当前位置:首页>文档>第18讲解三角形(教师版)_2.2025数学总复习_2023年新高考资料_二轮复习_备战2023年高考数学二轮复习对点题型(新高考专用)_第18讲解三角形

第18讲解三角形(教师版)_2.2025数学总复习_2023年新高考资料_二轮复习_备战2023年高考数学二轮复习对点题型(新高考专用)_第18讲解三角形

  • 2026-04-12 08:29:23 2026-03-25 06:47:21

文档预览

第18讲解三角形(教师版)_2.2025数学总复习_2023年新高考资料_二轮复习_备战2023年高考数学二轮复习对点题型(新高考专用)_第18讲解三角形
第18讲解三角形(教师版)_2.2025数学总复习_2023年新高考资料_二轮复习_备战2023年高考数学二轮复习对点题型(新高考专用)_第18讲解三角形
第18讲解三角形(教师版)_2.2025数学总复习_2023年新高考资料_二轮复习_备战2023年高考数学二轮复习对点题型(新高考专用)_第18讲解三角形
第18讲解三角形(教师版)_2.2025数学总复习_2023年新高考资料_二轮复习_备战2023年高考数学二轮复习对点题型(新高考专用)_第18讲解三角形
第18讲解三角形(教师版)_2.2025数学总复习_2023年新高考资料_二轮复习_备战2023年高考数学二轮复习对点题型(新高考专用)_第18讲解三角形
第18讲解三角形(教师版)_2.2025数学总复习_2023年新高考资料_二轮复习_备战2023年高考数学二轮复习对点题型(新高考专用)_第18讲解三角形
第18讲解三角形(教师版)_2.2025数学总复习_2023年新高考资料_二轮复习_备战2023年高考数学二轮复习对点题型(新高考专用)_第18讲解三角形
第18讲解三角形(教师版)_2.2025数学总复习_2023年新高考资料_二轮复习_备战2023年高考数学二轮复习对点题型(新高考专用)_第18讲解三角形
第18讲解三角形(教师版)_2.2025数学总复习_2023年新高考资料_二轮复习_备战2023年高考数学二轮复习对点题型(新高考专用)_第18讲解三角形
第18讲解三角形(教师版)_2.2025数学总复习_2023年新高考资料_二轮复习_备战2023年高考数学二轮复习对点题型(新高考专用)_第18讲解三角形
第18讲解三角形(教师版)_2.2025数学总复习_2023年新高考资料_二轮复习_备战2023年高考数学二轮复习对点题型(新高考专用)_第18讲解三角形
第18讲解三角形(教师版)_2.2025数学总复习_2023年新高考资料_二轮复习_备战2023年高考数学二轮复习对点题型(新高考专用)_第18讲解三角形
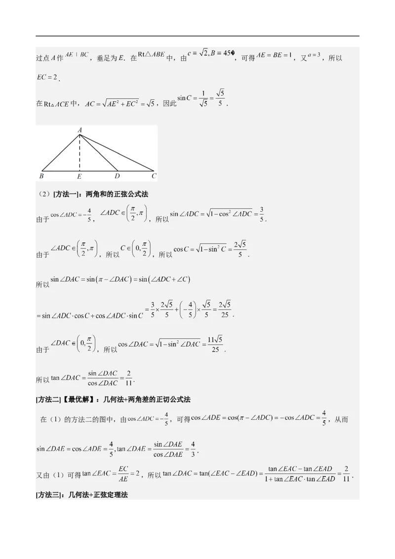
第18讲解三角形(教师版)_2.2025数学总复习_2023年新高考资料_二轮复习_备战2023年高考数学二轮复习对点题型(新高考专用)_第18讲解三角形
第18讲解三角形(教师版)_2.2025数学总复习_2023年新高考资料_二轮复习_备战2023年高考数学二轮复习对点题型(新高考专用)_第18讲解三角形
第18讲解三角形(教师版)_2.2025数学总复习_2023年新高考资料_二轮复习_备战2023年高考数学二轮复习对点题型(新高考专用)_第18讲解三角形
第18讲解三角形(教师版)_2.2025数学总复习_2023年新高考资料_二轮复习_备战2023年高考数学二轮复习对点题型(新高考专用)_第18讲解三角形
第18讲解三角形(教师版)_2.2025数学总复习_2023年新高考资料_二轮复习_备战2023年高考数学二轮复习对点题型(新高考专用)_第18讲解三角形
第18讲解三角形(教师版)_2.2025数学总复习_2023年新高考资料_二轮复习_备战2023年高考数学二轮复习对点题型(新高考专用)_第18讲解三角形
第18讲解三角形(教师版)_2.2025数学总复习_2023年新高考资料_二轮复习_备战2023年高考数学二轮复习对点题型(新高考专用)_第18讲解三角形
第18讲解三角形(教师版)_2.2025数学总复习_2023年新高考资料_二轮复习_备战2023年高考数学二轮复习对点题型(新高考专用)_第18讲解三角形
第18讲解三角形(教师版)_2.2025数学总复习_2023年新高考资料_二轮复习_备战2023年高考数学二轮复习对点题型(新高考专用)_第18讲解三角形
第18讲解三角形(教师版)_2.2025数学总复习_2023年新高考资料_二轮复习_备战2023年高考数学二轮复习对点题型(新高考专用)_第18讲解三角形
第18讲解三角形(教师版)_2.2025数学总复习_2023年新高考资料_二轮复习_备战2023年高考数学二轮复习对点题型(新高考专用)_第18讲解三角形
第18讲解三角形(教师版)_2.2025数学总复习_2023年新高考资料_二轮复习_备战2023年高考数学二轮复习对点题型(新高考专用)_第18讲解三角形
第18讲解三角形(教师版)_2.2025数学总复习_2023年新高考资料_二轮复习_备战2023年高考数学二轮复习对点题型(新高考专用)_第18讲解三角形
第18讲解三角形(教师版)_2.2025数学总复习_2023年新高考资料_二轮复习_备战2023年高考数学二轮复习对点题型(新高考专用)_第18讲解三角形
第18讲解三角形(教师版)_2.2025数学总复习_2023年新高考资料_二轮复习_备战2023年高考数学二轮复习对点题型(新高考专用)_第18讲解三角形
第18讲解三角形(教师版)_2.2025数学总复习_2023年新高考资料_二轮复习_备战2023年高考数学二轮复习对点题型(新高考专用)_第18讲解三角形
第18讲解三角形(教师版)_2.2025数学总复习_2023年新高考资料_二轮复习_备战2023年高考数学二轮复习对点题型(新高考专用)_第18讲解三角形
第18讲解三角形(教师版)_2.2025数学总复习_2023年新高考资料_二轮复习_备战2023年高考数学二轮复习对点题型(新高考专用)_第18讲解三角形
第18讲解三角形(教师版)_2.2025数学总复习_2023年新高考资料_二轮复习_备战2023年高考数学二轮复习对点题型(新高考专用)_第18讲解三角形
第18讲解三角形(教师版)_2.2025数学总复习_2023年新高考资料_二轮复习_备战2023年高考数学二轮复习对点题型(新高考专用)_第18讲解三角形
第18讲解三角形(教师版)_2.2025数学总复习_2023年新高考资料_二轮复习_备战2023年高考数学二轮复习对点题型(新高考专用)_第18讲解三角形
第18讲解三角形(教师版)_2.2025数学总复习_2023年新高考资料_二轮复习_备战2023年高考数学二轮复习对点题型(新高考专用)_第18讲解三角形
第18讲解三角形(教师版)_2.2025数学总复习_2023年新高考资料_二轮复习_备战2023年高考数学二轮复习对点题型(新高考专用)_第18讲解三角形
第18讲解三角形(教师版)_2.2025数学总复习_2023年新高考资料_二轮复习_备战2023年高考数学二轮复习对点题型(新高考专用)_第18讲解三角形
第18讲解三角形(教师版)_2.2025数学总复习_2023年新高考资料_二轮复习_备战2023年高考数学二轮复习对点题型(新高考专用)_第18讲解三角形
第18讲解三角形(教师版)_2.2025数学总复习_2023年新高考资料_二轮复习_备战2023年高考数学二轮复习对点题型(新高考专用)_第18讲解三角形
第18讲解三角形(教师版)_2.2025数学总复习_2023年新高考资料_二轮复习_备战2023年高考数学二轮复习对点题型(新高考专用)_第18讲解三角形
第18讲解三角形(教师版)_2.2025数学总复习_2023年新高考资料_二轮复习_备战2023年高考数学二轮复习对点题型(新高考专用)_第18讲解三角形
第18讲解三角形(教师版)_2.2025数学总复习_2023年新高考资料_二轮复习_备战2023年高考数学二轮复习对点题型(新高考专用)_第18讲解三角形
第18讲解三角形(教师版)_2.2025数学总复习_2023年新高考资料_二轮复习_备战2023年高考数学二轮复习对点题型(新高考专用)_第18讲解三角形
第18讲解三角形(教师版)_2.2025数学总复习_2023年新高考资料_二轮复习_备战2023年高考数学二轮复习对点题型(新高考专用)_第18讲解三角形
第18讲解三角形(教师版)_2.2025数学总复习_2023年新高考资料_二轮复习_备战2023年高考数学二轮复习对点题型(新高考专用)_第18讲解三角形

文档信息

文档格式
docx
文档大小
2.599 MB
文档页数
44 页
上传时间
2026-03-25 06:47:21

文档内容

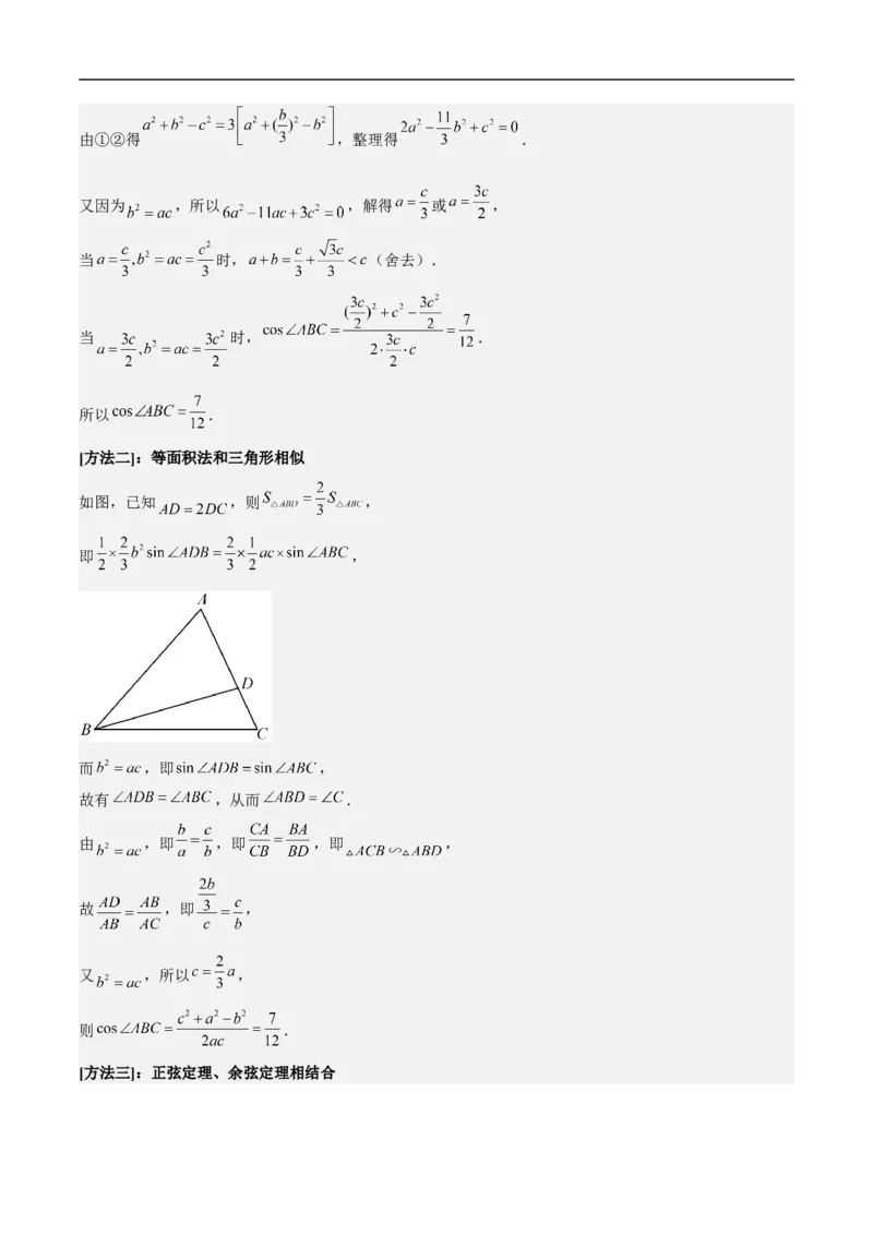
第 18 讲 解三角形 真题展示 2022 新高考一卷第 题 记 的内角 , , 的对边分别为 , , ,已知 . (1)若 ,求 ; (2)求 的最小值. 【思路分析】(1)利用倍角公式、和差公式、三角形内角和定理即可得出 . (2)利用诱导公式把 用 表示,再利用正弦定理、倍角公式、基本不等式即 可得出结论. 【 解 析 】 ( 1 ) 【 解 法 一 】 ( 交 叉 相 乘 ) : , , 化为: , , , , , , . 【解法二(半角公式):由诱导公式及二倍角公式可得 , 由二倍角公式得 ,∵ ,∴tan =tanB, 又 ∈(− ),B∈(0,π),∴ =B,即A= 2B,从而C= +B,又C= ,∴ +B= ,解得B= . (2)【解法一】(统一为 C):由(1)可得: , , , , 为钝角, , 都为锐角, .A= >0,得 ,, ,当且仅当 时取等号. 的最小值为 . 【解法二】法二(统一为B):由(1)知A= −2B∈(0,π),B∈(0,π),C= +B∈(0,π), 解得,B∈(0, ),从而cosB∈( ,1), 由 正 弦 定 理 得 = −5≥4 −5,当且仅当 4 = , = 时取等号。 故 的最小值为4 −5。 【试题评价】本题考查了倍角公式、和差公式、三角形内角和定理、余弦定理、 基本不等式、转化方法,考查了推理能力与计算能力,属于中档题. 考查目标 试题将考生熟悉的解三角形作为命题情境.解三角形本质上是在三角形内蕴方 程(三角形的正弦定理、余弦定理、三角形内角和定理)的基础上,把试题设 定的条件(方程)与内蕴方程建立联系,从而求得三角形的全部或者部分度量 关系.试题考查正弦定理、三角函数两角和公式、二倍角公式等基础知识;同时 以三角函数为载体,考查了均值不等式的应用.试题考查内容强调基础,服 务"双减". 试题考查考生的逻辑思维能力、运算求解能力,以及理性思维、数学探索等学 科素养.试题考查的内容是解三角形的重点知识,涉及的最值求解问题也是学 生常见的形式,符合基础性、综合性的考查要求.知识要点整理 知识点一 余弦定理 在△ABC中,角A,B,C的对边分别是a,b,c,则有 三角形中任何一边的平方,等于其他两边平 语言 方的和减去这两边与它们夹角的余弦的积的 叙述 两倍 a2=b2+c2-2bccos A, 余弦 公式 b2= a 2 + c 2 - 2 ac cos B , 定理 表达 c2= a 2 + b 2 - 2 ab cos C cos A=, 推论 cos B=, cos C= 知识点二 解三角形 一般地,三角形的三个角A,B,C和它们的对边a,b,c叫做三角形的元素.已知三角形的 几个元素求其他元素的过程叫做解三角形. 知识点三 正弦定理 在△ABC中,角A,B,C所对的边分别为a, 条件 b,c 结论 == 在一个三角形中,各边和它所对角的正弦的比 文字叙述 相等 知识点四 三角形中边与角之间的关系 1.利用余弦定理和正弦定理进行边角转化 (1)cos A=;cos B=;cos C=. (2)2Rsin A=a,2Rsin B=b,2Rsin C=c,(其中R为△ABC外接圆的半径) 2.在△ABC中,内角A,B,C所对的边分别为a,b,c. (1)若a2>b2+c2,则cos A=<0,△ABC为钝角三角形; (2)若a2=b2+c2,则cos A==0,△ABC为直角三角形; (3)若a20,cos B=>0,cos C=>0,△ABC为锐 角三角形.三年真题 1.在 中,角A、B、C的对边分别为a,b,c.已知 . (1)求 的值; (2)求 的值; (3)求 的值. 【答案】(1) (2) (3) 【详解】(1)因为 ,即 ,而 ,代入得 ,解得: . (2)由(1)可求出 ,而 ,所以 ,又 ,所以 . (3)因为 ,所以 ,故 ,又 , 所以 , ,而 ,所以 ,故 . 2.记 的内角A,B,C的对边分别为a,b,c,分别以a,b,c为边长的三个正三角形的面积依次为 ,已知 . (1)求 的面积; (2)若 ,求b. 【答案】(1) (2) 【详解】(1)由题意得 ,则 , 即 ,由余弦定理得 ,整理得 ,则 ,又 , 则 , ,则 ; (2)由正弦定理得: ,则 ,则 , . 3.在 中, . (1)求 ;(2)若 ,且 的面积为 ,求 的周长. 【答案】(1) (2) 【详解】(1)解:因为 ,则 ,由已知可得 , 可得 ,因此, . (2)解:由三角形的面积公式可得 ,解得 . 由余弦定理可得 , , 所以, 的周长为 . 4.记 的内角A,B,C的对边分别为a,b,c﹐已知 . (1)若 ,求C; (2)证明: 【答案】(1) ; (2)证明见解析. 【详解】(1)由 , 可得, ,而 ,所以 ,即有 ,而 ,显然 ,所 以, ,而 , ,所以 . (2)由 可得,,再由正弦定理可得, ,然后根据余弦定理可知, ,化简得: ,故原等式成立. 5.记 的内角 的对边分别为 ,已知 . (1)证明: ; (2)若 ,求 的周长. 【答案】(1)见解析 (2)14 【详解】(1)证明:因为 , 所以 , 所以 , 即 , 所以 ; (2)解:因为 , 由(1)得 , 由余弦定理可得 , 则 , 所以 ,故 , 所以 , 所以 的周长为 . 6.在 中,角A,B,C所对的边分别为a,b,c.已知 . (1)求 的值; (2)若 ,求 的面积. 【答案】(1) ; (2) . 【详解】(1)由于 , ,则 .因为 , 由正弦定理知 ,则 . (2)因为 ,由余弦定理,得 , 即 ,解得 ,而 , , 所以 的面积 . 7.记 的内角A,B,C的对边分别为a,b,c,已知 . (1)若 ,求B; (2)求 的最小值. 【答案】(1) ; (2) .【详解】(1)因为 ,即 , 而 ,所以 ; (2)由(1)知, ,所以 , 而 , 所以 ,即有 ,所以 所以 . 当且仅当 时取等号,所以 的最小值为 . 8.在 ,角 所对的边分别为 ,已知 , . (I)求a的值; (II)求 的值; (III)求 的值. 【答案】(I) ;(II) ;(III) 【详解】(I)因为 ,由正弦定理可得 , , ;(II)由余弦定理可得 ; (III) , , , , 所以 . 9.在 中,角 、 、 所对的边长分别为 、 、 , , .. (1)若 ,求 的面积; (2)是否存在正整数 ,使得 为钝角三角形?若存在,求出 的值;若不存在,说明理由. 【答案】(1) ;(2)存在,且 . 【详解】(1)因为 ,则 ,则 ,故 , , ,所以, 为锐角,则 , 因此, ; (2)显然 ,若 为钝角三角形,则 为钝角, 由余弦定理可得 , 解得 ,则 , 由三角形三边关系可得 ,可得 , ,故 . 10.在 中, , . (1)求 ; (2)再从条件①、条件②、条件③这三个条件中选择一个作为已知,使 存在且唯一确定,求 边 上中线的长.条件①: ; 条件②: 的周长为 ; 条件③: 的面积为 ; 【答案】(1) ;(2)答案不唯一,具体见解析. 【详解】(1) ,则由正弦定理可得 , , , , , ,解得 ; (2)若选择①:由正弦定理结合(1)可得 , 与 矛盾,故这样的 不存在; 若选择②:由(1)可得 , 设 的外接圆半径为 , 则由正弦定理可得 , , 则周长 , 解得 ,则 , 由余弦定理可得 边上的中线的长度为: ; 若选择③:由(1)可得 ,即 ,则 ,解得 , 则由余弦定理可得 边上的中线的长度为: . 11.记 是内角 , , 的对边分别为 , , .已知 ,点 在边 上, . (1)证明: ; (2)若 ,求 . 【答案】(1)证明见解析;(2) . 【分析】(1)根据正弦定理的边角关系有 ,结合已知即可证结论. (2)方法一:两次应用余弦定理,求得边 与 的关系,然后利用余弦定理即可求得 的值. 【详解】(1)设 的外接圆半径为R,由正弦定理, 得 , 因为 ,所以 ,即 . 又因为 ,所以 . (2)[方法一]【最优解】:两次应用余弦定理 因为 ,如图,在 中, ,① 在 中, .②由①②得 ,整理得 . 又因为 ,所以 ,解得 或 , 当 时, (舍去). 当 时, . 所以 . [方法二]:等面积法和三角形相似 如图,已知 ,则 , 即 , 而 ,即 , 故有 ,从而 . 由 ,即 ,即 ,即 , 故 ,即 , 又 ,所以 , 则 . [方法三]:正弦定理、余弦定理相结合由(1)知 ,再由 得 . 在 中,由正弦定理得 . 又 ,所以 ,化简得 . 在 中,由正弦定理知 ,又由 ,所以 . 在 中,由余弦定理,得 . 故 . [方法四]:构造辅助线利用相似的性质 如图,作 ,交 于点E,则 . 由 ,得 . 在 中, . 在 中 . 因为 , 所以 ,整理得 . 又因为 ,所以 , 即 或 . 下同解法1. [方法五]:平面向量基本定理 因为 ,所以 . 以向量 为基底,有 . 所以 , 即 , 又因为 ,所以 .③ 由余弦定理得 , 所以 ④ 联立③④,得 . 所以 或 . 下同解法1. [方法六]:建系求解 以D为坐标原点, 所在直线为x轴,过点D垂直于 的直线为y轴, 长为单位长度建立直角坐标系, 如图所示,则 .由(1)知, ,所以点B在以D为圆心,3为半径的圆上运动. 设 ,则 .⑤ 由 知, , 即 .⑥ 联立⑤⑥解得 或 (舍去), , 代入⑥式得 , 由余弦定理得 . 12.在 中,角 所对的边分别为 .已知 . (Ⅰ)求角 的大小; (Ⅱ)求 的值; (Ⅲ)求 的值. 【答案】(Ⅰ) ;(Ⅱ) ;(Ⅲ) . 【详解】(Ⅰ)在 中,由 及余弦定理得 , 又因为 ,所以 ;(Ⅱ)在 中,由 , 及正弦定理,可得 ; (Ⅲ)由 知角 为锐角,由 ,可得 , 进而 , 所以 . 13.在 中, ,再从条件①、条件②这两个条件中选择一个作为已知,求: (Ⅰ)a的值: (Ⅱ) 和 的面积. 条件①: ; 条件②: . 注:如果选择条件①和条件②分别解答,按第一个解答计分. 【答案】选择条件①(Ⅰ)8(Ⅱ) , ; 选择条件②(Ⅰ)6(Ⅱ) , . 【分析】选择条件①(Ⅰ)根据余弦定理直接求解,(Ⅱ)先根据三角函数同角关系求得 ,再根据正 弦定理求 ,最后根据三角形面积公式求结果; 选择条件②(Ⅰ)先根据三角函数同角关系求得 ,再根据正弦定理求结果,(Ⅱ)根据两角和 正弦公式求 ,再根据三角形面积公式求结果. 【详解】选择条件①(Ⅰ) (Ⅱ)由正弦定理得: 选择条件②(Ⅰ) 由正弦定理得: (Ⅱ) 【点睛】本题考查正弦定理、余弦定理,三角形面积公式,考查基本分析求解能力,属中档题. 14.在锐角△ABC中,角A,B,C的对边分别为a,b,c,且 . (I)求角B的大小; (II)求cosA+cosB+cosC的取值范围. 【答案】(I) ;(II) 【分析】(I)方法二:首先利用正弦定理边化角,然后结合特殊角的三角函数值即可确定角B的大小; (II)方法二:结合(Ⅰ)的结论将含有三个角的三角函数式化简为只含有角A的三角函数式,然后由三角形 为锐角三角形确定角A的取值范围,最后结合三角函数的性质即可求得 的取值范围. 【详解】(I) [方法一]:余弦定理 由 ,得 ,即 . 结合余弦定 ,∴ , 即 , 即 , 即 , 即 , ∵ 为锐角三角形,∴ , ∴ , 所以 , 又B为 的一个内角,故 . [方法二]【最优解】:正弦定理边化角 由 ,结合正弦定理可得: 为锐角三角形,故 . (II) [方法一]:余弦定理基本不等式 因为 ,并利用余弦定理整理得 , 即 . 结合 ,得 . 由临界状态(不妨取 )可知 . 而 为锐角三角形,所以 . 由余弦定理得 , ,代入化简得故 的取值范围是 . [方法二]【最优解】:恒等变换三角函数性质 结合(1)的结论有: . 由 可得: , , 则 , . 即 的取值范围是 . 【整体点评】(I)的方法一,根据已知条件,利用余弦定理经过较复杂的代数恒等变形求得 ,运算能力要求较高;方法二则利用正弦定理边化角,运算简洁,是常用的方法,确定为 最优解;(II)的三种方法中,方法一涉及到较为复杂的余弦定理代入化简,运算较为麻烦,方法二直接 使用三角恒等变形,简洁明快,确定为最优解. 15.在① ,② ,③ 这三个条件中任选一个,补充在下面问题中,若问题中的三角形 存在,求 的值;若问题中的三角形不存在,说明理由. 问题:是否存在 ,它的内角 的对边分别为 ,且 , ,________? 注:如果选择多个条件分别解答,按第一个解答计分. 【答案】详见解析 【分析】方法一:由题意结合所给的条件,利用正弦定理角化边,得到a,b的比例关系,根据比例关系, 设出长度长度,由余弦定理得到 的长度,根据选择的条件进行分析判断和求解. 【详解】[方法一]【最优解】:余弦定理由 可得: ,不妨设 , 则: ,即 . 若选择条件①: 据此可得: , ,此时 . 若选择条件②: 据此可得: , 则: ,此时: ,则: . 若选择条件③: 可得 , ,与条件 矛盾,则问题中的三角形不存在. [方法二]:正弦定理 由 ,得 . 由 ,得 ,即 , 得 .由于 ,得 .所以 . 若选择条件①: 由 ,得 ,得 . 解得 .所以,选条件①时问题中的三角形存在,此时 . 若选择条件②: 由 ,得 ,解得 ,则 . 由 ,得 ,得 .所以,选条件②时问题中的三角形存在,此时 . 若选择条件③: 由于 与 矛盾,所以,问题中的三角形不存在. 【整体点评】方法一:根据正弦定理以及余弦定理可得 的关系,再根据选择的条件即可解出,是本 题的通性通法,也是最优解; 方法二:利用内角和定理以及两角差的正弦公式,消去角 ,可求出角 ,从而可得 ,再根据选择条件即可解出. 16.在△ABC中,角A,B,C的对边分别为a,b,c,已知 . (1)求 的值; (2)在边BC上取一点D,使得 ,求 的值. 【答案】(1) ;(2) . 【分析】(1)方法一:利用余弦定理求得 ,利用正弦定理求得 . (2)方法一:根据 的值,求得 的值,由(1)求得 的值,从而求得 的值,进而求得 的值. 【详解】(1)[方法一]:正余弦定理综合法 由余弦定理得 ,所以 . 由正弦定理得 . [方法二]【最优解】:几何法过点A作 ,垂足为E.在 中,由 ,可得 ,又 ,所以 . 在 中, ,因此 . (2)[方法一]:两角和的正弦公式法 由于 , ,所以 . 由于 ,所以 ,所以 . 所以 . 由于 ,所以 . 所以 . [方法二]【最优解】:几何法+两角差的正切公式法 在(1)的方法二的图中,由 ,可得 ,从而 . 又由(1)可得 ,所以 . [方法三]:几何法+正弦定理法在(1)的方法二中可得 . 在 中, , 所以 . 在 中,由正弦定理可得 , 由此可得 . [方法四]:构造直角三角形法 如图,作 ,垂足为E,作 ,垂足为点G. 在(1)的方法二中可得 . 由 ,可得 . 在 中, . 由(1)知 ,所以在 中, ,从而 . 在 中, . 所以 . 【整体点评】(1)方法一:使用余弦定理求得 ,然后使用正弦定理求得 ;方法二:抓住45° 角的特点,作出辅助线,利用几何方法简单计算即得答案,运算尤其简洁,为最优解;(2)方法一:使用两角和的正弦公式求得 的正弦值,进而求解;方法二:适当作出辅助线,利用两角差的正切公式 求解,运算更为简洁,为最优解;方法三:在几何法的基础上,使用正弦定理求得 的正弦值,进而 得解;方法四:更多的使用几何的思维方式,直接作出含有 的直角三角形,进而求解,也是很优美 的方法. 17. 的内角A,B,C的对边分别为a,b,c.已知B=150°. (1)若a= c,b=2 ,求 的面积; (2)若sinA+ sinC= ,求C. 【答案】(1) ;(2) . 【分析】(1)已知角 和 边,结合 关系,由余弦定理建立 的方程,求解得出 ,利用面积公式, 即可得出结论; (2)方法一 :将 代入已知等式,由两角差的正弦和辅助角公式,化简得出有关 角的三角函 数值,结合 的范围,即可求解. 【详解】(1)由余弦定理可得 , 的面积 ; (2)[方法一]:多角换一角 , , , . [方法二]:正弦角化边 由正弦定理及 得 .故 . 由 ,得 .又由余弦定理得 ,所以 ,解得 . 所以 . 18. 中,sin2A-sin2B-sin2C=sinBsinC. (1)求A; (2)若BC=3,求 周长的最大值. 【答案】(1) ;(2) . 【详解】(1)由正弦定理可得: , , , . (2)[方法一]【最优解】:余弦+不等式 由余弦定理得: , 即 . (当且仅当 时取等号), , 解得: (当且仅当 时取等号), 周长 , 周长的最大值为 . [方法二]:正弦化角(通性通法) 设 ,则 ,根据正弦定理可知 ,所以 ,当且仅当 ,即时,等号成立.此时 周长的最大值为 . [方法三]:余弦与三角换元结合 在 中,角A,B,C所对的边分别为a,b,c.由余弦定理得 ,即 . 令 ,得 ,易知当 时, , 所以 周长的最大值为 . 19.△ABC的内角A,B,C的对边分别为a,b,c,已知 . (1)求A; (2)若 ,证明:△ABC是直角三角形. 【答案】(1) ;(2)证明见解析 再根据勾股定理或正弦定理即可证出. 【详解】(1)因为 ,所以 , 即 , 解得 ,又 , 所以 ; (2)因为 ,所以 , 即 ①,又 ②, 将②代入①得, , 即 ,而 ,解得 , 所以 , 故 , 即 是直角三角形. 三年模拟 一、单选题 1.双曲线 的左,右焦点分别为 ,过 作垂直于 轴的直线交双曲线于 两点, 的内切圆圆心分别为 ,则 的面积是( ) A. B. C. D. 【答案】A 【详解】由题意如图所示:由双曲线 ,知 , 所以 , 所以 , 所以过 作垂直于 轴的直线为 , 代入 中,解出 , 由题知 的内切圆的半径相等, 且 , 的内切圆圆心 的连线垂直于 轴于点 , 设为 ,在 中,由等面积法得: 由双曲线的定义可知: 由 ,所以 , 所以 , 解得: , 因为 为 的 的角平分线, 所以 一定在 上,即 轴上,令圆 半径为 , 在 中,由等面积法得: , 又所以 , 所以 , 所以 , , 所以 , 故选:A. 二、解答题 2.在 中,设角 所对的边分别为 ,且 . (1)求 ; (2)若 ,求 的最大值. 【答案】(1) (2) 【详解】(1)由 , 得 即 , 从而 , 由 ,得 .(2)由 得 , 从而 ,即 又因为 ,得 所以 ,即 , 从而 , 而 ,故 解得 ,当且仅当 时取等号, 所以 的最大值为 . 3.在临港滴水湖畔拟建造一个四边形的露营基地,如图ABCD所示.为考虑露营客人娱乐休闲的需求,在 四边形ABCD区域中,将三角形ABD区域设立成花卉观赏区,三角形BCD区域设立成烧烤区,边AB、 BC、CD、DA修建观赏步道,边BD修建隔离防护栏,其中 米, 米, . (1)如果烧烤区是一个占地面积为9600平方米的钝角三角形,那么需要修建多长的隔离防护栏(精确到0.1 米)? (2)考虑到烧烤区的安全性,在规划四边形ABCD区域时,首先保证烧烤区的占地面积最大时,再使得花卉 观赏区的面积尽可能大,则应如何设计观赏步道? 【答案】(1)247.4m(2)应使得 , 来修建观赏步道. 【详解】(1) , 解得: , 因为C是钝角,所以 . 由余弦定理得: , 故需要修建247.4m的隔离防护栏; (2)解法一: , 当且仅达 时取到等号,此时 m,设 , , 在 中, , 解得: , 故 , 因为 ,所以 , 故当 ,即 时, 取的最大值为1,, 当且仅当 时取到等号,此时 答:修建观赏步道时应使得 , . 解法二: , 当且仅达 时取到等号,此时 , 设 , .则由余弦定理, , 故由平均值不等式, , 从而 , 等号成立当且仅当 . 答:修建观赏步道时应使得 , . 4.已知 的内角A,B,C的对边分别为a,b,c,且 . (1)求角A的大小及a的值; (2)求 面积的最大值,并求此时 的周长. 【答案】(1) , (2) 面积的最大值为 ,此时 的周长为 【详解】(1)∵ , ∴由正弦定理得 ,∴ ,又∵ ,∴ .∵ ,∴ , ∵ (舍去),∴ ,∵ ,∴ . (2)由(1)知, , .由余弦定理得 , ∴ ,∴ ,∴ , 当且仅当 时取等号,此时 的周长为 . 5. 的内角 的对边分别为 ,已知 , (1)若 为 边上一点, ,且 ,求 ; (2)若 为平面上一点, ,其中 ,求 的最小值. 【答案】(1) (2) 【详解】(1)由 可得 , 即 , , , , . , 即 , 则 ,, , 在 中,由正弦定理可得 , 即 , 解得 . (2) , 即 , 则 , , (*), 根据已知条件 , , 代入(*)式得: , 当 时, 取得最小值为 . 6.在 中,内角 的对边分别为 , .(1)求 ; (2)若 的面积为 ,求 边上的中线 的长. 【答案】(1) (2) 【详解】(1)因为 , 所以 , 所以 , 即 , 所以 , 由余弦定理及 得: , 又 , 所以 , 即 , 所以 , 所以 . (2)由 , 所以 ,由(1) , 所以 , 因为 为 边上的中线, 所以 , 所以 , 所以 , 所以 边上的中线 的长为: . 7.已知 分别为 内角 的对边,且 (1)求角 ; (2)若 的面积为 ,求 的值. 【答案】(1) (2) 【详解】(1)解: , 由正弦定理得 , 所以由于 ,所以 ,则 ,又 ,所以 ; (2)解:由(1)得 , 由余弦定理得 , , . 8.在 中,角 所对的边分别为 , , ,已知 , ,且 . (1)求 的面积; (2)若 是线段 的中点,求 的长. 【答案】(1) (2) 【详解】(1)因为 ,所以 , 在 中,由余弦定理得 , 因为 ,所以 ,又 , , 故 的面积 . (2)因为 是线段 的中点, 所以 ,则 , 所以 , 所以 ,即 的长为 . 9.近年来,为“加大城市公园绿地建设力度,形成布局合理的公园体系”,许多城市陆续建起众多“口袋公 园”、现计划在一块边长为200米的正方形的空地上按以下要求建造“口袋公园”、如图所示,以 中点A为圆心, 为半径的扇形草坪区 ,点 在弧BC上(不与端点重合),AB、弧BC、CA、PQ、PR、RQ 为步行道,其中PQ与AB垂直,PR与AC垂直.设 . (1)如果点P位于弧BC的中点,求三条步行道PQ、PR、RQ的总长度; (2)“地摊经济”对于“拉动灵活就业、增加多源收入、便利居民生活”等都有积极作用.为此街道允许在步 行道PQ、PR、RQ开辟临时摊点,积极推进“地摊经济”发展,预计每年能产生的经济效益分别为每米5万 元、5万元及5.9万元.则这三条步行道每年能产生的经济总效益最高为多少?(精确到1万元) 【答案】(1) (米) (2)2022万元 【详解】(1)解:由题 , ,同理 ,故 , 由于点P位于弧BC的中点,所以点P位于 的角平分线上, 则 , , 因为 , , 所以 为等边三角形, 则 , 因此三条街道的总长度为 (米).(2)由图可知 , , , , 在 中由余弦定理可知: , 则 , 设三条步行道每年能产生的经济总效益 ,则 ,当 即 时 取最大值, 最大值为 . 答:三条步行道每年能产生的经济总效益最高约为2022万元. 10.在 中, , , . (1)求 的值. (2)求 的周长和面积. 【答案】(1) (2)周长为 ;面积为 【详解】(1)因为 并且 , 所以 ,又因为 ,所以 ,所以 因为 由正弦定理得: 即 即 所以 或 ,又因为 ,所以 与 只能同正,所以 ,故 ,又因为 ,所以 , . (2)由(1)得 ,根据正弦定理得: ,所以 , 又因为根据正弦定理: 所以 的周长为: 的面积为: 11.在 中,设角A,B,C的对边分别为a,b,c.已知向量 , ,且 . (1)求角A的大小; (2)若 , ,求 的面积. 【答案】(1) (2) 【详解】(1)已知 , , , ,得 , , . (2)已知 ,根据正弦定理得 ,即 . 根据余弦定理得 , 将 代入得 ,解得 ,即得 . . 12.已知 ABC的三个内角A,B,C的对边分别为a,b,c; △ (1)若 ABC的面积 ,求B; △ (2)若 ,求 ;【答案】(1) (2) 【分析】(1)利用三角形面积公式及余弦定理,通过化简整理可求出 ,即可求出角 的值; (2)首先由 根据正弦定理得 ,利用角 的余弦定理得 ,最 后联立方程组,解方程组即可求出 的值. 【详解】(1)已知 ,化简得 , 即得 ,又 ,故 . (2)已知 ,由正弦定理可得 , 由余弦定理可得 , 由 ,得 ,即 , 由 ,解得 . 故得 .