当前位置:首页>文档>第32练空间点、直线、平面间的位置关系(精练:基础+重难点)一轮复习讲义2024年高考数学高频考点题型归纳与方法总结(新高考通用)解析版_2.2025数学总复习_2024年新高考资料

第32练空间点、直线、平面间的位置关系(精练:基础+重难点)一轮复习讲义2024年高考数学高频考点题型归纳与方法总结(新高考通用)解析版_2.2025数学总复习_2024年新高考资料

  • 2026-04-03 13:06:32 2026-03-25 15:29:20

文档预览

第32练空间点、直线、平面间的位置关系(精练:基础+重难点)一轮复习讲义2024年高考数学高频考点题型归纳与方法总结(新高考通用)解析版_2.2025数学总复习_2024年新高考资料
第32练空间点、直线、平面间的位置关系(精练:基础+重难点)一轮复习讲义2024年高考数学高频考点题型归纳与方法总结(新高考通用)解析版_2.2025数学总复习_2024年新高考资料
第32练空间点、直线、平面间的位置关系(精练:基础+重难点)一轮复习讲义2024年高考数学高频考点题型归纳与方法总结(新高考通用)解析版_2.2025数学总复习_2024年新高考资料
第32练空间点、直线、平面间的位置关系(精练:基础+重难点)一轮复习讲义2024年高考数学高频考点题型归纳与方法总结(新高考通用)解析版_2.2025数学总复习_2024年新高考资料
第32练空间点、直线、平面间的位置关系(精练:基础+重难点)一轮复习讲义2024年高考数学高频考点题型归纳与方法总结(新高考通用)解析版_2.2025数学总复习_2024年新高考资料
第32练空间点、直线、平面间的位置关系(精练:基础+重难点)一轮复习讲义2024年高考数学高频考点题型归纳与方法总结(新高考通用)解析版_2.2025数学总复习_2024年新高考资料
第32练空间点、直线、平面间的位置关系(精练:基础+重难点)一轮复习讲义2024年高考数学高频考点题型归纳与方法总结(新高考通用)解析版_2.2025数学总复习_2024年新高考资料
第32练空间点、直线、平面间的位置关系(精练:基础+重难点)一轮复习讲义2024年高考数学高频考点题型归纳与方法总结(新高考通用)解析版_2.2025数学总复习_2024年新高考资料
第32练空间点、直线、平面间的位置关系(精练:基础+重难点)一轮复习讲义2024年高考数学高频考点题型归纳与方法总结(新高考通用)解析版_2.2025数学总复习_2024年新高考资料
第32练空间点、直线、平面间的位置关系(精练:基础+重难点)一轮复习讲义2024年高考数学高频考点题型归纳与方法总结(新高考通用)解析版_2.2025数学总复习_2024年新高考资料
第32练空间点、直线、平面间的位置关系(精练:基础+重难点)一轮复习讲义2024年高考数学高频考点题型归纳与方法总结(新高考通用)解析版_2.2025数学总复习_2024年新高考资料
第32练空间点、直线、平面间的位置关系(精练:基础+重难点)一轮复习讲义2024年高考数学高频考点题型归纳与方法总结(新高考通用)解析版_2.2025数学总复习_2024年新高考资料
第32练空间点、直线、平面间的位置关系(精练:基础+重难点)一轮复习讲义2024年高考数学高频考点题型归纳与方法总结(新高考通用)解析版_2.2025数学总复习_2024年新高考资料
第32练空间点、直线、平面间的位置关系(精练:基础+重难点)一轮复习讲义2024年高考数学高频考点题型归纳与方法总结(新高考通用)解析版_2.2025数学总复习_2024年新高考资料
第32练空间点、直线、平面间的位置关系(精练:基础+重难点)一轮复习讲义2024年高考数学高频考点题型归纳与方法总结(新高考通用)解析版_2.2025数学总复习_2024年新高考资料
第32练空间点、直线、平面间的位置关系(精练:基础+重难点)一轮复习讲义2024年高考数学高频考点题型归纳与方法总结(新高考通用)解析版_2.2025数学总复习_2024年新高考资料
第32练空间点、直线、平面间的位置关系(精练:基础+重难点)一轮复习讲义2024年高考数学高频考点题型归纳与方法总结(新高考通用)解析版_2.2025数学总复习_2024年新高考资料
第32练空间点、直线、平面间的位置关系(精练:基础+重难点)一轮复习讲义2024年高考数学高频考点题型归纳与方法总结(新高考通用)解析版_2.2025数学总复习_2024年新高考资料
第32练空间点、直线、平面间的位置关系(精练:基础+重难点)一轮复习讲义2024年高考数学高频考点题型归纳与方法总结(新高考通用)解析版_2.2025数学总复习_2024年新高考资料
第32练空间点、直线、平面间的位置关系(精练:基础+重难点)一轮复习讲义2024年高考数学高频考点题型归纳与方法总结(新高考通用)解析版_2.2025数学总复习_2024年新高考资料
第32练空间点、直线、平面间的位置关系(精练:基础+重难点)一轮复习讲义2024年高考数学高频考点题型归纳与方法总结(新高考通用)解析版_2.2025数学总复习_2024年新高考资料
第32练空间点、直线、平面间的位置关系(精练:基础+重难点)一轮复习讲义2024年高考数学高频考点题型归纳与方法总结(新高考通用)解析版_2.2025数学总复习_2024年新高考资料
第32练空间点、直线、平面间的位置关系(精练:基础+重难点)一轮复习讲义2024年高考数学高频考点题型归纳与方法总结(新高考通用)解析版_2.2025数学总复习_2024年新高考资料
第32练空间点、直线、平面间的位置关系(精练:基础+重难点)一轮复习讲义2024年高考数学高频考点题型归纳与方法总结(新高考通用)解析版_2.2025数学总复习_2024年新高考资料
第32练空间点、直线、平面间的位置关系(精练:基础+重难点)一轮复习讲义2024年高考数学高频考点题型归纳与方法总结(新高考通用)解析版_2.2025数学总复习_2024年新高考资料
第32练空间点、直线、平面间的位置关系(精练:基础+重难点)一轮复习讲义2024年高考数学高频考点题型归纳与方法总结(新高考通用)解析版_2.2025数学总复习_2024年新高考资料
第32练空间点、直线、平面间的位置关系(精练:基础+重难点)一轮复习讲义2024年高考数学高频考点题型归纳与方法总结(新高考通用)解析版_2.2025数学总复习_2024年新高考资料
第32练空间点、直线、平面间的位置关系(精练:基础+重难点)一轮复习讲义2024年高考数学高频考点题型归纳与方法总结(新高考通用)解析版_2.2025数学总复习_2024年新高考资料
第32练空间点、直线、平面间的位置关系(精练:基础+重难点)一轮复习讲义2024年高考数学高频考点题型归纳与方法总结(新高考通用)解析版_2.2025数学总复习_2024年新高考资料
第32练空间点、直线、平面间的位置关系(精练:基础+重难点)一轮复习讲义2024年高考数学高频考点题型归纳与方法总结(新高考通用)解析版_2.2025数学总复习_2024年新高考资料
第32练空间点、直线、平面间的位置关系(精练:基础+重难点)一轮复习讲义2024年高考数学高频考点题型归纳与方法总结(新高考通用)解析版_2.2025数学总复习_2024年新高考资料
第32练空间点、直线、平面间的位置关系(精练:基础+重难点)一轮复习讲义2024年高考数学高频考点题型归纳与方法总结(新高考通用)解析版_2.2025数学总复习_2024年新高考资料
第32练空间点、直线、平面间的位置关系(精练:基础+重难点)一轮复习讲义2024年高考数学高频考点题型归纳与方法总结(新高考通用)解析版_2.2025数学总复习_2024年新高考资料
第32练空间点、直线、平面间的位置关系(精练:基础+重难点)一轮复习讲义2024年高考数学高频考点题型归纳与方法总结(新高考通用)解析版_2.2025数学总复习_2024年新高考资料
第32练空间点、直线、平面间的位置关系(精练:基础+重难点)一轮复习讲义2024年高考数学高频考点题型归纳与方法总结(新高考通用)解析版_2.2025数学总复习_2024年新高考资料
第32练空间点、直线、平面间的位置关系(精练:基础+重难点)一轮复习讲义2024年高考数学高频考点题型归纳与方法总结(新高考通用)解析版_2.2025数学总复习_2024年新高考资料
第32练空间点、直线、平面间的位置关系(精练:基础+重难点)一轮复习讲义2024年高考数学高频考点题型归纳与方法总结(新高考通用)解析版_2.2025数学总复习_2024年新高考资料
第32练空间点、直线、平面间的位置关系(精练:基础+重难点)一轮复习讲义2024年高考数学高频考点题型归纳与方法总结(新高考通用)解析版_2.2025数学总复习_2024年新高考资料
第32练空间点、直线、平面间的位置关系(精练:基础+重难点)一轮复习讲义2024年高考数学高频考点题型归纳与方法总结(新高考通用)解析版_2.2025数学总复习_2024年新高考资料
第32练空间点、直线、平面间的位置关系(精练:基础+重难点)一轮复习讲义2024年高考数学高频考点题型归纳与方法总结(新高考通用)解析版_2.2025数学总复习_2024年新高考资料
第32练空间点、直线、平面间的位置关系(精练:基础+重难点)一轮复习讲义2024年高考数学高频考点题型归纳与方法总结(新高考通用)解析版_2.2025数学总复习_2024年新高考资料
第32练空间点、直线、平面间的位置关系(精练:基础+重难点)一轮复习讲义2024年高考数学高频考点题型归纳与方法总结(新高考通用)解析版_2.2025数学总复习_2024年新高考资料
第32练空间点、直线、平面间的位置关系(精练:基础+重难点)一轮复习讲义2024年高考数学高频考点题型归纳与方法总结(新高考通用)解析版_2.2025数学总复习_2024年新高考资料
第32练空间点、直线、平面间的位置关系(精练:基础+重难点)一轮复习讲义2024年高考数学高频考点题型归纳与方法总结(新高考通用)解析版_2.2025数学总复习_2024年新高考资料
第32练空间点、直线、平面间的位置关系(精练:基础+重难点)一轮复习讲义2024年高考数学高频考点题型归纳与方法总结(新高考通用)解析版_2.2025数学总复习_2024年新高考资料
第32练空间点、直线、平面间的位置关系(精练:基础+重难点)一轮复习讲义2024年高考数学高频考点题型归纳与方法总结(新高考通用)解析版_2.2025数学总复习_2024年新高考资料
第32练空间点、直线、平面间的位置关系(精练:基础+重难点)一轮复习讲义2024年高考数学高频考点题型归纳与方法总结(新高考通用)解析版_2.2025数学总复习_2024年新高考资料
第32练空间点、直线、平面间的位置关系(精练:基础+重难点)一轮复习讲义2024年高考数学高频考点题型归纳与方法总结(新高考通用)解析版_2.2025数学总复习_2024年新高考资料
第32练空间点、直线、平面间的位置关系(精练:基础+重难点)一轮复习讲义2024年高考数学高频考点题型归纳与方法总结(新高考通用)解析版_2.2025数学总复习_2024年新高考资料
第32练空间点、直线、平面间的位置关系(精练:基础+重难点)一轮复习讲义2024年高考数学高频考点题型归纳与方法总结(新高考通用)解析版_2.2025数学总复习_2024年新高考资料
第32练空间点、直线、平面间的位置关系(精练:基础+重难点)一轮复习讲义2024年高考数学高频考点题型归纳与方法总结(新高考通用)解析版_2.2025数学总复习_2024年新高考资料
第32练空间点、直线、平面间的位置关系(精练:基础+重难点)一轮复习讲义2024年高考数学高频考点题型归纳与方法总结(新高考通用)解析版_2.2025数学总复习_2024年新高考资料
第32练空间点、直线、平面间的位置关系(精练:基础+重难点)一轮复习讲义2024年高考数学高频考点题型归纳与方法总结(新高考通用)解析版_2.2025数学总复习_2024年新高考资料
第32练空间点、直线、平面间的位置关系(精练:基础+重难点)一轮复习讲义2024年高考数学高频考点题型归纳与方法总结(新高考通用)解析版_2.2025数学总复习_2024年新高考资料
第32练空间点、直线、平面间的位置关系(精练:基础+重难点)一轮复习讲义2024年高考数学高频考点题型归纳与方法总结(新高考通用)解析版_2.2025数学总复习_2024年新高考资料
第32练空间点、直线、平面间的位置关系(精练:基础+重难点)一轮复习讲义2024年高考数学高频考点题型归纳与方法总结(新高考通用)解析版_2.2025数学总复习_2024年新高考资料
第32练空间点、直线、平面间的位置关系(精练:基础+重难点)一轮复习讲义2024年高考数学高频考点题型归纳与方法总结(新高考通用)解析版_2.2025数学总复习_2024年新高考资料
第32练空间点、直线、平面间的位置关系(精练:基础+重难点)一轮复习讲义2024年高考数学高频考点题型归纳与方法总结(新高考通用)解析版_2.2025数学总复习_2024年新高考资料
第32练空间点、直线、平面间的位置关系(精练:基础+重难点)一轮复习讲义2024年高考数学高频考点题型归纳与方法总结(新高考通用)解析版_2.2025数学总复习_2024年新高考资料
第32练空间点、直线、平面间的位置关系(精练:基础+重难点)一轮复习讲义2024年高考数学高频考点题型归纳与方法总结(新高考通用)解析版_2.2025数学总复习_2024年新高考资料
第32练空间点、直线、平面间的位置关系(精练:基础+重难点)一轮复习讲义2024年高考数学高频考点题型归纳与方法总结(新高考通用)解析版_2.2025数学总复习_2024年新高考资料
第32练空间点、直线、平面间的位置关系(精练:基础+重难点)一轮复习讲义2024年高考数学高频考点题型归纳与方法总结(新高考通用)解析版_2.2025数学总复习_2024年新高考资料
第32练空间点、直线、平面间的位置关系(精练:基础+重难点)一轮复习讲义2024年高考数学高频考点题型归纳与方法总结(新高考通用)解析版_2.2025数学总复习_2024年新高考资料
第32练空间点、直线、平面间的位置关系(精练:基础+重难点)一轮复习讲义2024年高考数学高频考点题型归纳与方法总结(新高考通用)解析版_2.2025数学总复习_2024年新高考资料
第32练空间点、直线、平面间的位置关系(精练:基础+重难点)一轮复习讲义2024年高考数学高频考点题型归纳与方法总结(新高考通用)解析版_2.2025数学总复习_2024年新高考资料
第32练空间点、直线、平面间的位置关系(精练:基础+重难点)一轮复习讲义2024年高考数学高频考点题型归纳与方法总结(新高考通用)解析版_2.2025数学总复习_2024年新高考资料
第32练空间点、直线、平面间的位置关系(精练:基础+重难点)一轮复习讲义2024年高考数学高频考点题型归纳与方法总结(新高考通用)解析版_2.2025数学总复习_2024年新高考资料
第32练空间点、直线、平面间的位置关系(精练:基础+重难点)一轮复习讲义2024年高考数学高频考点题型归纳与方法总结(新高考通用)解析版_2.2025数学总复习_2024年新高考资料
第32练空间点、直线、平面间的位置关系(精练:基础+重难点)一轮复习讲义2024年高考数学高频考点题型归纳与方法总结(新高考通用)解析版_2.2025数学总复习_2024年新高考资料
第32练空间点、直线、平面间的位置关系(精练:基础+重难点)一轮复习讲义2024年高考数学高频考点题型归纳与方法总结(新高考通用)解析版_2.2025数学总复习_2024年新高考资料
第32练空间点、直线、平面间的位置关系(精练:基础+重难点)一轮复习讲义2024年高考数学高频考点题型归纳与方法总结(新高考通用)解析版_2.2025数学总复习_2024年新高考资料
第32练空间点、直线、平面间的位置关系(精练:基础+重难点)一轮复习讲义2024年高考数学高频考点题型归纳与方法总结(新高考通用)解析版_2.2025数学总复习_2024年新高考资料
第32练空间点、直线、平面间的位置关系(精练:基础+重难点)一轮复习讲义2024年高考数学高频考点题型归纳与方法总结(新高考通用)解析版_2.2025数学总复习_2024年新高考资料
第32练空间点、直线、平面间的位置关系(精练:基础+重难点)一轮复习讲义2024年高考数学高频考点题型归纳与方法总结(新高考通用)解析版_2.2025数学总复习_2024年新高考资料
第32练空间点、直线、平面间的位置关系(精练:基础+重难点)一轮复习讲义2024年高考数学高频考点题型归纳与方法总结(新高考通用)解析版_2.2025数学总复习_2024年新高考资料
第32练空间点、直线、平面间的位置关系(精练:基础+重难点)一轮复习讲义2024年高考数学高频考点题型归纳与方法总结(新高考通用)解析版_2.2025数学总复习_2024年新高考资料
第32练空间点、直线、平面间的位置关系(精练:基础+重难点)一轮复习讲义2024年高考数学高频考点题型归纳与方法总结(新高考通用)解析版_2.2025数学总复习_2024年新高考资料
第32练空间点、直线、平面间的位置关系(精练:基础+重难点)一轮复习讲义2024年高考数学高频考点题型归纳与方法总结(新高考通用)解析版_2.2025数学总复习_2024年新高考资料
第32练空间点、直线、平面间的位置关系(精练:基础+重难点)一轮复习讲义2024年高考数学高频考点题型归纳与方法总结(新高考通用)解析版_2.2025数学总复习_2024年新高考资料
第32练空间点、直线、平面间的位置关系(精练:基础+重难点)一轮复习讲义2024年高考数学高频考点题型归纳与方法总结(新高考通用)解析版_2.2025数学总复习_2024年新高考资料
第32练空间点、直线、平面间的位置关系(精练:基础+重难点)一轮复习讲义2024年高考数学高频考点题型归纳与方法总结(新高考通用)解析版_2.2025数学总复习_2024年新高考资料
第32练空间点、直线、平面间的位置关系(精练:基础+重难点)一轮复习讲义2024年高考数学高频考点题型归纳与方法总结(新高考通用)解析版_2.2025数学总复习_2024年新高考资料
第32练空间点、直线、平面间的位置关系(精练:基础+重难点)一轮复习讲义2024年高考数学高频考点题型归纳与方法总结(新高考通用)解析版_2.2025数学总复习_2024年新高考资料
第32练空间点、直线、平面间的位置关系(精练:基础+重难点)一轮复习讲义2024年高考数学高频考点题型归纳与方法总结(新高考通用)解析版_2.2025数学总复习_2024年新高考资料
第32练空间点、直线、平面间的位置关系(精练:基础+重难点)一轮复习讲义2024年高考数学高频考点题型归纳与方法总结(新高考通用)解析版_2.2025数学总复习_2024年新高考资料
第32练空间点、直线、平面间的位置关系(精练:基础+重难点)一轮复习讲义2024年高考数学高频考点题型归纳与方法总结(新高考通用)解析版_2.2025数学总复习_2024年新高考资料
第32练空间点、直线、平面间的位置关系(精练:基础+重难点)一轮复习讲义2024年高考数学高频考点题型归纳与方法总结(新高考通用)解析版_2.2025数学总复习_2024年新高考资料
第32练空间点、直线、平面间的位置关系(精练:基础+重难点)一轮复习讲义2024年高考数学高频考点题型归纳与方法总结(新高考通用)解析版_2.2025数学总复习_2024年新高考资料
第32练空间点、直线、平面间的位置关系(精练:基础+重难点)一轮复习讲义2024年高考数学高频考点题型归纳与方法总结(新高考通用)解析版_2.2025数学总复习_2024年新高考资料
第32练空间点、直线、平面间的位置关系(精练:基础+重难点)一轮复习讲义2024年高考数学高频考点题型归纳与方法总结(新高考通用)解析版_2.2025数学总复习_2024年新高考资料
第32练空间点、直线、平面间的位置关系(精练:基础+重难点)一轮复习讲义2024年高考数学高频考点题型归纳与方法总结(新高考通用)解析版_2.2025数学总复习_2024年新高考资料
第32练空间点、直线、平面间的位置关系(精练:基础+重难点)一轮复习讲义2024年高考数学高频考点题型归纳与方法总结(新高考通用)解析版_2.2025数学总复习_2024年新高考资料
第32练空间点、直线、平面间的位置关系(精练:基础+重难点)一轮复习讲义2024年高考数学高频考点题型归纳与方法总结(新高考通用)解析版_2.2025数学总复习_2024年新高考资料
第32练空间点、直线、平面间的位置关系(精练:基础+重难点)一轮复习讲义2024年高考数学高频考点题型归纳与方法总结(新高考通用)解析版_2.2025数学总复习_2024年新高考资料
第32练空间点、直线、平面间的位置关系(精练:基础+重难点)一轮复习讲义2024年高考数学高频考点题型归纳与方法总结(新高考通用)解析版_2.2025数学总复习_2024年新高考资料
第32练空间点、直线、平面间的位置关系(精练:基础+重难点)一轮复习讲义2024年高考数学高频考点题型归纳与方法总结(新高考通用)解析版_2.2025数学总复习_2024年新高考资料
第32练空间点、直线、平面间的位置关系(精练:基础+重难点)一轮复习讲义2024年高考数学高频考点题型归纳与方法总结(新高考通用)解析版_2.2025数学总复习_2024年新高考资料
第32练空间点、直线、平面间的位置关系(精练:基础+重难点)一轮复习讲义2024年高考数学高频考点题型归纳与方法总结(新高考通用)解析版_2.2025数学总复习_2024年新高考资料
第32练空间点、直线、平面间的位置关系(精练:基础+重难点)一轮复习讲义2024年高考数学高频考点题型归纳与方法总结(新高考通用)解析版_2.2025数学总复习_2024年新高考资料
第32练空间点、直线、平面间的位置关系(精练:基础+重难点)一轮复习讲义2024年高考数学高频考点题型归纳与方法总结(新高考通用)解析版_2.2025数学总复习_2024年新高考资料
第32练空间点、直线、平面间的位置关系(精练:基础+重难点)一轮复习讲义2024年高考数学高频考点题型归纳与方法总结(新高考通用)解析版_2.2025数学总复习_2024年新高考资料
第32练空间点、直线、平面间的位置关系(精练:基础+重难点)一轮复习讲义2024年高考数学高频考点题型归纳与方法总结(新高考通用)解析版_2.2025数学总复习_2024年新高考资料
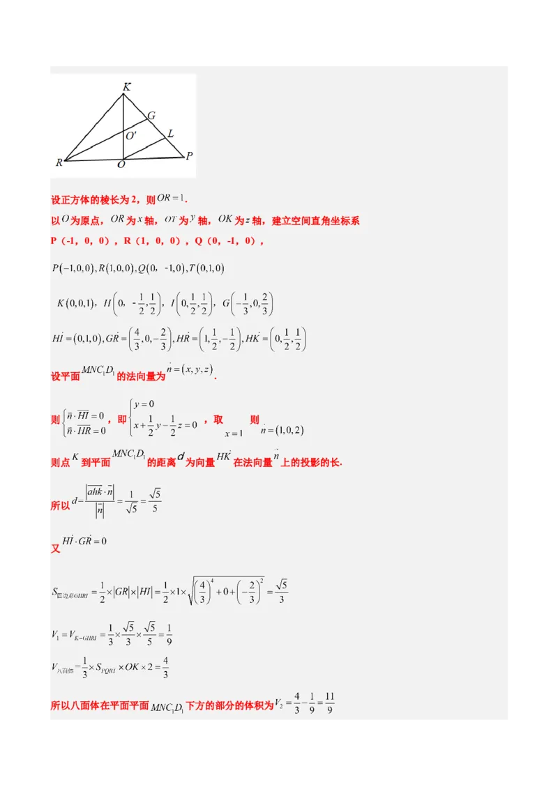
第32练空间点、直线、平面间的位置关系(精练:基础+重难点)一轮复习讲义2024年高考数学高频考点题型归纳与方法总结(新高考通用)解析版_2.2025数学总复习_2024年新高考资料

文档信息

文档格式
docx
文档大小
7.194 MB
文档页数
103 页
上传时间
2026-03-25 15:29:20

文档内容

【一轮复习讲义】2024年高考数学高频考点题型归纳与方法总结(新高考通用) 第 32 练 空间点、直线、平面间的位置关系(精 练) 【A组 在基础中考查功底】 一、单选题 1.若直线 是平面 的一条斜线,则在平面 内与 垂直的直线( ) A.有且只有一条 B.有无数条 C.有且只有两条 D.不存在 【答案】B 【分析】依题意画出图形,即可判断. 【详解】如图设斜线 与平面 交于点 ,在平面 内过点 作直线 , 则在平面 内所有与直线 平行的直线均与直线 垂直, 故在平面 内与 垂直的直线有无数条. 故选:B 2.下列命题错误的是( ) A.不共线的三点确定一个平面 B.一条直线和直线外一点,可确定一个平面 C.梯形可确定一个平面 D.圆心和圆上两点可确定一个平面 【答案】D 【分析】由平面的基本性质判断. 【详解】A.由平面的基本性质知:不共线的三点确定一个平面,故正确; B.由平面的基本性质的推论知:一条直线和直线外一点,可确定一个平面,故正确; C. 梯形有一组对边平行,由平面的基本性质的推论知:梯形可确定一个平面,故正确;D. 由平面的基本性质知:当圆心和圆上两点共线时,不能确定平面,故错误; 故选:D 3.如图所示,用符号语言可表达为( ) A. , , B. , , C. , , , D. , , , 【答案】A 【分析】结合图形及点、线、面关系的表示方法判断即可. 【详解】如图所示,两个平面 与 相交于直线 ,直线 在平面 内,直线 和直线 相交于点 , 故用符号语言可表达为 , , , 故选:A. 4.如图,在正方体 中,异面直线AC与 所成的角为( ) A. B. C. D. 【答案】D 【分析】由异面直线所成角的概念求解, 【详解】由题意,正方体中得 ,故异面直线AC与 所成的角,即正方形对角线 与 的夹 角 , 故选:D5.已知 表示不同的点, 表示直线, 表示不同的平面, 则下列推理中错误的是 ( ) A. B. C. 直线 与直线 是异面直线 D. 【答案】C 【分析】根据点、线、面的位置关系,结合公理1和公理3逐一对A、B、C、D四个选项作出判断即可. 【详解】对A,利用公理1:如果一条直线上的两点在一个平面内,则这条直线上的所有点都在这个平面 内,故A正确; 对B,根据公理3:如果两个平面有一个公共点,那么它们还有其它公共点,这些公点的集合是一条过该 点的公共直线,故B正确; 对C,直线 与点 ,则不能判断直线 与直线 的位置关系,故C不正确; 对D,直线l与平面 内有公共点A,又 ,则直线 与平面 只能相交,故D正确. 故选:C 6.三条直线两两相交,最多可以确定平面( ) A.1个 B.2个 C.3个 D.4个 【答案】C 【分析】根据题意,画出图形,结合公理2,即可得出答案. 【详解】在空间中,两两相交的三条直线最多可以确定3个平面. 如图, 相交于一点 ,且 不共面,则 确定一个平面 , 确定一个平面 , 确定一个平面 . 故选:C.7.已知互不重合的三个平面α、β、γ,其中 , , ,且 ,则下列结论一 定成立的是( ) A.b与c是异面直线 B.a与c没有公共点 C. D. 【答案】D 【分析】根据题设条件可得相应的空间图形,从而可得正确的选项. 【详解】∵ ,∴ , , ∵ , ,∴ , , , ∵ ,∴ ,∴ ,∴ , 如图所示:故A,B,C错误; 故选:D. 8.下列说法正确的是( ) A.一个平面里有三个不同的点到另一个平面的距离都相等,则这两个面平行 B.和同一条直线都相交的两条直线一定相交 C.经过空间中三个点有且只有一个平面 D.经过两条相交直线有且只有一个平面 【答案】D 【分析】根据空间中点线面的位置关系即可结合选项逐一求解. 【详解】对于A, 一个平面里有三个不同的点到另一个平面的距离都相等,则这两个面可能相交也可能平行,例如在正方体中, 平面 中的点 到平面 的距离均相等,但是平面 与平面 相交,不平行,故A错误, 对于B, 和同一条直线都相交的两条直线不一定相交,例如正方体中 均与 相交,但是 不相交,故B错误, 对于C,经过空间中三个不共线的点有且只有一个平面,故C错误, 对于D, 两条相交直线可以确定一个平面,因此经过两条相交直线有且只有一个平面,故D正确, 故选:D 9.在以下四个图中,直线a与直线b平行的位置关系只能是( ) A. B. C. D. 【答案】D 【分析】由平面α,β内的两直线的位置关系,判断直线a与直线b平行是否能够平行. 【详解】解:选项A中,平面α,β内的两直线异面,则a与b异面;选项B中,平面α,β内的两直线异面,则a与b异面; 选项C中,平面α,β内的两直线异面,则a与b异面; 选项D中,平面α,β内的两直线相交,两相交直线可以确定一个平面, 则a与b相交或平行,由图可知,a与b平行. 故选:D. 10.点E,F,G,H分别为空间四边形ABCD中AB,BC,CD,AD的中点,若AC=BD,且AC与 BD所 成角的大小为90°,则四边形EFGH是( ) A.梯形 B.空间四边形 C.正方形 D.有一内角为60°的菱形 【答案】C 【分析】根据已知,结合图形,利用三角形中位线的性质以及等角定理进行判断. 【详解】 因为点E,F,G,H分别为空间四边形ABCD中AB,BC,CD,AD的中点, 所以 , , , , 所以 , ,所以四边形 是平行四边形, 又AC与 BD所成角的大小为90°,所以 与 所成角的大小为90°, 即 ,所以四边形 是矩形, 又AC=BD, , ,所以 , 所以四边形 是正方形,故A,B,D错误. 故选:C. 11.在正方体 中, , 分别是 , 的中点,则直线 与直线 所成角的正切 值为( ) A. B. C. D.【答案】A 【分析】取 的中点 ,直线 与直线 所成的角为 ,在 中求其正切值即可. 【详解】如图,取 的中点 ,连接 , ,则 且 故直线 与直线 所成的角为 . 因为 面 , 面 ,所以 , , 设 , ,则 . 故选:A 12.在中国古代数学著作《九章算术》中记载了一种称为“曲池”的几何体,该几何体的上、下底面平行, 且均为扇环形(扇环是指圆环被扇形截的部分),现有一个如图所示的曲池,它的高为2, , , , 均与曲池的底面垂直,底面扇环对应的两个圆的半径分别为1和2,对应的圆心角为90°,则图 中异面直线 与 所成角的余弦值为( ) A. B. C. D.【答案】A 【分析】根据异面直线的夹角运算求解. 【详解】设 ,分别延长 到E,E1,使得 , 连接 , 可得 // , // ,则异面直线 与 所成角 (或其补角), 则 , 在 中,由余弦定理可得 , 即异面直线 与 所成角的余弦值为 . 故选:A. 13.如图, , , ,且 ,直线 ,过 三点的平面记作 ,则 与 的交线必通过( )A.点A B.点 C.点 但不过点 D.点 和点 【答案】D 【分析】利用点线面的位置关系证得 与 ,从而得到 ,据此解答即可. 【详解】对于AB,易得 ,故必不在 与 的交线上,故AB错误; 对于CD,因为过 三点的平面记作 ,所以面 与 是同一个面, 因为直线 ,所以 面 ,则 , 又 面 ,则 ,所以 ; 因为 , ,所以 ,又 ,所以 , 所以 , 所以 与 的交线必通过点 和点 ,故C错误,D正确. 故选:D. 14.已知四个选项中的图形棱长都相等,且P,Q,R,S分别是所在棱的中点,则这四个点不共面的是( ) A. B. C. D.【答案】D 【分析】利用空间中平行关系的转化可判断ABC正确,根据异面直线的定义可判断D错误. 【详解】在A图中,分别连接 , 由正方体可得四边形 为矩形,则 , 因为 为中点,故 ,则 ,所以 四点共面. 在B图中,设 为所在棱的中点,分别连接 , 由A的讨论可得 ,故 四点共面, 同理可得 ,故 ,同理可得 , 故 平面 , 平面 ,所以 六点共面. 在C图中,由 为中点可得 ,同理 , 故 ,所以 四点共面.在D图中, 为异面直线, 故选:D. 15.如图,在正三棱柱 中,若 则 与 所成角的大小为( ) A. B. C. D. 【答案】C 【分析】分别取 的中点 ,连接 ,把异面直线 与 所成的角转化为直 线 与 所成的角,在 中,结合余弦定理,即可求解. 【详解】如图所示,分别取 的中点 ,连接 , 可得 且 , 所以异面直线 与 所成的角,即为直线 与 所成的角,设 , 因为三棱柱 为正三棱柱,且 , 不妨设 , 在直角 中,可得 ,在直角 中,可得 , 再取 的中点 ,连接 ,可得 , 因为 底面 ,所以 底面 , 在直角 中,可得 , 所以 ,所以 , 所以异面直线 与 所成的角为 . 故选:C. 二、多选题 16.下列说法错误的有( ) A.三点确定一个平面 B. 平面外两点A、B可确定一个平面 与平面 平行 C.三个平面相交,交线平行 D.棱台的侧棱延长后必交与一点 【答案】ABC 【分析】利用平面的基本性质判断选项A;举反例判断选项BC;利用棱台的定义判断选项D即得解. 【详解】A. 不在同一条直线上的三点才能确定一个平面,所以该选项错误; B. 平面外两点A、B在平面 的垂线上,则经过A、B不能确定一个平面 与平面 平行,所以该选项错误; C. 三个平面相交,交线不一定平行,如三棱锥的三个侧面,所以该选项错误; D. 棱台的侧棱延长后必交与一点,所以该选项正确. 故选:ABC 17.我们知道,平面几何中有些正确的结论在空间中不一定成立.下面给出的平面几何中的四个真命题, 在空间中仍然成立的有( ) A.平行于同一条直线的两条直线必平行 B.垂直于同一条直线的两条直线必平行 C.一个角的两边分别平行于另一个角的两边,那么这两个角相等或互补 D.一个角的两边分别垂直于另一个角的两边,那么这两个角相等或互补 【答案】AC 【分析】根据线线平行传递性和课本中的定理可判断AC正确;垂直于同一条直线的两条直线位置关系不 确定,可判断B,通过举反例可判断D. 【详解】根据线线平行具有传递性可知A正确; 空间中垂直于同一条直线的两条直线,位置关系可能是异面、相交、平行,故B错误; 根据定理:空间中如果两个角的两边分别对应平行,那么这两个角相等或互补可知C正确; 如图, 且 , 则 但 和 的关系不确定, 故D错误. 故选:AC 18.如图,在正方体中,A、B、C、D分别是顶点或所在棱中点,则A、B、C、D四点共面的图形 ( ) A. B.C. D. 【答案】ACD 【分析】利用中位线、平行四边形的性质结合平行线的传递性进行说明即可. 【详解】解:对于A:取GD的中点F,连结BF、EF, 因为B、F均为相应边的中点,则BF∥HG,且BF=HG, 又HG∥AE,HG=AE,则BF∥AE,BF=AE,即ABCD为平行四边形, 所以AB∥EF,同理CD∥EF, 则AB∥CD,即A、B、C、D四点共面,故A正确; 对于B:显然AB与CD异面,故B不正确; 对于C:连结AC、BD、EF,因为BE∥DF,即BDFE为平行四边形, 所以BD∥EF,又A、C分别为相应边的中点,则AC∥EF, 所以BD∥AC,即A、B、C、D四点共面,故C正确; 对于D:连结AC、BD、EF、GH,因为GE∥HF,即GEFH为平行四边形,则GH∥EF, 又A、C分别为相应边的中点,则AC∥EF,同理BD∥GH, 所以BD∥AC,即A、B、C、D四点共面,故D正确. 故选:ACD. 19.已知直线a,b和平面 ,且 , ,则a与b的关系可以为( ) A.平行 B.相交 C.异面 D.垂直 【答案】BCD 【分析】根据 是否共面,讨论 , 时 之间的位置关系即可. 【详解】当 共面,若 , 则 且 相交;当 不共面,若 , 则 且 不 相交,即异面垂直关系; 故选:BCD 20.如图所示是正四面体的平面展开图, 分别为 的中点,在这个正四面体中,下列命题 正确的是 A. 与 平行 B. 与 为异面直线 C. 与 成60°角 D. 与 垂直 【答案】BCD 【分析】首先由平面展开图还原几何体,在几何体中判断线与线的位置关系,直接判断 选项,再根据 线面垂直判断线线的位置关系.【详解】如图,把平面展开图还原成正四面体,知 与 为异面直线,A不正确; 与 为异面直线,B正确; , ,而 , , 与 成60°角,C正确; 连接 , , 平面 , , 又 与 垂直, D正确. 故选:BCD 【点睛】本题考查线与线的位置关系,意在考查空间想象能力和推理证明,属于基础题型. 21.一个正方体纸盒展开后如图所示,在原正方体纸盒中有如下结论,其中正确的是( ) A. B. 与 所成的角为60° C. 与 是异面直线 D. 平面 【答案】ACD 【分析】将平面图形还原为立体图形, , ,A正确B错误,观察知C正确,根据平面平面 得到D正确,得到答案. 【详解】如图所示,将平面图形还原为立体图形,根据正方体的性质知: , ,故 ,A正确B错误; 与 是异面直线,C正确; 平面 平面 , 平面 , 平面 ,D正确. 故选:ACD 22.在空间四面体 中,如图, 分别是 的中点,则下列结论一定正确的为 ( ) A. B. C. 与 相交 D. 【答案】ABC 【分析】由题易得四边形 为平行四边形,即可得到结论. 【详解】如图∵ 分别是 的中点, ∴ 且 , 且 , ∴ 且 , ∴四边形 为平行四边形, ∴选项ABC正确; 又由题可知 , 与 不一定相等,故选项D错误. 故选:ABC. 23.如图,在正方体 中,P,Q分别是棱 的中点,平面 平面 , 则下列结论中不正确的有( ) A.l过点 B.l不一定过点 C. 的延长线与 的延长线的交点不在l上 D. 的延长线与 的延长线的交点在l上 【答案】BC 【分析】连接 ,在正方体中可得四边形 是平行四边形,由点共面得点共线可判断A B; 的延长线与 的延长线的交点 , 的延长线与 的延长线交点 , 由点共面得点共线可判断CD.【详解】连接 ,在正方体 中,取 的中点 , 连接 ,则 , 所以四边形 是平行四边形, 平面 , 平面 , 所以 ,故A正确,B错误; 如图 的延长线与 的延长线的交点 , 的延长线与 的延长线交点 , 因为 平面 ,所以 平面 , 因为 平面 ,所以 平面 ,所以 , 因为 平面 ,所以 平面 , 因为 平面 ,所以 平面 ,所以 , 故C错误,D正确. 故选:BC. 三、填空题 24.如图,在长方体 中, , , , 是 的中点,则异面直线 与 所成的角等于【答案】 / 【分析】取 中点 ,根据平行关系和异面直线所成角定义可知所求角为 ,由长度关系可得结果. 【详解】取 中点 ,连接 , , , 四边形 为平行四边形, , 异面直线 与 所成角即为直线 与 所成角,即 (或其补角), , , , 为等边三角形, , 即异面直线 与 所成角为 . 故答案为: . 25.在正方体 中, 为面 的中心,则平面 与平面 的交线为 . 【答案】 / 【分析】依题意平面 即平面 ,由正方体的性质可知 ,且 为两平面的公共点, 即可得解. 【详解】解:平面 即平面 ,因为 平面 , 平面 ,又 , 平面 , 平面 , 所以平面 平面 . 故答案为: 26.在空间四边形 的边 , , , 上分别取点 , , , ,如果 , 相交于一 点 ,那么 一定在直线 上. 【答案】BD 【解析】根据题意,可得直线 、 分别是平面 、平面 内的直线,因此 、 的交点必定 在平面 和平面 的交线上.而平面 交平面 于 ,由此即可得到点 在直线 【详解】 点 、 分别在 、 上,而 、 是平面 内的直线 平面 , 平面 ,可得直线 平面 , 点 、 分别在 、 上,而 、 是平面 内的直线, 平面 , 平面 ,可得直线 平面 , 因此,直线 与 的公共点在平面 与平面 的交线上, 平面 平面 , 点 直线 .故答案为: . 27.在如图所示的正方体中,下列说法中正确的是 . ①点 平面ABCD;②点 平面 ;③点 直线 ;④ 平面ABCD于点E;⑤ 平 面 于点F. 【答案】①⑤ 【分析】由图判断点与直线、直线与平面、点与平面的位置关系,注意点与直线、平面为属于或不属于关 系,直线与平面为包含于或不包含于关系. 【详解】①由图,点 ,而 面 ,故点 平面ABCD,正确; ②由图,点 ,而 面 ,故点 平面 ,错误; ③由图,点 直线 ,错误; ④由图, ,而 平面ABCD,错误; ⑤由图, , 面 , 面 ,则 平面 于点F,正确. 故答案为:①⑤28.已知点 ,直线 与平面 ,现有下列命题: ①∵ , ,∴ ; ②∵ , ,∴ ; ③∵ , ,∴ ; ④∵ , ,∴ ; ⑤∵ , ,且 , ,∴ . 其中,符号表示和推理都正确的命题序号是 . 【答案】④ 【分析】在立体几何中,线和面都看成是点的集合,点与线,点与面之间看成元素与集合的关系,用 , 线与面之间看成集合与集合的关系,用 ,由此判断①②中的符号错误;然后利用点线面的有关公理或 者举反例即可对其余的命题作出判定. 【详解】①中的点与平面的关系应当用 符号; ②中直线 ; ③推理错误:不在直线 上的点可以在平面 内; ④根据直线在平面内的定义可知正确; ⑤中的直线 可能与平面 相交与除 之外的其它点. 故答案为:④ 29.如图,在正方体 中,下列说法正确的个数是 . ①直线 在平面 上; ②由点A、O、C可以确定一个平面;③直线 与点D不能确定一个平面; ④由点A、 、 确定的平面与由点A、 、D确定的平面是同一平面. 【答案】1 【分析】根据立体几何基本事实判断各命题即可. 【详解】因为直线 与平面 相交于点 ,所以错; 因为点A、O、C三点共线,所以可以确定无数个平面,错; 因为点 不在直线 上,所以直线 与点D能确定一个平面,错; 因为直线 ,所以点 四点共面,故正确; 故正确的命题只有一个, 故答案为:1. 30.如图所示. 是正方体,O是 的中点,直线 交平面 于点M,给出下列结 论: ①A、M、O三点共线; ②A、M、O、 不共面: ③A、M、C、O共面; ④B、 、O、M共面, 其中正确的序号为 . 【答案】①③ 【分析】由公理1判断①,由公理2判断②和③,用反证法判断④ 【详解】连接 ,因为 是 的中点,所以 ,平面 与平面 有公共点A与 ,则平面 平面 , 对于①, 平面 ,则 平面 ,因为 平面 ,则 ,即A, M,O三点共线,所以①正确, 对于②③,由①知A,M,O三点共线,所以A,M,O, 共面,A,M,C,O共面,所以②错误,③ 正确; 对于④,连接 ,则 都在平面 上,若 平面 ,则直线 平面 ,所以 平面 ,显然 平面 ,所以④错误, 故答案为:①③ 31.如图,已知AB,CD分别是圆柱上、下底面圆的直径,且 ,若该圆柱的底面圆直径是其母线 长的2倍,则异面直线AC与BD所成角的余弦值为 . 【答案】 . 【分析】利用空间向量夹角公式进行求解即可. 【详解】取CD的中点O,以O为原点,以CD所在直线为x轴, 以底面内过点O且与CD垂直的直线为y轴, 以过点O且与底面垂直的直线为z轴,建立如图所示的空间直角坐标系.设 ,则 , , , , , , 所以 , 所以异面直线AC与BD所成角的余弦值为 . 故答案为: 32.如图,在正四面体 中, 面 ,则在平面 内过点 与直线 成 角的直线共有 【答案】 条 【分析】由于正四面体 各个面都是正三角形,则在平面 内过 点有两条直线 、 与 成 ,即可判断. 【详解】解:根据正四面体的性质可知,在平面 内过点 与直线 成 角的直线共有 条,分别为 和 , 因此在平面 内过点 与直线 成 角的直线共有 条,即过点 作直线与 和 平行的直线; 故答案为: 条. 33.如图,在四棱锥 中, 底面 ,底面 为正方形, , 为 上 一点,且 ,则异面直线 与 所成的角的大小为 .【答案】 / 【分析】建立以 为原点,分别以 的方向为 轴, 轴, 轴正方向得空间直角坐标系 , 设异面直线 与 所成的角为 ,根据公式得 ,即可解决. 【详解】由题知,在四棱锥 中, 底面 ,底面 为正方形, , 为 上一点,且 , 易知 两两垂直,所以建立以 为原点,分别以 的方向为 轴, 轴, 轴正方向得 空间直角坐标系 , 所以 ,所以 , 设异面直线 与 所成的角为 ,所以 ,所以 , 故答案为: 34.已知直三棱柱 的侧棱与底面边长都相等,D,F分别是 和 的中点,那么异面直线BD和AF所成角的余弦值等于 . 【答案】 【分析】根据直三棱柱 的性质以及等边三角形的性质,取 的中点 ,易证得 平面 ,建立空间直角坐标系,运用向量与向量的夹角和直线与直线所成的角的关系,即可得出异面直线 BD和AF所成角的余弦值. 【详解】因为直三棱柱 的侧棱与底面边长都相等, 所以 为等边三角形,取 的中点 ,所以 , 因为 为 的中点,所以 , 又因为 平面 ,所以 平面 , 如图,以 为坐标原点,分别以 , , 所在直线为 轴, 轴, 轴,建立空间直角坐标系, 因为直三棱柱 的侧棱与底面边长都相等,设 , 则 , , , , , , 设异面直线 和 所成角为 , 所以 , 即异面直线 和 所成角的余弦值为 . 故答案为: .35.在正三棱锥 中,异面直线PA与BC所成角的大小为 . 【答案】 【分析】利用线面垂直即可求得PA与BC垂直,进而得到异面直线PA与BC所成角的大小 【详解】正三棱锥 中,取BC中点D连接AD、PD, 则 , , 又 , 平面 , 平面 , 则 平面 ,又 平面 ,则 则异面直线PA与BC所成角的大小为 故答案为: 36.如图,在三棱锥 中, ,且 , , 分别是棱 , 的中点,则 和 所成的角等于 .【答案】 / 【分析】取BC的中点G,连接FG、EG,则 为EF与AC所成的角.解 . 【详解】如图所示,取BC的中点G,连接FG,EG. ,F分别是CD,AB的中点, , ,且 , . 为EF与AC所成的角(或其补角). 又 , . 又 , , , 为直角三角形, ,又 为锐角, ,即EF与AC所成的角为 . 故答案为: . 37.如图,直三棱柱 所有棱长均为2,M为 的中点,则异面直线 与 所成角的余弦 值为 .【答案】 【分析】取中点,找到异面直线 与 所成角,结合余弦定理可求答案. 【详解】取 的中点 ,连接 ; 因为 分别为 的中点,所以 且 , 或其补角是异面直线 与 所成角; 因为直三棱柱 所有棱长均为2,所以 , , ; 在 中, . 所以异面直线 与 所成角的余弦值为 . 故答案为: .38.如图,在直三棱柱ABC—ABC 中,D为AB 的中点,AB=BC=2BB=2, ,则异面直线 1 1 1 1 1 1 BD与AC所成的角为 . 【答案】 / 【分析】利用平行线的转化,将异面直线所成的角转化为相交线所成的角,即可求解. 【详解】如图, 取B1C1的中点E,连接BE,DE, 则AC∥A1C1∥DE, 则∠BDE即为异面直线BD与AC所成的角. 由条件可知 , ,所以 是等边三角形, 所以∠BDE= . 故答案为: 39.在正四棱锥 中,若高为1,底面边长为2,E为BC的中点,则异面直线PE与DB所成角的 大小为 . 【答案】 /60° 【分析】连结BD,作PO⊥平面ABCD,交BD于O.取AB中点F,取BC中点E.以O为原点,OF为x轴,OE为 y轴,OP为z轴建立空间直角坐标系.用向量法求异面直线PE与DB所成角. 【详解】如图,连结BD,作PO⊥平面ABCD,交BD于O.取AB中点F,取BC中点E.以O为原点,OF为x 轴,OE为y轴,OP为z轴建立空间直角坐标系.由已知得 ,E(0,1,0),B(1,1,0),D(-1,-1,0),所以 , . 所以 . 因为 ,所以 . 即异面直线PE与DB所成的角为 . 故答案为: . 四、解答题 40.正方体 中, M,N ,Q ,P 分别是AB ,BC , , 的中点. (1)证明:M,N ,Q ,P 四点共面. (2) 证明:PQ,MN ,DC三线共点. 【答案】(1)证明见解析;(2)证明见解析. 【分析】(1)连接 ,由正方体的几何特征及平面几何的知识可得 ,由平面的基本性质即可 得证;(2)由题意可得 是平面 平面 的交线,由平面的基本性质即可得证. 【详解】(1)连接 . 分别为 的中点, 且 , 分别为 , 的中点, 且 . 四边形 为平行四边形, 且 且 四点共面. (2)由(1)知 且 必交于一点 . 平面 平面 . 平面 平面 . 又 平面 平面 . ,即 三线共点. 41.如图,在空间四边形 中, 分别是 的中点, 分别在 上,且(1)求证: 四点共面; (2)设 与 交于点 ,求证: 三点共线. 【答案】(1)证明见解析; (2)证明见解析. 【分析】(1)根据题意,利用中位线定理和线段成比例,先证明 ,进而证明问题; (2)先证明 平面 , 平面 ,进而证明点P在两个平面的交线上,然后证得结论. 【详解】(1)连接 分别是 的中点, .在 中, .所以 四点共面. (2) ,所以 , 又 平面 平面 , 同理: , 平面 平面 , 为平面 与平面 的一个公共点. 又平面 平面 ,即 三点共线. 42.如图,在长方体ABCD-ABC D 中,点E,F分别为棱AA,AB的中点. 1 1 1 1 1(1)求证:四边形EFCD 是梯形; 1 (2)证明:直线DE,DA,CF共点. 1 【答案】(1)证明见解析; (2)证明见解析. 【分析】(1)利用平行于同一直线的两直线相互平行得 且 ,故四边形EFCD1是梯形; (2)空间中要证三线共点可使用公理:若两平面有公共点,有且仅有一条通过该点的公共直线. 【详解】(1)如图,连接EF,CD1,A1B, ∵AF=BF,AE=A1E,∴ 且 ∵在长方体ABCD-A1B1C1D1中, 且 , ∴四边形 为平行四边形, ∴ 且 , ∴ 且 , ∴四边形EFCD1是梯形; (2)由(1)可知, 与CF一定相交,设 ,所以 , 平面 ,所以 平面 , 同理可得 平面AC, 所以 平面 平面 , 又平面 平面 =AD,所以 , 所以直线 ,DA,CF共点. 43.如图,在棱长为1的正方体 中,G、M分别是棱 、BC的中点. (1)证明:A、M、G、 共面; (2)求四边形 的周长. 【答案】(1)证明见解析 (2) 【分析】(1)运用基本事实的推论:两平行线确定一个平面,证明 即可;(2)四边形 为等腰梯形,分别求出四边长即可. 【详解】(1)证明:连接 ,如下图: 在正方体 中, 且 , 四边形 是平行四边形, 又 G、M分别是棱 、BC的中点 A、M、G、 共面 (2)因为正方体的棱长为1,所以 , , . 所以,四边形 的周长 . 【B组 在综合中考查能力】 点线面B 组 一、单选题 1.下列命题中,正确的是( ) A.一条直线和两条平行直线中的一条相交,必和另一条也相交B.一条直线和两条平行直线中的一条确定一个平面,必和另一条也确定一个平面 C.一条直线和两条平行直线中的任何一条都无公共点,当它和其中一条是异面直线时,它和另一条也 必是异面直线 D.一条直线和两条平行直线中的任何一条都无公共点,则这三条直线平行 【答案】C 【分析】由空间中直线与直线的位置关系,结合异面直线的定义逐一分析四个选项得答案. 【详解】一条直线和两条平行直线中的一条相交,则和另一条相交或异面,A错误; 一条直线和两条平行直线中的一条确定一个平面,设a∥b,l与a确定一个平面,则l与a平行或相交,如 下图l与a相交的情况,l与b异面,B错误; 一条直线和两条平行直线中的任何一条都无公共点,当它和其中一条是异面直线时,它和另一条如果不是 异面直线,即与另一条平行,由平行公理知:三条直线互相平行,与题设有矛盾,C正确; 一条直线和两条平行直线中的任何一条都无公共点,则这三条直线平行或直线与两平行直线都异面, D错 误. 故选:C 2.一封闭的正方体容器 ,P,Q,R分别是AB,BC和 的中点,由于某种原因,P, Q,R处各有一个小洞,当此容器内存水的表面恰好经过这三个小洞时,容器中水的上表面形状是( ) A.三角形 B.四边形 C.五边形 D.六边形 【答案】D 【分析】过P,Q,R三点的平面为六边形,可以根据平面的性质公理,先后证明其余三个顶点在P,Q, R所确定的平面上.【详解】 如图,设过P,Q,R三点的平面为平面 . 分别取 , , 的中点F,E,M, 连接RF,FE,EP,PQ,QM,MR,EM,QF,RP. 由正方体性质知 ,所以 平面 . 又 ,所以 平面 . 又 ,所以 平面 . 所以点六边形RFEPQM为容器中水的上表面的形状. 故选:D. 3.在正四棱锥 中, ,M为棱PC的中点,则异面直线AC,BM所成角的余弦值为 ( ) A. B. C. D. 【答案】D 【分析】根据已知条件建立空间直角坐标系,求出相关点的坐标,分别求出直线AC,BM的方向向量, 利用向量的夹角公式,结合向量的夹角与异面直线所成角的关系即可求解. 【详解】设AC,BD交于点O,以O为原点, , , 方向分别为x轴、y轴、z轴的正方向,建 立空间直角坐标系 ,如图所示,则 , , , , , 所以 , , 设异面直线AC,BM所成角为 ,则 . 故选:D. 4.一个正方体纸盒展开后如图所示,在关于原正方体纸盒的下列结论中正确的是( ) A. B. C. D. 【答案】A 【分析】把正方体的平面展开图还原成原来的正方体,利用正方体的几何特征逐项判断. 【详解】解:把正方体的平面展开图还原成原来的正方体如图所示:则 ,故A正确; 因为 ,则 为直线AB与直线CN所成的角,因为 是等边三角形,则 , 故AB与CN不垂直,故B错误; 因为 ,又 ,所以 ,故C错误; 因为 ,则 为直线MN与直线EF所成的角,因为 是等边三角形,则 ,故 MN与EF不平行,故D错误;故选:A 5.如图,在正方体 中, 为棱 的中点.设 与平面 的交点为 ,则 ( ) A.三点 共线,且 B.三点 不共线,且 C.三点 共线,且 D.三点 不共线,且 【答案】A 【分析】利用平面基本事实证明点O在直线 上,再借助正方体性质说明 可得线段比例 式,即可求得答案.【详解】在正方体 中,连接 ,如图, ,故 共面, 连接 ,平面 平面 , 因为M为棱 的中点,则 平面 , 而 平面 ,即 平面 ,又 ,则 平面 , 因AM与平面 的交点为O,则 平面 , 于是得 ,即 三点共线, 由 , 为棱 的中点,可得 且 ,故 于是 得 ,即 , 所以三点 共线,且 . 故选:A 6.在平行六面体 中,底面 是边长为2的正方形, , , 则异面直线 与 所成角的余弦值为( ) A. B. C. D.【答案】C 【分析】根据给定条件,利用空间向量求出异面直线 与 所成角的余弦值作答. 【详解】在平行六面体 中, , , , , 则 ,而 ,且 , 于是 , 因此 , 所以异面直线 与 所成角的余弦值为 . 故选:C 7.已知直三棱柱 中, , , ,D是 的中点,则异面直线 与CD所成角的余弦值为( ) A. B. C. D. 【答案】B 【分析】根据题意,取 中点 ,连接 ,可得 为异面直线 与 所成的角,再结合余 弦定理,即可得到结果.【详解】 取 中点 ,连接 , 在直三棱柱 中, , 因为 分别为 , 的中点, 所以 , ,即四边形 为平行四边形, 所以 , 为异面直线 与 所成的角, 因为 , , 所以 , , , 在直三棱柱 中, ,所以 , ,在 中,由余弦定理可得, . 故选:B 8.已知正四面体 , 为 中点, 为 中点,则直线 与直线 所成角的余弦值为 ( ) A. B.- C. D. 【答案】A 【分析】利用中位线的性质,将异面直线所成角,转化为相交直线所成的角,再结合余弦定理,即可求解.【详解】如图,连结 ,取 的中点 ,连结 , 因为点 分别是 的中点,所以 , 所以异面直线 和 所成的角是 或其补角, 设正四面体的棱长为 , 则 , , , . 故选:A 9.如图正方体 ,棱长为1,P为 中点,Q为线段 上的动点,过A、P、Q的平面截该 正方体所得的截面记为 .若 ,则下列结论错误的是( )A.当 时, 为四边形 B.当 时, 为等腰梯形 C.当 时, 为六边形 D.当 时, 的面积为 【答案】C 【分析】根据题意,依次讨论各选项,作出相应的截面,再判断即可. 【详解】解:当 时,如下图1, 是四边形,故A正确; 当 时,如下图2, 为等腰梯形,B正确: 当 时,如下图3, 是五边形,C错误; 当 时,Q与 重合,取 的中点F,连接 ,如下图4,由正方体的性质易得 ,且 ,截面 为 为菱形,其面积为 ,D正确. 故选:C10.在正方体 中,E为 的中点,平面 与平面 的交线为l,则l与 所成角 的余弦值为( ) A. B. C. D. 【答案】D 【分析】延长 , 交直线于点M,延长 交于点 ,连接 ,则直线 即为交 线 ,从而可得 即为l与 所成的角,解 即可得解. 【详解】解:延长 , 交直线于点M,延长 交于点 ,连接 , 则直线 即为交线 , 又 ,则 即为l与 所成的角,设正方体棱长为1, 因为E为 的中点, , 所以 为 的中点, 为 的中点,点 为 的中点, 为 的中点, 则 , 又 , 所以 , 所以 , 则 , , , 所以 , 即l与 所成角的余弦值为 . 故选:D. 二、多选题 11.已知在正四面体 中, 、 、 、 分别是棱 , , , 的中点,则( )A. 平面 B. C. 平面 D. 、 、 、 四点共面 【答案】ABD 【分析】把正四面体 放到正方体里,对于A项根据线面平行的判定定理证明 对于B项,从正方体的角度上看易得 对于D项,证明四边形 是平行四边形可验证 对于C项,反证法证明,矛盾点是 与 的夹角. 【详解】把正四面体 放到正方体里,画图为: 对于A项, 、 分别为 , 的中点, 又 平面 且 平面 平面 ,故A正确 对于B项,从正方体的角度上看易得 ,故B正确. 对于D项, 、 、 、 分别是棱 , , , 的中点 且 且 所以 所以四边形 是平行四边形,故 、 、 、 四点共面,所以D正确. 对于C项,若 平面 成立,即 平面 又因为 平面 所以 又因为 、 分别为 , 的中点, 所以所以 而 为等边三角形,与 矛盾,所以C不正确. 故选:ABD 12.如图,在正方体 中, 分别为 的中点,则以下结论正确的是 ( ) A. B.平面 平面 C. 平面 D.异面直线 与 所成角的余弦值是 【答案】BCD 【分析】由题意可得出 ,可判断A;因为四点 共面,所以平面 平面 可判断B;由线面平行的判定定理可判断C;由异面直线所成角可判断D. 【详解】对于A,连接 ,易证 ,因为 平面 , 而 平面 ,所以 , 所以在 中, 与 不垂直,所以 不垂直,故A不正确;对于B,连接 ,因为 分别为 的中点, 所以 ,所以四点 共面, 所以平面 平面 ,故B正确; 对于C,连接 ,易证 ,所以四边形 是平行四边形, 所以 ,所以 平面 , 平面 , 所以 平面 ,故C正确; 对于D,连接 ,易知 ,异面直线 与 所成角即直线 与 所成角, 即 ,设正方体的边长为 , 所以 , 所以 ,所以异面直线 与 所成角的余弦值是 ,故D正确. 故选:BCD. 13.如图,在棱长为2的正方体 中,点 为底面 的中心,则( ) A.与 异面的面对角线共有8条 B. C.异面直线 与 所成角的余弦值为 D.若 为正方体 内的一个动点,且 ,则 的最小值为 【答案】BCD 【分析】由12条面对角线与 的位置关系,判断选项A;通过线面垂直证明线线垂直判断选项B;几何 法结合余弦定理求异面直线所成角的余弦值判断选项C;通过线面垂直得点P轨迹,体积法求 的最小 值. 【详解】正方体 的面对角线共有12条,其中与 共面的面对角线有6条,所以与 异面的面对角线有6条,A选项不正确; 连接 ,由 , 平面 , 平面 , , 平面 , ,则 平面 ,平面 ,所以 ,B选项正确; 取 的中点 ,连接 ,则 , 正方体棱长为2,则面对角线长为 ,体对角线长为 , , , , 则 中, , 即异面直线 与 所成角的余弦值为 ,C选项正确; 连接 为正方体内的一个动点,且 , ,同理有 , 平面 , , 所以 平面 ,可知 在 内,当 为 与平面 的交点时, 取得最小值, 由 ,得 , 即 ,可得 ,D选项正确. 故选:BCD 14.如图,在所有棱长均为2的正三棱柱 中,点 是棱 的中点, , 过点 作平面 与平面 平行,则( )A.当 时, 截正三棱柱 的截面面积为 B.当 时, 截正三棱柱 的截面面积为 C. 截正三棱柱 的截面为三角形,则 的取值范围为 D.若 ,则 截正三棱柱 的截面为四边形 【答案】ABD 【分析】利用平面的基本性质画出不同 对应的截面图形,结合已知求它们的面积判断各选项正误. 【详解】A: 时,过 作与面 平行的平面 ,如下图面 且 为中点, 所以 故 上的高为 ,此时截面面积为 ,正确; B: 时,过 作与面 平行的平面 ,如下图面 且 为中点,所以 ,则 ,故 ,此时截面面积为 ,正确; C:由B知: 时,平面 与 的截面也为三角形,错误; D:若 为 中点,当 在 上(不含端点)时,即 , 利用平面的基本性质画出平面 与 的截面如下图示: 结合上述分析: 过程中,截面为四边形,正确; 故选:ABD 15.如图,在正方体 中,M,N分别为棱 的中点,则以下四个结论中,正确的 有( ) A.直线AM与 是相交直线 B.直线BN与 是异面直线 C.AM与BN平行D.直线 与BN共面 【答案】BD 【分析】根据异面直线的定义,结合三角形中位线定理、正方体的性质、共面的判定方法逐一进行判断即 可 【详解】解:A选项,∵ 四点不共面, ∴根据异面直线的定义可得直线AM与 是异面直线,故选项A错误; B选项,∵ 四点不共面, ∴根据异面直线的定义可得直线BN与 是异面直线,故选项B正确; C选项,取 的中点E,连接AE、EN,则有 , 所以四边形 是平行四边形,所以 , ∵AM与AE交于点A,∴AM与AE 不平行,则AM与BN不平行,故选项C错误; D选项,连接 , 因为 , 分别为棱 , 的中点, 所以 ,由正方体的性质可知: , 所以 ,∴ 四点共面, ∴直线 与BN共面,故选项D正确. 故选:BD.16.如图,在正方体 中,点 在 上,且 ,点 在体对角线 上,且 ,则下列说法正确的是( ) A. , , 三点共线 B. , , , 四点共面 C. , , 三点共线 D. , , , 四点共面 【答案】AB 【分析】建立如图空间直角坐标系,对A、C,由向量共线定理判断即可;对B、D,先由三点确定一个平 面,再证第四个点在不在面上即可 【详解】建立如图所示空间直角坐标系,设正方体棱长为3,则 , , , , , , ,由 得 , ,由 得 , 对A、C, , ; , ,则 , 故A对C错; 对B、D,由 得 共面, ,故 , , , 四点共面;由 得 共面, ,故 , , , 四点共面, 平面 ,即 平面 ,故 , , , 四点不共面,故B对D错. 故选:AB 三、填空题 17.下列判断中:①三点确定一个平面;②一条直线和一点确定一个平面;③两条直线确定一个平面;④ 三角形和梯形一定是平面图形;⑤四边形一定是平面图形;⑥六边形一定是平面图形;⑦两两相交的三条 直线确定一个平面.其中正确的是 . 【答案】④ 【分析】根据平面的公理及推论进行判断得解 【详解】解①根据公理2知,必须是不共线的三点确定一个平面,故①不对; ②根据一条直线和直线外的一点确定一个平面知,故②不对; ③由异面直线的定义知,两条直线不一定确定一个平面,故③不对; ④因梯形的一组对边平行,所以由“两条平行确定一个平面”知,梯形是一个平面图形, 又因三角形的三个顶点不共线,故④对; ⑤比如空间四边形则不是平面图形,故⑤不对; ⑥比如空间六边形则不是平面图形,故⑥不对; ⑦两两相交于同一点的三条直线,如三棱锥的三个侧面,它们确定了三个平面,故⑦不对. 故答案为:④. 18.在棱长为3的正方体 中,已知点P为棱 上靠近点 的三等分点,点Q为棱CD上一动点.若M为平面 与平面ABCD的公共点,且点M在正方体的表面上,则所有满足条件的点M构 成的区域面积为 . 【答案】 【分析】根据已知条件及基本事实1中的推理2和基本事实3得到点M的区域,利用三角形相似及梯形的 面积公式即可求解. 【详解】延长DA, 交于点N,连接NQ交AB于点E, 则线段EQ为平面 与平面ABCD的公共点M的集合, 当Q运动到点D时,E与A重合;当Q运动到点C时, 设此时E点运动到F点,则梯形FADC即为点M构成的区域, 因为 ∽ ,所以 , 所以 ,所以 . 故答案为: . 19.如图,在直三棱柱 中,D为 的中点, , ,则异面直线BD 与AC所成的角的余弦值 .【答案】 【分析】取 的中点E,易得 (或其补角)为异面直线 与 所成的角,根据直棱柱的性质结 合条件即得. 【详解】如图,取 的中点E,连接 ,则 , 所以 (或其补角)即为异面直线 与 所成的角, 由题可知 , , 所以 , 故答案为: . 20.如图,在棱长为 的正方体 中, 分别是正方形 的中心, 在线段 上, ,则过点 的正方体的截面的面积是 .【答案】 【分析】根据题意,作出截面图形,进而求解即可. 【详解】取 中点 , 中点 , 中点 , 中点 , 因为 ,所以截面为矩形 ,且 , , 所以截面的面积是 . 故答案为: . 21.在三棱锥PABC中, 和 均为等边三角形,且二面角 的大小为120°,则异面直线 PB和AC所成角的余弦值为 . 【答案】 【分析】取BC的中点O,连接OP, OA,由题意可得AO⊥BC,PO⊥BC,从而得PAO⊥平面ABC,∠POA =120°,建立空间直角坐标系,利用空间向量求解即可. 【详解】解:如图,取BC的中点O,连接OP, OA, 因为 和 均为等边三角形, 所以AO⊥BC,PO⊥BC, , 所以BC⊥平面PAO, 平面ABC, 所以平面PAO⊥平面ABC, 且∠POA的大小就是二面角P-BC-A的大小,即∠POA=120°, 建立空间直角坐标系如图所示, 设 , 则点 , ,B(0,1,0), , 所以 , , 所以 , 所以异面直线PB与AC所成角的余弦值为 . 故答案为: 22.在如图所示的试验装置中,两个正方形框架ABCD,ABEF的边长都是2,且所在的平面互相垂直.可以 滚动的弹珠M,N分别从A,F出发沿对角线AC,FB匀速移动,已知弹珠N的速度是弹珠M的速度的3 倍,且当弹珠N移动到B处时试验终止,则弹珠M,N间的最短距离是 .【答案】 【分析】设出 与 长度,根据已知的面面垂直得到 ,再利用余弦定理与勾股定理求得 的长度表达式,即可得到 最小值. 【详解】过点M做MH垂直AB于H,连接NH,如图所示, 因为面 面 ,面 面 ,MH在面ABCD内, ,则 面 , 面 ,所以 . 由已知弹子N的速度是弹子M的速度的3倍, 设 ,则 , 因为 , 为正方形, ,则 , , 所以 , 所以 , ,由余弦定理可得 所以 , 当 时, , 所以 , 故答案为: . 23.在长方体 中, , ,则异面直线 , 所成的角的余弦值为 . 【答案】 【分析】连接 ,证明 ,则 或其补角即为异面直线 , 所成角的平面角,再 解 即可. 【详解】如图,连接 , 因为 且 , 所以四边形 为平行四边形,所以 ,则 或其补角即为异面直线 , 所成角的平面角, 在 中, , 由余弦定理得 , 即异面直线 , 所成的角的余弦值为 . 故答案为: . 四、解答题 24.已知正方体 的棱长为1,E、F分别为 、 的中点, (1)求证∶直线 与直线 是异面直线 【答案】(1)证明见解析;(2) 【分析】(1)利用反证法可证得; (2)建立空间直角坐标系,利用空间向量的夹角公式可求得. 【详解】(1)证明:假设直线 与直线 是异面直线, 显然直线 与直线 , 都相交,结合两条相交直线确定一个平面,可知直线 , 相交确定平面 ,直线 , 相交确定平面 , 由于三条直线两两相交并且共面,则只能确定一个平面,与确定的两个平面相矛盾,所以假设不成立, 故直线 与直线 是异面直线. 25.如图,在四面体ABCD中,E、H、F、G分别是边AB、AD、BC、CD的中点. (1)求证:BC与AD是异面直线; (2)求证:EG与FH相交. 【答案】(1)证明见解析 (2)证明见解析 【分析】(1)利用反正法及异面直线的定义即可证明; (2)根据中位线定理得出四边形EHGF平行四边形,进而四点共面即可证明. 【详解】(1)假设BC与AD共面于 ,则 , , , 四点共面,与 是四面体矛盾,所以假设不成立, 所以BC与AD是异面直线. (2)∵E、H、F,G分别是边AB、AD、BC、CD的中点, 且 , 且 , 且 , ∴四边形EHGF是平行四边形,即 四点共面, 又EG,FH不平行, ∴EG与FH相交.26.如图,已知点E,F,G,H分别为正方体ABCD-ABC D 的棱AB,BC,CC ,C D 的中点, 1 1 1 1 1 1 1 (1)求证: 四点共面; (2)求证:EF,HG,DC三线共点. 【答案】(1)证明见解析 (2)证明见解析 【分析】(1)连接HE,GF,只要证明 即可; (2)延长HG,DC交于点M,证明M点在直线EF上即可. (1) 连接HE,GF, 如图: 因为H,E分别是 , 的中点, ,四边形 是平行四边形, ∴ ,又G,F分别是 , 的中点, , 直线 与直线HE共面, ,∴H,G,E,F四点共面; (2)延长HG与DC的延长线交于M,连接FM,如上图, ∵G是 的中点,∴ , , 又 , , , 所以平面ABCD内, 与 是对顶角, 即 与 共线,HG,DC,EF三线交于M点. 27.如图所示,在正方体 中, 分别是 的中点.求证: (1) 三线共点; (2)直线 和直线 是异面直线. 【答案】(1)见解析 (2)见解析 【分析】(1)分别延长 , 交于点 ,由平面基本性质知 面 .再由三角形中位线定理证 明 , , 三线共点于 . (2)由反证法以及线面平行的判定以及性质即可得矛盾求解.【详解】(1)分别延长 , ,交于点 , , 面 , 面 . 是 的中点, , 是 的中点, 连接 , , 的交点为线段AB的中点,即为E, , , 三线共点于 . (2)假如直线 和直线 不是异面直线,则存在一个平面 ,使得 , 由于在正方体中 , , , 因此 , 又因为 平面 ,且平面 , 故 ,在正方形 中,显然 不平行,故矛盾, 因此假设不成立,即直线 和直线 是异面直线. 28.在空间四边形ABCD中,H,G分别是AD,CD的中点,E,F分别边AB,BC上的点,且 .求证:(1)点E,F,G,H四点共面; (2)直线EH,BD,FG相交于一点. 【答案】(1)见解析 (2)见解析 【分析】(1)利用三角形的中位线平行于第三边和平行线分线段成比例定理,得到 都平行于 , 由平行线的传递性可得 ,根据两平行确定一平面得出证明; (2)利用分别在两个平面内的点在这两个平面的交线上,即可证明. 【详解】(1)由题意,作图如下: 空间四边形 中, 分别是 的中点, . 又 , , , 四点共面. (2)证明:连接 、 ,因为 分别是 的中点,所以 , 且 ,又因为 ,所以 ,且 , 所以 ,且 ,故四边形 为梯形,且 是梯形的两腰, 所以 相交于一点.设交点为 ,因为 平面 ,所以 平面 , 同理 平面 ,而平面 平面 ,所以 ,故点 时直线 的公共点,即直线 相交于一点. 29.如图,在空间四边形ABCD中,E,F分别是AB,AD的中点,G,H分别在BC,CD上,且 . (1)求证:E,F,G,H四点共面; (2)设EG与FH交于点P,求证:P,A,C三点共线. 【答案】(1)证明见解析 (2)证明见解析 【分析】(1)根据已知条件,可得 以及 ,所以 ,进而得出四点共面; (2)因为 是平面 和平面 的交线,只需证明 点是平面 和平面 的交点,即可证得 ,进而得到三点共线. 【详解】(1)因为E,F分别为AB,AD的中点,所以 . 在 中,因为 ,所以 ,所以 , 所以 . 所以E,F,G,H四点共面. (2)因为 ,所以 . 由已知可得, , , 平面ABC, 平面ABC, 所以 平面ABC,所以 平面ABC. 同理 , 平面ADC, 平面ADC. 所以 为平面ABC与平面ADC的一个公共点. 又平面 平面 ,所以 , 所以P,A,C三点共线. 30.如图,在长方体 中, 、 分别是 和 的中点.(1)证明: 、 、 、 四点共面; (2)对角线 与平面 交于点 , 交于点 ,求证:点 共线; (3)证明: 、 、 三线共点. 【答案】(1)证明见解析; (2)证明见解析; (3)证明见解析. 【分析】(1)证明 ,即可说明 、 、 、 四点共面. (2)先证明点 面 和 面 ,即点 在面 与面 的交线上在证明面 面 ,即点 ,即可得到答案. (3)延长 交于 ,由于面 面 ,则 在交线 上. 【详解】(1)连接 在长方体 中 、 分别是 和 的中点、 、 、 四点共面 (2) 确定一个平面 面 面 对角线 与平面 交于点 面 在面 与面 的交线上 面 且 面 面 面 即点 共线. (3)延长 交于面 面 面 面 面 面 、 、 三线共点. 31.已知 是空间四边形,如图所示( , , , 分别是 、 、 、 上的点). (1)若直线 与直线 相交于点 ,证明 , , 三点共线; (2)若 , 为 , 的中点, , , ,求异面直线 与 所成的角. 【答案】(1)证明见解析 【分析】(1)根据点与线和点与面的位置关系推出 是平面 和 的公共点,结合平面 平面 ,即可证明;(2)连接 ,作 的中点 ,并连接 , ,利用中位线的性质可以得到异面直线 与 所成 的角等于直线 与 所成角,再根据余弦定理即可求解. 【详解】(1)因为 , , 平面 , 平面 , 所以 平面 , 因为 , , 平面 , 平面 , 所以 平面 , 由于直线 与直线 相交于点 , 即 , 平面 , , 平面 , 又有平面 平面 ,则 , 所以 , , 三点共线. 32.如图,已知平面 ,且 ,设在梯形 中, ,且 .求证: 共点. 【答案】证明见解析 【分析】设 交 于点 ,再根据若两个不重合的平面有一个公共点,那么它们有且只有一条过该点 的公共直线,即可得证. 【详解】如图,梯形 中,因为 , 所以 与 必交于一点, 设 交 于点 ,则 , 又因为 , 所以 , 又因为 ,所以 , 所以 共点.【C组 在创新中考查思维】 一、单选题 1.设 是正方体 的对角面 (含边界)内的点,若点 到平面 、平面 、 平面 的距离相等,则符合条件的点 A.仅有一个 B.有有限多个 C.有无限多个 D.不存在 【答案】A 【详解】解:与平面 距离相等的点位于平面 上; 与平面 距离相等的点位于平面 上; 与平面 距离相等的点位于平面 上; 据此可知,满足题意的点位于上述平面 ,平面 ,平面 的公共点处,结合题意可知, 满足题意的点仅有一个. 本题选择A选项. 点睛:本题考查点到平面的距离,利用点到直线的距离将平面问题类比到空间中点到面的距离,据此找到 满足题意的点是否存在即可. 2.在正三棱柱ABC−ABC 中,AB=AA=1,点P满足 ,其中 , , 1 1 1 1 则下列说法正确的是( ) A.当 时,存在点P使得CP BA 1 B.当 时,不存在点P使得B,P,C 三点共线 1C.当 时,不存在点P使得A,B,C,P四点共面 1 1 D.当 时,存在点P使得AB⊥AP 1 【答案】D 【分析】A选项,由 得到点 在线段 上,故直线 与 异面,A错误; 当 为线段 的中点时, 三点共线,B错误; 当 时,当 位于 与 的交点处时 四点共面,C正确; D选项,作出辅助线,证明线线垂直,得到线面垂直,找到 平面 ,因为过定点 与直线 垂 直的平面有且只有一个,故D正确. 【详解】由题知 , 对于选项 和 :当 时,点 在线段 上,因为直线 与 异面, 故直线 与 异面,故选项 错误; 当 为线段 的中点时, 三点共线,故选项B错误; 对于选项 :当 时,取线段 的中点分别为 ,连接 , 因为 ,即 ,所以 ,则点 在线段 上,当 位于 与 的交点处时 四点共面,故选项C错误; 对于选项 :当 时,取 的中点 的中点 ,连接 , 因为 , 即 ,所以 ,则,点 在线段 上, 当点 在点 处时,取 的中点 ,连接 , 因为 平面 ,又 平面 ,所以 , 在正方形 中, ,又 平面 , 故 平面 ,又 平面 ,所以 , 在正方形 中, ,又 平面 , 所以 平面 ,因为过定点 与直线 垂直的平面有且只有一个, 故有且仅有一个点 ,使得 平面 ,故选项D正确. 故选:D.【点睛】立体几何中寻找点,使得满足平行或垂直关系,要能从题干条件和立体图形特点出发,找到合适 的点,再进行相应的证明,需要较强的空间想象能力. 3.如图,已知菱形 中, , , 为边 的中点,将 沿 翻折成 (点 位于平面 上方),连接 和 , 为 的中点,则在翻折过程中,下列说法正确的是 ( ) ①平面 平面 ② 与 的夹角为定值 ③三棱锥 体积最大值为 ④点 的轨迹的长度为 A.①② B.①②③ C.①②④ D.②③④ 【答案】C 【分析】①由题设结合线面垂直的判定证 面 ,再由面面垂直的判定即可判断正误;②若 是 的中点,应用平行四边形的性质有 ,可知 与 的夹角为 或其补角,进而求其大 小;③根据①②的分析,当 面 时 最大,求其最大值;④确定F的轨迹与 到 的轨迹 相同,且 到 的轨迹为以 中点为圆心, 为半径的半圆,即可求轨迹长度. 【详解】对于①:由 , , 为边 的中点知 且 , 易知 , ,而 , 面 , 故 面 ,又 面 ,所以面 面 ,故①正确;对于②:若 是 的中点,又 为 的中点,则 且 , 而 且 ,所以 且 ,即 为平行四边形, 故 ,所以 与 的夹角为 或其补角, 若 为 中点,即 ,由①分析易知 , 故 与 的夹角为 ,故②正确; 对于③:由上分析知:翻折过程中当 面 时, 最大, 此时 ,故③错误; 对于④:由②分析知: 且 ,故 的轨迹与 到 的轨迹相同, 由①知: 到 的轨迹为以 为圆心, 为半径的半圆,而 为 中点, 故 到 的轨迹为以 中点为圆心, 为半径的半圆,所以 的轨迹长度为 ,故④正 确. 故选:C. 【点睛】关键点睛:应用线面、面面垂直的判定判断面面垂直;根据线线角的定义,结合平行四边形的性 质找到线线角的平面角并求大小;判断动点的轨迹,由圆的性质及棱锥的体积公式求 的最大体积 以及F的轨迹的长度. 4.已知四面体 的所有棱长都相等,其外接球的体积等于 ,则下列结论正确的个数为( ) ①四面体 的棱长均为2 ②四面体 的体积等于③异面直线 与 所成角为 A.0 B.1 C.2 D.3 【答案】C 【分析】由题意可知,四面体为正四面体,作图,根据勾股定理,写出棱长与外接圆半径之间的等量关系, 解得棱长,根据体积公式,可得体积,建系,利用空间向量的夹角公式,求得夹角余弦值,可得答案. 【详解】根据题意,作图如下: 则点 为正四面体 的外接球的球心,则 , 则外接球的体积 ,解得 , 对于①,设四面体 的棱长为 , 在等边 中, , , 在 中, ,则 , 在 中, ,则 , 即 ,解得: ,即 , 解得 ,故正确; 对于②,四面体 的体积 ,故正确; 对于③,以点 为原点,分别以 所在直线为 轴,以平行于 过 的直线为 轴,如图建立空间直角坐标系: 则 , , , , 可得 , 设异面直线 与 所成角为 ,则 ,即 ,故错误;故选:C. 5.如图,点M,N分别为正方体ABCD﹣ABC D 的棱AA,BB 的中点,以正方体的六个面的中心为顶点 1 1 1 1 1 1 构成一个八面体,若平面DMNC 将该八面体分割成上、下两部分的体积分别为V、V,则 ( ) 1 1 1 2 A. B. C. D. 【答案】A【分析】如图,先作出平面 截八面体的截面为 ,建立空间直角坐标系,用点 到平面 的距离 为向量 在法向量 上的投影的长,再计算两部分的体积,得到体积之比,得到答案. 【详解】正方体的六个面的中心为顶点构成的八面体中中间和上方的顶点分别为 如图,分别过 作侧棱的平行线, 分别 交于点 ,分别 交于点 ,得到矩形 . 由题意有 为 的中点, 为 的中点. 在矩形 中, 分别交 于点 ,则 分别为 的中点, 平面 ,所以, 平面 . 将平面 延展与 交于 点. 所以平面 截八面体的截面为 . 显然 与 相交于 的中点,设为 .则 三点共线. 在 中,过 作 ,如图,可得 为 的一个三等分点.设正方体的棱长为2,则 . 以 为原点, 为 轴, 为 轴, 为 轴,建立空间直角坐标系 P(-1,0,0),R(1,0,0),Q(0,-1,0), 设平面 的法向量为 . 则 ,即 ,取 则 则点 到平面 的距离 为向量 在法向量 上的投影的长. 所以 又 所以八面体在平面平面 下方的部分的体积为所以 故选:A 【点睛】本题考查两个多面体的体积的比值的求法,考查空间中线线、线面、面面间的位置关系等基础知 识,考查运算求解能力,属于难题. 二、多选题 6.如图,正方体 的棱长为1,正方形 的中心为 ,棱 , 的中点分别为 , ,则( ) A. B. C.异面直线 与 所成角的余弦值为 D.点 到直线 的距离为【答案】ABD 【分析】建立空间直角坐标系,结合空间向量逐项判断; 【详解】故以 为原点,建立如图所示的空间直角坐标系 . , , , , ,选项A正确; , 所以 根据三角函数两角正余弦关系解得: ,选项B正确; , 选项C错误; 点 到直线 的距离为: ,而 所以 选项D正确; 故选:ABD. 【点睛】关键点睛:构建空间直角坐标系,运用空间向量解题是本题的思维出发点和突破点; 7.已知 是正方体 的中心,过点 的直线 与该正方体的表面交于 、 两点,下列叙 述正确的有( ) A.点 、 到正方体 个表面的距离分别为 、 ,则 为定值 B.线段 在正方体 个表面的投影长度为 ,则 为定值 C.正方体 个顶点到直线 的距离分别为 ,则 为定值 D.直线 与正方体 条棱所成的夹角的 ,则 为定值 【答案】AD 【分析】利用特例法可判断BC选项;求出 、 到正方体 个表面的距离之和,可判断A选项;利用长 方体的几何性质可判断D选项. 【详解】对于A选项,设正方体 的棱长为 ,如下图所示:由正方体的对称性可知,点 、 关于点 对称,点 到平面 的距离为 , 点 到平面 的距离为 ,点 到平面 、 的距离之和为 , 点 到平面 、 的距离之和为 ,所以, ,同理, , 故 为定值,A对; 对于B选项,当 为正方体 的一条体对角线, 不妨设 与线段 重合, 在正方体 各面上的投影长为 , 此时 , 当 平面 时, 在面 、 的投影长为 , 在面 、 、 、 的投影长为 ,此时 , 故 不是定值,B错; 对于C选项,当 平面 时,正方体的八个顶点到直线 的距离均为 , 此时, , 当 与体对角线 重合时,点 、 到直线 的距离为 , 平面 , 平面 , ,且 , ,此时,点 到直线 的距离为 , 同理可知,点 、 、 、 、 到直线 的距离均为 ,此时 , 所以, 不为定值,C错; 对于D选项,当 与正方体的棱平行时,不妨设 平面 垂直, 此时 与棱 、 、 、 、 、 、 、 都垂直, 与棱 、 、 、 都平行,此时 , 当 不与正方体的棱平行时,过点 、 分别作正方体的棱的平行线, 构成长方体 , 设 与棱 、 、 所成的角分别为 、 、 , 由图可知, ,同理可得 , , 由长方体的几何性质可得 , 所以, ,此时 , 所以, 为定值,D对. 故选:AD. 【点睛】关键点点睛:本题考查正方体的综合问题,解题的关键在于对 的位置进行分类讨论,结合长方体的几何性质求解. 8.在棱长为1的正方体 中, 为底面 的中心, 是棱 上一点,且 , , 为线段 的中点,给出下列命题,其中正确的是( ) A. 与 共面; B.三棱锥 的体积跟 的取值无关; C.当 时, ; D.当 时,过 , , 三点的平面截正方体所得截面的周长为 . 【答案】ABD 【分析】对于选项A:可得 ,可判断; 对于选项B:点 到平面 的距离为定值 ,且 的面积为定值可判断; 对于选项C:分别求出 的长,验证是否满足勾股定理,从而判断; 对于选项D:先将过 , , 的截面分析做出,再求周长可判断. 【详解】对选项A:在 中,因为 , 为 , 的中点,所以 ,所以 与 共面,所以A正确; 对选项B:由 , 因为 到平面 的距离为定值 ,且 的面积为定值 , 所以三棱锥 的体积跟 的取值无关,所以B正确; 对选项C:当 时, ,可得 , , 取 的中点分别为 ,连接 ,则 在直角三角形 中, 则 ,所以 不成立,所以C不正确. 对选项D:当 时,取 ,连接 ,则 ,又 所以所以 共面,即过 , , 三点的正方体的截面为 , 由 ,则 是等腰梯形,且 所以平面截正方体所得截面的周长为 ,所以D正确; 故选:ABD. 三、填空题 9.空间给定不共面的A,B,C,D四个点,其中任意两点间的距离都不相同,考虑具有如下性质的平面 :A,B,C,D中有三个点到的距离相同,另一个点到 的距离是前三个点到 的距离的2倍,这样的 平面 的个数是___________个 【答案】32 【分析】按照四个点的位置不同分类讨论,即可求解 【详解】首先取3个点相等,不相等的那个点由4种取法; 然后分3分个点到平面 的距离相等,有以下两种可能性: (1)全同侧,这样的平面有2个; (2)不同侧,必然2个点在一侧,另一个点在一侧, 1个点的取法有3种,并且平面过三角形两个点边上的中位线, 考虑不相等的点与单侧点是否同侧有两种可能,每种情况下都唯一确定一个平面, 故共有6个, 所有这两种情况共有8个,综上满足条件的这样的平面共有 个, 故答案为:32 10.正方体 中,M是 的中点,则 与 所成角的余弦值为 .【答案】 【分析】在正方体 右侧作出一个全等的正方体 ,从而得到 与 所成 角,再利用余弦定理即可得解. 【详解】在正方体 右侧作出一个全等的正方体 ,连接 ,如图, 易知 ,所以四边形 是平行四边形,则 , 所以 是 与 所成角的平面角或补角, 不妨设正方体 的棱长为 , 则在正方体 中, , 在 中, , 在 中, , 所以在 中, ,所以 与 所成角的余弦值为 . 故答案为: . 【点睛】关键点睛:本题解决的关键是找到 与 所成角的平面角,解决方法是在正方体 右侧作出一个全等的正方体 ,由此得解. 11.已知异面直线 所成角为 ,直线 与 均垂直,且垂足分别是点 .若动点 ,则线段 中点 的轨迹围成的区域的面积是 ; 【答案】 【分析】构造线段 的中垂面 ,求得 点的轨迹,从而求得 的轨迹围成的区域的面积. 【详解】设线段 的中垂面为 ,则 的轨迹在平面 内, 在平面 内分别作直线 的投影 ,则两直线的夹角为 , 设 在平面 的投影为 , 设 在平面 内的投影为 , 则 为 的中点, 所以 , 因为 ,所以 , 在直线 上分别取点 四点, 使得 , 因为 , 所以 , 过 作 交 于 ,则 , 所以 的中点 在 上, 同理可得 在 上, 所以 的轨迹是矩形 , 因为 , , 所以 . 故答案为: 【点睛】求解空间异面直线所成角有关的问题,关键点在于如何利用两异面直线所成的角,根据异面直线 所成的角的概念,可在空间一点 作两条异面直线的平行直线,从而可得异面直线所成角. 12.在正三棱锥 中, , 为 的中点, 为 上靠近 的三等分点, 在 平面 上,且满足 , 在 的边界上运动,则直线 与 所成角的余弦值的取值 范围是 . 【答案】 【分析】分析可知 的轨迹以点 为圆心,半径长为 的圆,分析出 取最大值和最小值时,点 、 的位置,利用余弦定理可求得直线 与 所成角的余弦值的最小值和最大值,即可得解. 【详解】设点 在平面 内的射影为点 ,则 为正 的中心, 为 的中点,则 , 以点 为坐标原点, 、 、 的方向分别为 、 、 轴的正方向建立如下图所示的空间直角坐标系,,则 , 平面 , 平面 , , , 则 、 、 、 、 、 , 设点 , , , 所以, ,可得 , 易知 的内切圆半径为 ,故点 在 内运动, 所以点 在以点 为圆心,半径长为 的圆上运动,作出 的平面图如下图所示: 由于点 是固定的,当 取最大值,此时 取最大值, 且此时点 为 的某个顶点,不妨设点 与点 重合,则 为线段 的中点, 此时, , ,所以, ; 当 取最小值时,则 取最小值, 此时点 为 某边的中点,不妨设点 与点 重合, 则点 为 的中点,则 , , 所以, . 因此,直线 与 所成角的余弦值的取值范围是 . 故答案为: . 【点睛】关键点点睛:本题考查异面直线所成角余弦值的取值范围,解本题的关键就是要确定点 的轨迹, 确定 取最大值和最小值时的位置,再结合余弦定理求解. 13.正三棱台 , ,D、E、F为棱 、 、 中点,平面ABD、平面BCE、平面ACF 交于点O,则 .(注:V代表几何体体积)【答案】 【分析】设 , ,易得 ,再根据立体几何中的比例关系,结合向量 的方法求得 到平面 的距离与正三棱台 高的比值,进而由体积公式确定比例即可 【详解】设 , ,易得 ,连接 ,由等腰梯形的中位线性质可得, ,又 ,故 ,同理 . 取 中点 ,连接 ,易得 为等腰三角形,且 共线.故 ,根据三点共线满 足的性质有 ,又 ,设 ,则 ,解得 .设正三棱 台 的高为 ,则 到平面 的距离为 ,则 到平面 的距离为 .设 ,则 , ,故故答案为: 四、解答题 14.如图,在正方体 中, 是 的中点,画出过点 , 的平面与平面 的交 线,并说明理由. 【答案】见解析 【解析】取 的中点 ,连接 ,所以过点 的平面与平面 的交线为 . 【详解】如图,取 的中点 ,连接 .又因为 是 的中点,所以 .在正方体 中, ,所以四边形 是平行四边形. 所以 ,所以 ,所以 四点共面. 因为 平面 , 平面 , 平面 , 平面 , 所以平面 平面 . 所以过点 的平面与平面 的交线为 . 【点睛】本题考查了平面与平面交线的画法,考查了学生空间想象,逻辑推理能力,属于中档题. 15.在四面体ABCD中,H、G分别是AD、CD的中点,E、F分别是AB、BC边上的点,且 . (1)求证:E、F、G、H四点共面; (2)若平面EFGH截四面体ABCD所得的五面体 的体积占四面体ABCD的 ,求k的值. 【答案】(1)见解析 (2) 【分析】(1)利用平行的传递性证明 即可; (2)延长 ,则必交于点 ,利用相似比求解即可 【详解】(1)连接 , 因为H、G分别是AD、CD的中点, 所以 , 又 ,所以 , 所以 , 所以E、F、G、H四点共面; (2)延长 ,则必交于点 , 证明如下:设 , 因为 平面 , 所以 平面 , 同理 平面 , 又平面 平面 , 所以 , 所以 ,则必交于点 , 取 的中点 ,连接 , 因为 , 所以 , 又 , 所以 , 所以 , 又 , 所以 , 所以 , 所以 ,即 , 所以 , ,所以 , , 所以 ,即 , 所以 ,即 , 所以 , 解得 或 , 又因为 , 所以 【点睛】四点共面问题是立体几何中常考的问题之一,解决的方法是结合图象证明这四点成的两条线平行, 通过两直线平行,从而说明四点共面