公式两边取倒数,结合等差数列的定义,即可证明; (2)根据(1)中所证求得 ,再根据裂项求和法求得 ,进而适度放缩即可证明. 【详解】(1)证明:因为 ,所以 ,即 . 因为 ,所以 是首项为2,公差为3的等差数列. (2)由(1)可知 ,所以 . 因为 , 所以 . 因为 ,所以 ,故 .题型二:无理型 1.(23-24高三下·甘肃·阶段练习)设数列 的前n项和为 . (1)求数列 的通项公式; (2)设数列 的前n项和为 ,且 ,求 ; (3)证明: . 【答案】(1) (2) (3)证明见解析 【分析】(1)根据条件,利用 与 间的关系,即可求出结果; (2)根据(1)得到 ,再利用裂项相消法,即可求出结果; (3)利用 ,即可证明结果. 【详解】(1)因为 ①,当 时, ②, 所以① ②得到 ,即 , 又 ,满足 ,所以 . (2)因为 , 所以 . (3)因为 ,所以 , 即 . 2.(2024·陕西渭南·模拟预测)已知等差数列 的前n项和为 , , . (1)求 的通项公式及 ; (2)设______,求数列 的前n项和 . 在① ;② ;③ 这三个条件中任选一个补充在第(2) 问中,并求解. 注:如选择多个条件分别解答,按第一个解答计分. 【答案】(1) , ; (2)答案见解析 【分析】(1)设出等差数列的公差,由题意列方程求出首项和公差,即可求得答案; (2)不论选①、选②还是选③,都要利用(1)的结果,可得 的表达式,利用裂项相消 法求和,即得答案. 【详解】(1)由题意知等差数列 的前n项和为 , , , 设公差为d,则 ,解得 , 故 , ;(2)若选① ,则 , 故 ; 若选② ,则 , 故 ; 若选③ ,则 , 故 . 3.(23-24高二下·云南·开学考试)在等差数列 中, , 是 和 的等比中项. (1)求 的公差 ; (2)若数列 的前 项和为 ,且 ,求 . 【答案】(1)0或2 (2)12或3 【分析】(1)根据 是 和 的等比中项列出关系式 ,可得 或 ; (2)当 时, 为常数列,可得 ,进而可得 ; 当 时, ,利用裂项相消法可求得 . 【详解】(1)由题意得 ,因 ,得 ,解得 或 . (2)当 时, ,则 ,所以 . 当 时, ,则 , 所以 . 故 或 . 4.(23-24高三上·山西阳泉·期末)已知数列 的前 项和为 ,点 在函 数 的图象上. (1)求数列 的通项公式; (2)令 ,求数列 的前 项和 . 【答案】(1) (2) 【分析】(1)由题意可得 ,分 和 两种情况,结合 与 之间的关系 运算求解; (2)由(1)可得: ,利用裂项相消法运算求解. 【详解】(1)因为点 均在二次函数 的图象上, 可得 ,则有: 当 时, ; 当 时, ; 且 也符合 ,所以 .(2)由(1)可得: , 所以 , 所以 . 题型三:指数型 1.(23-24高三下·全国·阶段练习)已知首项为1的数列 满足 . (1)求 的通项公式; (2)记数列 的前n项和为 ,证明: . 【答案】(1) ; (2)证明见解析. 【分析】(1)由 ,变形为 ,结合 求 解; (2)由 ,利用裂项相消法求解. 【详解】(1)解:由题意可得 , 即 , 则有 ,又 ,因此 是常数列, 即 ,则 ; (2)设 , , 所以 , , 故 . 2.(23-24高三下·山西·阶段练习)已知数列 的前 项和为 ,且 . (1)求数列 的通项公式; (2)已知 ,数列 的前 项和为 ,若对任意的正整数 ,不等式 都成立,求实数 的取值范围. 【答案】(1) (2) 【分析】(1)降次作差即可得到 ,再根据等比数列的通项公式即可得到答案; (2)裂项求和得到 ,再计算出 的范围即可得到 的范围. 【详解】(1) 时, ,即 ,所以 .时, , 所以 ,即 , 因为 ,所以 , 所以 是首项为1公比为2的等比数列, 所以 . (2)由(1)得 , 所以 . 显然 是递增数列,且 , 所以 ,即 , 所以 ,解得 . 实数 的取值范围是 . 3.(23-24高二上·浙江丽水·期末)已知 为正项数列 的前n项和, 且 . (1)求数列 的通项公式; (2)若 ,求数列 的前n项和 .【答案】(1) (2) 【分析】 (1)利用 变形整理可得数列 为等差数列,利用等差数列的通项公式求解 即可; (2)利用裂项相消法求和. 【详解】(1)由题意知: 且 , 两式相减,可得 , ,可得 , 又 ,当 时, ,即 , 解得 或 (舍去),所以 , 从而 ,所以数列 表示首项为1,公差为1的等差数列, 所以数列 的通项公式为 . (2)由 , 可得 , 所以 . 4.(23-24高三下·重庆大足·阶段练习)设数列 的前 项和为 , 为等比数列,且 , , , 成等差数列. (1)求数列 的通项公式: (2)设 ,数列 的前 项和为 ,证明: . 【答案】(1) (2)证明见解析 【分析】(1)根据题意,由等差数列以及等比数列的定义,列出方程,代入计算,即可得 到结果; (2)根据题意,由(1)可得 ,结合裂项相消法代入计 算,即可证明. 【详解】(1)因为 , , 成等差数列,即 , 又 为等比数列,则 也成等比数列, 则 ,联立解得 , 则数列 的公比为 ,即 ,所以 , 当 时, , 且 也满足上式, 所以数列 的通项公式为 . (2)由(1)知, ,且 ,则 ,记 , 则 , 则 , 因为 ,所以 . 5.(2024·河南南阳·一模)已知数列 ,若 . (1)求证:数列 是等比数列; (2)若数列 的前 项和为 ,不等式 对任意的正整数 恒成立,求实 数 的取值范围. 【答案】(1)证明见解析 (2) 【分析】(1)利用构造法,结合等比数列的定义即可得证; (2)结合(1)中结论,利用裂项相消法求得 ,从而将恒成立不等式转化为 ,再利用对数函数的性质即可得解. 【详解】(1)因为 ,所以 , 又因为 ,所以 是首项为2,公比为2的等比数列. (2)由(1)易知 , 所以 ,所以 ,则 恒成立, 所以要使不等式 对任意正整数 恒成立,只须 , 由题意可得 且 ,则 ,所以 ,解得 , 所以 ,即实数 的取值范围是 . 题型四:通项裂项为“ ”型 1.(23-24高二下·河南南阳·阶段练习)已知正项数列 的前 项和为 ,且 . (1)证明: 是单调递减数列. (2)求数列 的前 项和 . 【答案】(1)证明见解析 (2) 【分析】(1)根据 与 的关系依次求出 , ,再利用作商法可确定数列的单调性. (2)先对通项分母有理化,再分奇偶进行讨论求解. 【详解】(1)证明:当 时, ,得 .因为 ,所以 . 当 时, ,则 , 所以 ,即 . 因为 ,所以数列 是首项为1,公差为1的等差数列,所以 , 因为 为正项数列,所以 . 当 时, , 也适合该式,所以 . 因为 ,且 ,所以 是递减数列. (2)解:由已知得: , 当 为偶数时, , 当 为奇数时, , 所以, 2.(23-24高二下·安徽·开学考试)已知在数列 中, . (1)证明 是等差数列,并求 的通项公式; (2)设 ,数列 的前 项和为 ,求 . 【答案】(1)证明见解析, (2) 【分析】(1)由题中递推数列 化简为 ,从而可求解.(2)由(1)结论可得 ,再利用裂项相消求和从而可求解. 【详解】(1)因为 ,由题意知 , 所以 ,即 , 故数列 是以 为公差的等差数列. 又 ,所以 , 所以 ,即 . (2) , 则 , . 3.(23-24高二上·福建龙岩·期末)在数列 中, ,且 分别是等 差数列 的第1,3项. (1)求数列 和 的通项公式; (2)记 ,求 的前n项和 . 【答案】(1) ,(2) 【分析】(1)由等比数列的定义、等差数列基本量的计算即可得解; (2)由裂项法求和结合对 分类讨论即可求解. 【详解】(1)由题意得 ,所以数列 是以1为首项,2为公比的等比数 列, 所以 , 又因为 ,解得 , 所以数列 是以 为首项, 为公差的等差数列, 所以 . (2)由题意 , 若 , 则 , 若 , 则 , 所以 的前n项和 .4.(23-24高二上·湖北武汉·期末)设数列 的前 项和为 ,已知 , . (1)求 的通项公式; (2)已知数列 ,求数列 的前 项和 . 【答案】(1) (2) 【分析】(1)根据 和 的关系、等比数列的定义即可解答. (2)利用裂项相消求和法即可求解. 【详解】(1)由 , , 当 时, ,即 ; 当 时, ,整理得 ,即 . , 当 时上式也成立. 数列 是以 首项, 为公比的等比数列, 则 ,即 . (2) , .5.(2024·云南昭通·模拟预测)已知数列 满足 . (1)证明:数列 是等差数列,并求数列 的通项公式; (2)记 ,求数列 的前 项和 . 【答案】(1)证明见解析, (2) 【分析】(1)由题意构造出 形式即可得; (2)借助裂项相消法求和即可得. 【详解】(1)因为 ,且 , 所以 ,即 , 又 ,所以数列 是以2为首项,1为公差的等差数列, 所以 ,所以 ;(2)由(1)知 ,所以 , 所以 , 故 . 三、专题06 数列求和(裂项相消法)专项训练 1.(2024·河北邯郸·二模)已知正项数列 的前 项和为 , ,且 . (1)求 的通项公式; (2)若 ,求数列 的前 项和 . 【答案】(1) (2) 【分析】(1)首先求出 ,可证明数列 为首项为 ,公差为 的等差数列,得到 ,利用 得到 的通项公式; (2)由(1)知, ,化简可得 ,利用分组求和以及裂项相消即可求出数列 的前 项和 . 【详解】(1)当 时,由 ,即 ,解得: , 所以 ,则数列 为首项为 ,公差为 的等差数列; 所以 ,则 , 当 时, , 当 时, 满足条件, 所以 的通项公式为 (2)由(1)知, , 所以 , 故 , 即 2.(23-24高二下·云南·阶段练习)已知数列 中, 为 的前 项和, . (1)求数列 的通项公式; (2)令 ,求数列 的前 项和 . 【答案】(1) (2) 或【分析】(1)根据题意,推得 ,且 ,得到 是等比数列,即可求得数列 的通项公式; (2)方法一:由(1)求得 ,结合裂项相消法求和,即可求解; 方法二:由(1)求得 ,分 为奇数和 为偶数,结合相消法求和, 即可求解. 【详解】(1)解:由数列 中, 为 的前 项和, , 当 时, ,两式相减得 , 可得 ,当 时, ,则 , 所以 是等比数列,首项为3,公比为3,所以 , 所以数列 的通项公式为 . (2)解:方法一:由(1)知 , 可得 , 所以 . 方法二:由 , 当 为奇数时,当 为偶数时, 所以数列 的前 项和 . 3.(2024·山西临汾·二模)已知数列 满足 . (1)计算 ,并求数列 的通项公式; (2)设数列 满足 ,求数列 的前 项和 . 【答案】(1) , , (2) 【分析】(1)由 ,可得 ,可得 ,法一:可得 为常数列,可求数列 的通项公式;法 二:可得 ,利用累乘法可求数列 的通项公式; (2)由(1)可得 ,进而可求 的前 项和 . 【详解】(1)由题可知, ,得 , 由 ,得 . 由已知 , 可得 ,两式相减得 . 解法一: 整理得: . 又 满足上式. 从而 对 均成立. 因此 为常数列, 即有 ,故 . 解法二: 整理得: . 又 满足上式. 故 . 即 . 当 时符合上式,故 . (2)由(1)可知 . . 因此 = .4.(23-24高三下·河南·阶段练习)已知数列 满足 (1)求证: 为等比数列; (2)数列 的前n项和为 ,求数列 的前n项和 . 【答案】(1)证明见解析; (2) 【分析】(1)变形给定等式,再利用等比数列定义判断得解. (2)由(1)求出数列 的通项公式及前n项和,再利用裂项相消法求和即得. 【详解】(1)数列 中, ,则 , 而 ,即 , 所以数列 是以2为首项,3为公比的等比数列.. (2)由(1)知, , , , , 所以数列 的前n项和 . 5.(23-24高二下·河南·阶段练习)已知数列 满足 . (1)求 的通项公式;(2)若 ,记数列 的前 项和为 ,求证: . 【答案】(1) ; (2)证明见解析. 【分析】(1)构造等比数列 ,结合等比数列的通项公式,即可求得结果; (2)根据(1)中所求 ,利用裂项求和法,求得 ,再证明即可. 【详解】(1)因为 ,所以 又 , 所以 , 所以 是以9为首项,3为公比的等比数列, 所以 ,所以 . (2)由(1)知 , 所以 ,又 , 所以 . 6.(2024·浙江·二模)已知等差数列 的前n项和为 ,且 . (1)求 ; (2)求数列 的前n项和 . 【答案】(1)(2) 【分析】(1)根据 的关系求通项公式即可; (2)裂项相消法求和即可得解. 【详解】(1)由 ① 所以当 时, ② ① ②得: ,整理得: , 所以 . (2)由(1)知 , 所以 , 所以 . 7.(23-24高二下·河北石家庄·阶段练习)已知等差数列 的前n项的和为 成等差数列,且 成等比数列. (1)求 的通项公式; (2)若 ,数列 的前n项的和为 ,试比较 与 的大小,并证明你的结论. 【答案】(1) (2) ,证明见解析 【分析】(1)根据题意,利用等差中项和等比中项列出方程组,即可解出首项和公差,进而求出 的通项公式; (2)将 化简,利用裂项相消法求和,即可得 ,从而判断 . 【详解】(1)设 的公差为 ,由题意得 , 即 ,解得 , 所以 . (2) , 所以 , 因为 ,所以 ,即 . 8.(23-24高二下·黑龙江哈尔滨·阶段练习)已知正项数列 ,满足 . (1)求 ; (2)若 ,求数列 的前 项和 . 【答案】(1) (2) 【分析】(1)利用 的关系,结合已知条件以及等差数列的通项公式即可求得结果; (2)根据(1)求出 ,利用裂项求和法求得结果.【详解】(1)由 ,可得 , , 两式相减得 ,又 , ,即 , ,又 ,解得 , 所以数列 是以3为首项,以2为公差的等差数列, . (2)由(1), , 所以 . 9.(23-24高二下·陕西西安·阶段练习)已知数列 为等差数列,数列 满足 ,若 , , 成等比数列,且 . (1)求 , ; (2)求数列 的前n项和 . 【答案】(1) , (2) 【分析】(1)设等差数列 的公差为 ,利用等差数列的通项公式及等比中项的性质列 方程组求解即可; (2)利用裂项相消法求和即可得解.【详解】(1)设等差数列 的公差为 ,又 , 由 ,得 ,解得 , 又 , 因为 , , 成等比数列, 所以 ,解得 , 所以 , ; (2)由(1)得 , 所以 . 10.(23-24高三上·云南德宏·期末)在等差数列 与等比数列 中,已知 , ,且 , . (1)求数列 , 的通项公式; (2)若 ,求数列 的前 项和 . 【答案】(1) , (2) 【分析】(1)由等差数列和等比数列的通项公式和等差中项可解; (2)根据裂项相消法求和. 【详解】(1)由题意,令公差为 ,公比为 . 由 ,即 ,有 ;, , ; 由 ,即 ,有 . , . (2)由(1)有 . 则有 . 11.(2024·全国·模拟预测)已知数列 满足 ,记 . (1)求数列 的通项公式; (2)已知 ,记数列 的前 项和为 .求证: . 【答案】(1) (2)证明见解析 【分析】(1)首先构造数列 是等比数列,求数列 的通项公式,再代入条 件,即可求解数列 的通项公式; (2)由(1)的结果可知,数列 的通项公式,并变形为,再讨论 为奇数和偶数,采用累加 法求和,最后结合数列的单调性,即可证明. 【详解】(1)由 ,则 .又 , 所以数列 是以1为首项,3为公比的等比数列,所以 . 所以 . (2)因为 , 所以 , 所以 . 当 为奇数时, . 当 为偶数时, 是递增数列,所以 . 综上, 12.(2024·全国·模拟预测)已知数列 的前 项积为 . (1)求证:数列 是等差数列,并求数列 的通项公式; (2)令 ,求数列 的前 项和 . 【答案】(1)证明见解析; ; (2) (或 )【分析】(1)由前 项积定义可得 ,再由等差数列定义即可得出证明,并 求得数列 的通项公式为 ; (2)利用裂项相消法求和,对 的奇偶进行分类讨论即可得 . 【详解】(1)由题意得当 时, . 因为 ,所以 ,解得以 . 当 时, ,即 ,因此 . 所以数列 是以3为首项,2为公差的等差数列, 可得 . 所以 . (2)由题意知 . 当 为偶数时, ; 当 为奇数时, . 所以 (或 )