当前位置:首页>文档>专题06数列求和(裂项相消法)(典型题型归类训练)(解析版)_2.2025数学总复习_2024年新高考资料_3.2024专项复习_解题思路训练2024年高考数学复习解答题提优秘籍(新高考专用)_数列

专题06数列求和(裂项相消法)(典型题型归类训练)(解析版)_2.2025数学总复习_2024年新高考资料_3.2024专项复习_解题思路训练2024年高考数学复习解答题提优秘籍(新高考专用)_数列

  • 2026-04-01 01:09:37 2026-03-11 23:15:24

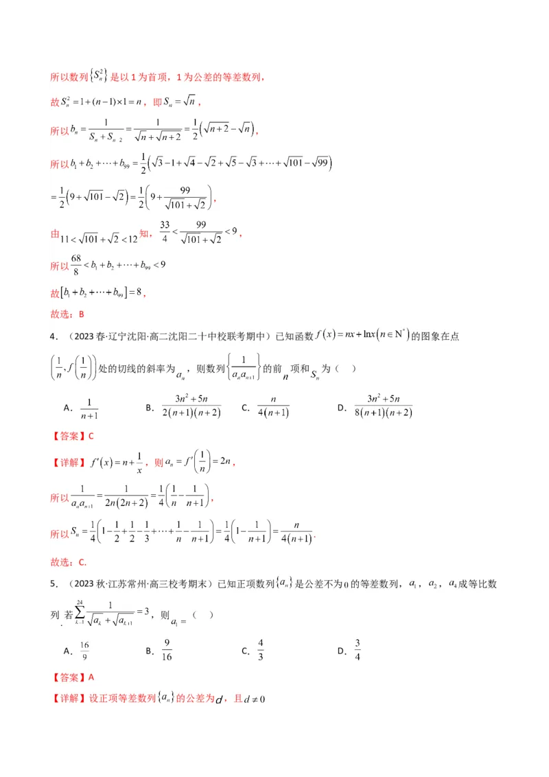
文档预览

专题06数列求和(裂项相消法)(典型题型归类训练)(解析版)_2.2025数学总复习_2024年新高考资料_3.2024专项复习_解题思路训练2024年高考数学复习解答题提优秘籍(新高考专用)_数列
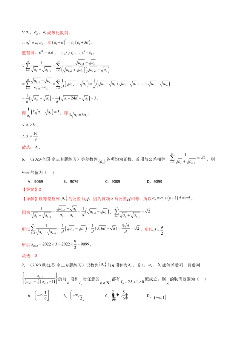
专题06数列求和(裂项相消法)(典型题型归类训练)(解析版)_2.2025数学总复习_2024年新高考资料_3.2024专项复习_解题思路训练2024年高考数学复习解答题提优秘籍(新高考专用)_数列
专题06数列求和(裂项相消法)(典型题型归类训练)(解析版)_2.2025数学总复习_2024年新高考资料_3.2024专项复习_解题思路训练2024年高考数学复习解答题提优秘籍(新高考专用)_数列
专题06数列求和(裂项相消法)(典型题型归类训练)(解析版)_2.2025数学总复习_2024年新高考资料_3.2024专项复习_解题思路训练2024年高考数学复习解答题提优秘籍(新高考专用)_数列
专题06数列求和(裂项相消法)(典型题型归类训练)(解析版)_2.2025数学总复习_2024年新高考资料_3.2024专项复习_解题思路训练2024年高考数学复习解答题提优秘籍(新高考专用)_数列
专题06数列求和(裂项相消法)(典型题型归类训练)(解析版)_2.2025数学总复习_2024年新高考资料_3.2024专项复习_解题思路训练2024年高考数学复习解答题提优秘籍(新高考专用)_数列
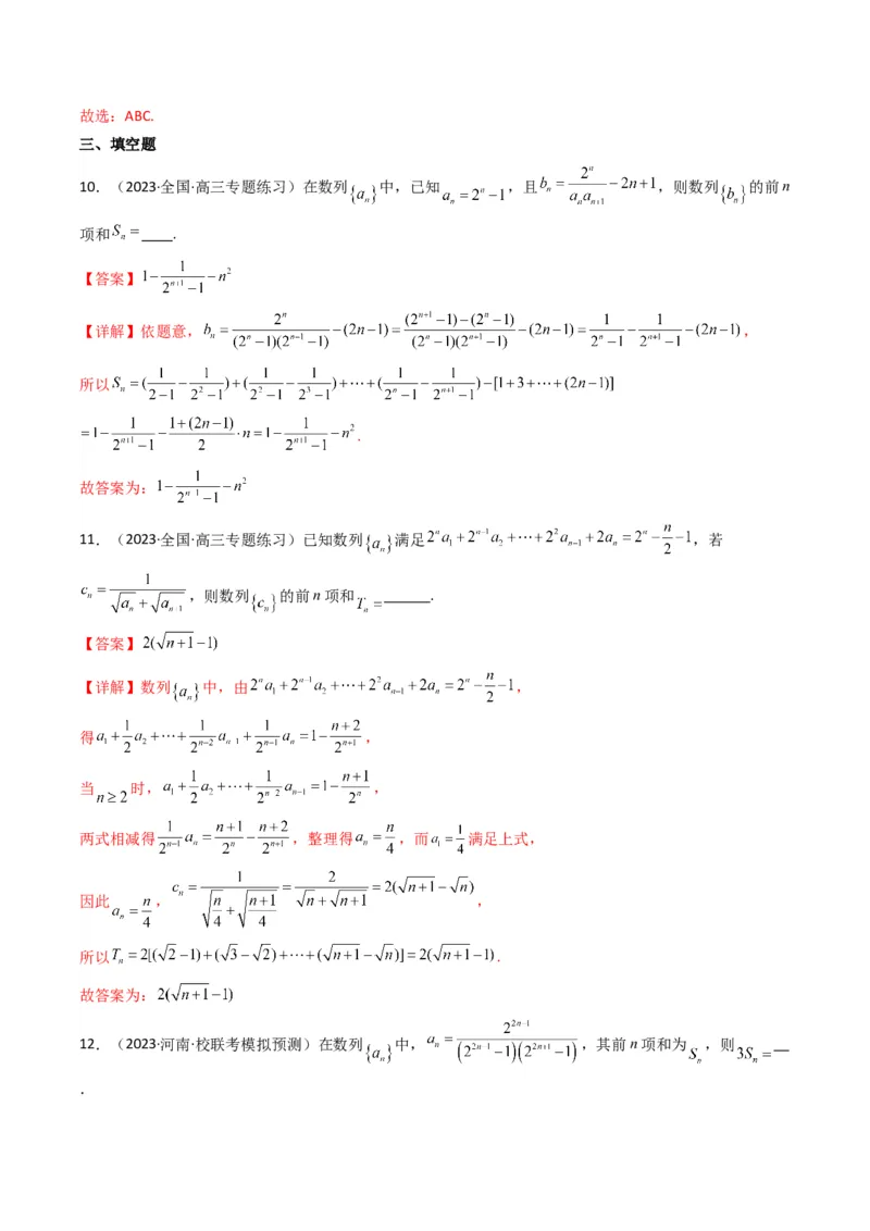
专题06数列求和(裂项相消法)(典型题型归类训练)(解析版)_2.2025数学总复习_2024年新高考资料_3.2024专项复习_解题思路训练2024年高考数学复习解答题提优秘籍(新高考专用)_数列
专题06数列求和(裂项相消法)(典型题型归类训练)(解析版)_2.2025数学总复习_2024年新高考资料_3.2024专项复习_解题思路训练2024年高考数学复习解答题提优秘籍(新高考专用)_数列
专题06数列求和(裂项相消法)(典型题型归类训练)(解析版)_2.2025数学总复习_2024年新高考资料_3.2024专项复习_解题思路训练2024年高考数学复习解答题提优秘籍(新高考专用)_数列
专题06数列求和(裂项相消法)(典型题型归类训练)(解析版)_2.2025数学总复习_2024年新高考资料_3.2024专项复习_解题思路训练2024年高考数学复习解答题提优秘籍(新高考专用)_数列
专题06数列求和(裂项相消法)(典型题型归类训练)(解析版)_2.2025数学总复习_2024年新高考资料_3.2024专项复习_解题思路训练2024年高考数学复习解答题提优秘籍(新高考专用)_数列
专题06数列求和(裂项相消法)(典型题型归类训练)(解析版)_2.2025数学总复习_2024年新高考资料_3.2024专项复习_解题思路训练2024年高考数学复习解答题提优秘籍(新高考专用)_数列
专题06数列求和(裂项相消法)(典型题型归类训练)(解析版)_2.2025数学总复习_2024年新高考资料_3.2024专项复习_解题思路训练2024年高考数学复习解答题提优秘籍(新高考专用)_数列
专题06数列求和(裂项相消法)(典型题型归类训练)(解析版)_2.2025数学总复习_2024年新高考资料_3.2024专项复习_解题思路训练2024年高考数学复习解答题提优秘籍(新高考专用)_数列
专题06数列求和(裂项相消法)(典型题型归类训练)(解析版)_2.2025数学总复习_2024年新高考资料_3.2024专项复习_解题思路训练2024年高考数学复习解答题提优秘籍(新高考专用)_数列
专题06数列求和(裂项相消法)(典型题型归类训练)(解析版)_2.2025数学总复习_2024年新高考资料_3.2024专项复习_解题思路训练2024年高考数学复习解答题提优秘籍(新高考专用)_数列
专题06数列求和(裂项相消法)(典型题型归类训练)(解析版)_2.2025数学总复习_2024年新高考资料_3.2024专项复习_解题思路训练2024年高考数学复习解答题提优秘籍(新高考专用)_数列
专题06数列求和(裂项相消法)(典型题型归类训练)(解析版)_2.2025数学总复习_2024年新高考资料_3.2024专项复习_解题思路训练2024年高考数学复习解答题提优秘籍(新高考专用)_数列
专题06数列求和(裂项相消法)(典型题型归类训练)(解析版)_2.2025数学总复习_2024年新高考资料_3.2024专项复习_解题思路训练2024年高考数学复习解答题提优秘籍(新高考专用)_数列
专题06数列求和(裂项相消法)(典型题型归类训练)(解析版)_2.2025数学总复习_2024年新高考资料_3.2024专项复习_解题思路训练2024年高考数学复习解答题提优秘籍(新高考专用)_数列
专题06数列求和(裂项相消法)(典型题型归类训练)(解析版)_2.2025数学总复习_2024年新高考资料_3.2024专项复习_解题思路训练2024年高考数学复习解答题提优秘籍(新高考专用)_数列
专题06数列求和(裂项相消法)(典型题型归类训练)(解析版)_2.2025数学总复习_2024年新高考资料_3.2024专项复习_解题思路训练2024年高考数学复习解答题提优秘籍(新高考专用)_数列
专题06数列求和(裂项相消法)(典型题型归类训练)(解析版)_2.2025数学总复习_2024年新高考资料_3.2024专项复习_解题思路训练2024年高考数学复习解答题提优秘籍(新高考专用)_数列
专题06数列求和(裂项相消法)(典型题型归类训练)(解析版)_2.2025数学总复习_2024年新高考资料_3.2024专项复习_解题思路训练2024年高考数学复习解答题提优秘籍(新高考专用)_数列

文档信息

文档格式
docx
文档大小
1.170 MB
文档页数
24 页
上传时间
2026-03-11 23:15:24

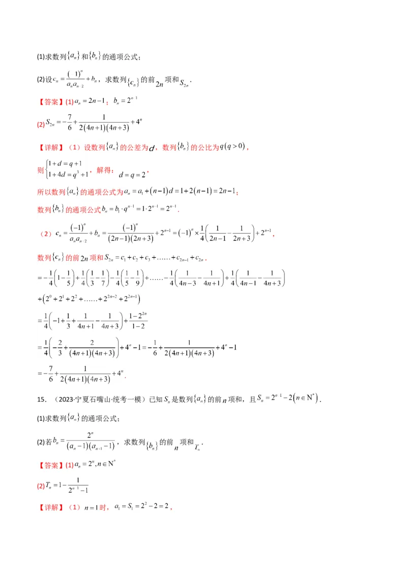
文档内容

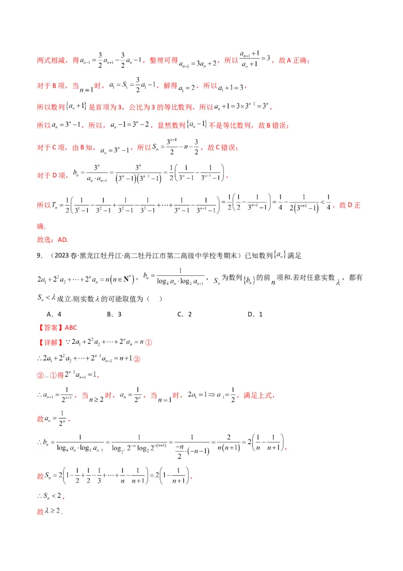
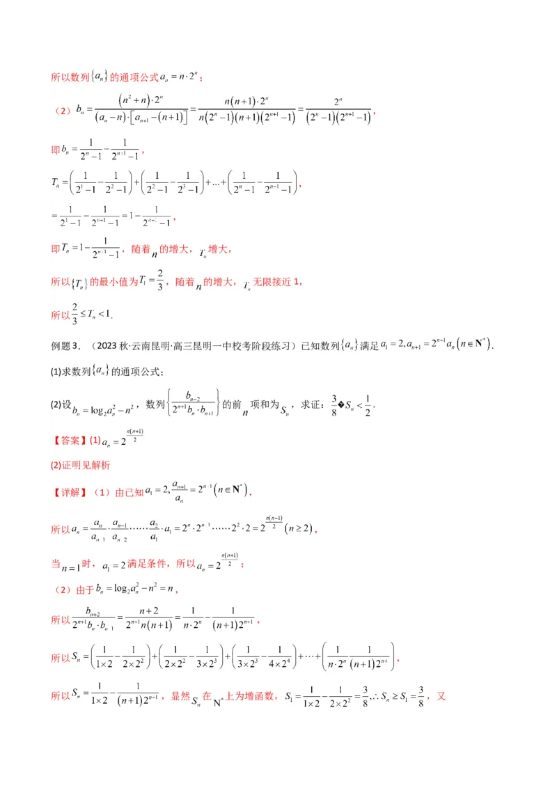
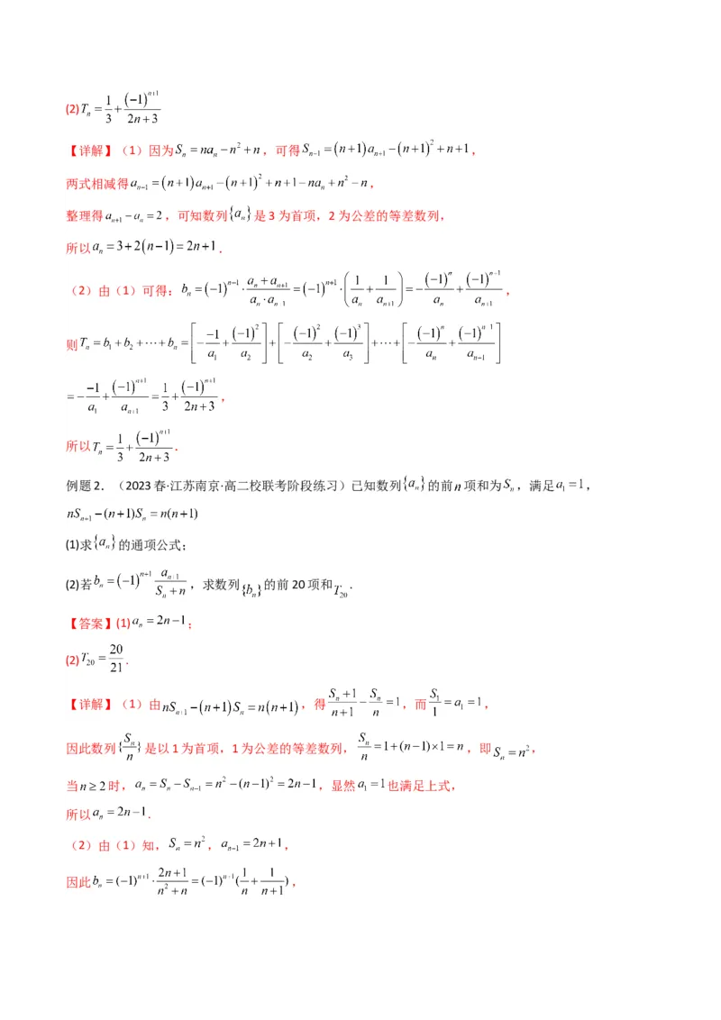
专题 06 数列求和(裂项相消法)(典型题型归类训练) 目录 一、必备秘籍........................................................1 二、典型题型........................................................2 题型一:等差型...................................................2 题型二:无理型...................................................5 题型三:指数型...................................................8 题型四:通项裂项为“ ”型.......................................11 三、专题06 数列求和(裂项相消法)专项训练..........................13 一、必备秘籍 常见的裂项技巧 类型一:等差型 1 1 1 1 ① = ( − ) n(n+k) k n n+k 1 1 1 1 1 1 特别注意k=1, = − ;k=−1, = − n(n+1) n n+1 n(n−1) n−1 n ② 1 1 1 1 1 如: = ( − )(尤其要注意不能丢前边的 ) 4n2 −1 2 2n−1 2n+1 2 类型二:无理型 1 1 ① = (√n+k−√n) √n+k+√n k如: 类型三:指数型 ① 如: 类型四:通项裂项为“ ”型 如:① ② 本类模型典型标志在通项中含有 乘以一个分式. 二、典型题型 题型一:等差型 例题1.(2023秋·四川成都·高三校考阶段练习)已知等差数列 的前n项和为 (1)求数列 的通项公式; (2)设 ,求数列 的前n项和 . 【答案】(1) (2) 【详解】(1)设等差数列 的公差为 ,因为 , 所以 ,解得 , 所以 , 所以数列 的通项公式为(2)因为 , 所以 . 所以数列 的前n项和 . 例题2.(2023秋·甘肃白银·高二校考阶段练习)在① , ,② 这三个条件中任 选一个,补充在下面的问题中,并解答问题. (1)已知数列 的前n项和为 ,______,求 的通项公式; (2)数列 满足 ,求数列 的前n项和 . 【答案】(1)答案详见解析 (2)答案详见解析 【详解】(1)选条件①: , , 解法一:由 , ,得 , , 当 时, , 所以 , 又 也符合 ,所以 . 解法二:由 ,得 , 所以数列 是常数列, 所以 , 所以 . 选条件②, , 时, , 又 ,显然不符合上式,所以 . (2)选条件①: ,所以 . 因此 , 所以 . 选条件②, , 当 时, , 又 ,符合 ,所以 . 例题3.(2023秋·福建宁德·高二福建省宁德第一中学校考阶段练习)已知数列 满足 , . (1)判断数列 是否是等比数列?若是,给出证明;否则,请说明理由; (2)若数列 的前10项和为361,记 ,数列 的前 项和为 ,求证: . 【答案】(1)数列 成等比数列,证明见解析 (2)证明见解析 【详解】(1)数列 成等比数列,证明如下: 根据 得, ; , , ,即数列 成等比数列. (2)由(1)得, , , 故 , 由 ,得 . 令 , 当 时, 单调递增,且 ,故 , , , , , 当 时, , 综上,知 例题4.(2023秋·陕西商洛·高三陕西省山阳中学校联考阶段练习)记递增的等差数列 的前n项和为 ,已知 ,且 . (1)求 和 ; (2)设 ,求数列 的前n项和 . 【答案】(1) , (2) 【详解】(1)设 的公差为d( ). 因为 ,所以 , 由 得 ,解得 , 所以 ,得 , 所以 , . (2)由(1)得, , 所以 .题型二:无理型 例题1.(2023·河南·校联考模拟预测)已知等差数列 的前n项和为 , ,且 , , 成等比 数列. (1)求数列 的通项公式; (2)当数列 的公差不为0时,记数列 的前n项和为 ,求证: . 【答案】(1) 或 (2)证明见解析 【详解】(1)设数列 的公差为d, 由 , , 成等比数列,得 , 即 , 即 ,解得 或 . 当 时, ; 当 时, . 综上所述, 或 . (2)由(1)可知,当数列 的公差不为0时, , ,则 , , 所以 , 又 ,所以 . 例题2.(2023秋·广东·高三河源市河源中学校联考阶段练习)在等比数列 中, ,且 成等差数列. (1)求数列 的通项公式;(2)记 ,数列 的前 项和为 ,求不等式 的解集. 【答案】(1) (2) 【详解】(1)解:设数列 的公比为 , 因为 成等差数列,所以 ,即 , 又因为 ,则 ,即 ,解得 , 所以数列 的通项公式为 . (2)解:由 ,可得 , 所以 又由 ,可得 ,即 , 即 ,所以 ,所以不等式的解集为 . 例题3.(2023秋·湖南长沙·高三长沙一中校考阶段练习)设各项均不为零的数列 的前 项和为 ,且对于任意 ,满足 . (1)求数列 的通项公式; (2)设 ,求数列 的前99项和. 【答案】(1) (2)9 【详解】(1)由题知 . 当 时, ; 当 时, ,所以 , 所以数列 是首项为1,公差为2的等差数列,数列 是首项为2,公差也为2的等差数列, 则 , 所以 .(2)由(1)得, , 即 . 例题4.(2023·重庆·统考三模)已知等差数列 的前 项和为 , , . (1)求 的通项公式; (2)设 ,数列 的前 项和为 ,证明:当 时, . 【答案】(1) (2)证明见解析 【详解】(1)设公差为 ,则 ,即 ,解得 , 所以 . (2) , 所以 , 所以 , 所以 , 当 时, , 所以当 时, . 题型三:指数型 例题1.(2023秋·黑龙江哈尔滨·高三哈师大附中校考阶段练习)已知数列 为等差数列,且 , . (1)求 的通项公式;(2)数列 满足 ,数列 的前 项和为 ,求证: . 【答案】(1) (2)证明见解析 【详解】(1)设等差数列 的公差为 , 则 ,解得: , . (2)由(1)得: , , , . 例题2.(2023秋·福建宁德·高二福鼎市第一中学校考阶段练习)已知数列 的前 项和为 . (1)求数列 的通项公式; (2)设 ,数列 的前 项和为 ,证明: . 【答案】(1) (2)证明见解析 【详解】(1)当 时, ,得 , 当 时, , 则 , ,即 ,两边同时除以 , 得 ,即数列 是首项为 ,公差为1的等差数列, ,即 ,所以数列 的通项公式 ; (2) , 即 , , , 即 ,随着 的增大, 增大, 所以 的最小值为 ,随着 的增大, 无限接近1, 所以 . 例题3.(2023秋·云南昆明·高三昆明一中校考阶段练习)已知数列 满足 . (1)求数列 的通项公式; (2)设 ,数列 的前 项和为 ,求证: . 【答案】(1) (2)证明见解析 【详解】(1)由已知 , 所以 , 当 时, 满足条件,所以 ; (2)由于 , 所以 , 所以 , 所以 ,显然 在 上为增函数, ,又, 所以 ; 综上, . 例题4.(2023·广西南宁·南宁市武鸣区武鸣高级中学校考二模)已知数列 满足 ( 且 ),且 . (1)求数列 的通项公式; (2)设数列 的前n项和为 ,求证: . 【答案】(1) (2)证明见解析 【详解】(1)因为 ,所以 , 两式相减得 , 当 时, , 又 ,所以 , 所以 , 所以 是首项为2,公比为2的等比数列,所以 ; (2)因为 , 所以 , 因为 ,所以 ,得证. 题型四:通项裂项为“ ”型 例题1.(2023·浙江嘉兴·统考模拟预测)记 为数列 的前 项和,且 , . (1)求数列 的通项公式; (2)设 ,求数列 的前 项和 . 【答案】(1)(2) 【详解】(1)因为 ,可得 , 两式相减得 , 整理得 ,可知数列 是3为首项,2为公差的等差数列, 所以 . (2)由(1)可得: , 则 , 所以 . 例题2.(2023春·江苏南京·高二校联考阶段练习)已知数列 的前 项和为 ,满足 , (1)求 的通项公式; (2)若 ,求数列 的前20项和 . 【答案】(1) ; (2) . 【详解】(1)由 ,得 ,而 , 因此数列 是以1为首项,1为公差的等差数列, ,即 , 当 时, ,显然 也满足上式, 所以 . (2)由(1)知, , , 因此 ,所以 . 例题3.(2023秋·云南·高三云南师大附中校考阶段练习)已知数列 满足: , . (1)证明: 是等比数列,并求 的通项公式; (2)令 ,求 的前n项和 . 【答案】(1)证明见解析, (2) 【详解】(1)证明:由 , 所以 , 所以 是以 为首项,公比为 的等比数列, 所以 ,即 (2)由(1)知: ,所以 . 又 , 例题4.(2023·湖北襄阳·襄阳四中校考模拟预测)设正项数列 的前n项和为 ,已知 ,且 . (1)求 的通项公式; (2)若 ,求数列 的前n项和 . 【答案】(1) ; (2) 【详解】(1)因为 ,所以 ①,所以 时, ②. 由 ,得 ,即 . 因为 各项均为正数,所以 ,即 , 因为 ,所以 , ,解得 , , , 所以数列 是公差为2的等差数列, 所以 . (2)由(1)得 . 当n为偶数时, ; 当n为奇数时, . 所以 三、专题06 数列求和(裂项相消法)专项训练 一、单选题 1.(2023春·河南周口·高二校联考阶段练习)已知数列 的通项公式为 ,则 ( ) A. B. C. D. 【答案】C【详解】由题意得 则 即 , 故 . 故选:C. 2.(2023秋·河南郑州·高三郑州外国语学校校考阶段练习)等比数列 中, ,数列 , 的前n项和为 ,则满足 的n的最小值为( ) A.6 B.7 C.8 D.9 【答案】A 【详解】由题意得 ,所以 , 所以 , 令 ,整理得 ,解得 , 故选:A. 3.(2023·全国·高三专题练习)高斯是德国著名的数学家,近代数学奠基者之一,享有“数学王子”的称 号.用他名字定义的函数称为高斯函数 ,其中 表示不超过x的最大整数.已知正项数列 的前n项和为 ,且 ,令 ,则 ( ) A.7 B.8 C.17 D.18 【答案】B 【详解】当 时, , 解得 (负值舍去). 由 可得 , 所以 ,即 ,所以数列 是以1为首项,1为公差的等差数列, 故 ,即 , 所以 , 所以 , 由 知, , 所以 故 , 故选:B 4.(2023春·辽宁沈阳·高二沈阳二十中校联考期中)已知函数 的图象在点 处的切线的斜率为 ,则数列 的前 项和 为( ) A. B. C. D. 【答案】C 【详解】 ,则 , 所以 , 所以 . 故选:C. 5.(2023秋·江苏常州·高三校考期末)已知正项数列 是公差不为 的等差数列, , , 成等比数 列 若 ,则 ( ) A. B. C. D. 【答案】A 【详解】设正项等差数列 的公差为 ,且, , 成等比数列, ,即 , 整理得, , , , , 即 ,即 , , . 故选: . 6.(2023·全国·高三专题练习)等差数列 各项均为正数,首项与公差相等, ,则 的值为( ) A.9069 B.9079 C.9089 D.9099 【答案】D 【详解】设等差数列 的公差为 ,因为首项 与公差 相等,所以 , 因为 , 所以 ,所以 所以 , 故选:D. 7.(2023秋·江苏·高二专题练习)记数列 前 项和为 ,若1, , 成等差数列,且数列 的前 项和 对任意的 都有 恒成立,则 的取值范围为( ) A. B. C. D.【答案】C 【详解】数列 前 项和为 ,若1, , 成等差数列, 所以 ①, 当 时, . 当 时, ②, ①﹣②得 ,整理得 (常数), 所以数列 是以1为首项,2为公比的等比数列. 所以 . 所以 , 则 . 由于对任意的 都有 恒成立, 所以 恒成立. 即 , 当 时, , 所以 ,解得 , 所以 . 故选:C 二、多选题 8.(2023春·江苏盐城·高二江苏省响水中学校考期中)已知数列 的前 项和 满足 , ,且 , ,数列 的前 项和为 ,则( ) A.数列 是等比数列 B.数列 是等比数列 C. D. 【答案】AD 【详解】对于A项, 由 ,得 ,两式相减,得 ,整理可得 ,所以 ,故A正确; 对于B项,当 时, ,解得 ,所以 , 所以数列 是首项为3,公比为3的等比数列,所以 , 所以 ,所以, ,显然数列 不是等比数列,故B错误; 对于C项,由B知, ,所以 ,故C错误; 对于D项, , 所以 ,故D正 确. 故选:AD. 9.(2023春·黑龙江牡丹江·高二牡丹江市第二高级中学校考期末)已知数列 满足 , , 为数列 的前 项和.若对任意实数 ,都有 成立.则实数 的可能取值为( ) A.4 B.3 C.2 D.1 【答案】ABC 【详解】 ① ② ② ①得 , ,当 时, ,当 时, ,满足上式, 故 , , 故 , , 故 .故选:ABC. 三、填空题 10.(2023·全国·高三专题练习)在数列 中,已知 ,且 ,则数列 的前n 项和 . 【答案】 【详解】依题意, , 所以 . 故答案为: 11.(2023·全国·高三专题练习)已知数列 满足 ,若 ,则数列 的前n项和 . 【答案】 【详解】数列 中,由 , 得 , 当 时, , 两式相减得 ,整理得 ,而 满足上式, 因此 , , 所以 . 故答案为: 12.(2023·河南·校联考模拟预测)在数列 中, ,其前n项和为 ,则 .【答案】 【详解】因为 , 所以 ,所以 . 故答案为: . 四、解答题 13.(2023春·陕西西安·高二校考期中)设数列 满足 , . (1)计算 , ,猜想 的通项公式并用数学归纳法加以证明; (2)若数列 的前 项和为 ,证明: . 【答案】(1) ,证明详见解析 (2)证明详见解析 【详解】(1)依题意, , ,则 , 所以 , 猜想 . 当 时, 成立, 假设当 时,猜想成立,即 , 则当 时, ,猜想成立, 所以 . (2) , 所以 . 14.(2023春·山东德州·高二德州市第一中学校考期中)已知数列 为等差数列,数列 为正项等比 数列,且满足 , , .(1)求数列 和 的通项公式; (2)设 ,求数列 的前 项和 . 【答案】(1) ; (2) 【详解】(1)设数列 的公差为 ,数列 的公比为 , 则 ,解得: , 所以数列 的通项公式为 ; 数列 的通项公式 . (2) , 数列 的前 项和 . . 15.(2023·宁夏石嘴山·统考一模)已知 是数列 的前 项和,且 . (1)求数列 的通项公式; (2)若 ,求数列 的前 项和 . 【答案】(1) (2) 【详解】(1) 时, ,时 , 经验证 时满足 , ; (2) , . 16.(2023·全国·高二专题练习)已知 为正项数列 的前 项的乘积,且 , . (1)求 的通项公式; (2)若 ,求证: . 【答案】(1) (2)证明见解析 【详解】(1)已知 为正项数列 的前 项的乘积,且 , , 则当 时有 ,即 ,即 , 即 ,则 且 为常数列,故 ,即 , 又 满足上式,即数列 的通项公式为 ; (2)证明:由(1)可得 , 则 ,故命题得证. 17.(2023·四川遂宁·射洪中学校考模拟预测)已知数列 的前n项和为 ,且 . (1)求 的通项公式; (2)若 ,求数列 的前n项和 . 【答案】(1)(2) 【详解】(1)由已知 ①, 当 时, ,即 ,解得 , 当 时, ②, ① ②得 ,即 , 所以数列 是以 为首项, 为公比的等比数列, 所以 ; (2)因为 , 所以 .