当前位置:首页>文档>专题11水的电离和溶液的酸碱性(学生版)2021年高考化学真题和模拟题分类汇编(38题)_05高考化学_新高考复习资料_2023年新高考资料_一轮复习_2023年新高考大一轮复习讲义

专题11水的电离和溶液的酸碱性(学生版)2021年高考化学真题和模拟题分类汇编(38题)_05高考化学_新高考复习资料_2023年新高考资料_一轮复习_2023年新高考大一轮复习讲义

  • 2026-04-02 21:26:04 2026-03-27 12:04:10

文档预览

专题11水的电离和溶液的酸碱性(学生版)2021年高考化学真题和模拟题分类汇编(38题)_05高考化学_新高考复习资料_2023年新高考资料_一轮复习_2023年新高考大一轮复习讲义
专题11水的电离和溶液的酸碱性(学生版)2021年高考化学真题和模拟题分类汇编(38题)_05高考化学_新高考复习资料_2023年新高考资料_一轮复习_2023年新高考大一轮复习讲义
专题11水的电离和溶液的酸碱性(学生版)2021年高考化学真题和模拟题分类汇编(38题)_05高考化学_新高考复习资料_2023年新高考资料_一轮复习_2023年新高考大一轮复习讲义
专题11水的电离和溶液的酸碱性(学生版)2021年高考化学真题和模拟题分类汇编(38题)_05高考化学_新高考复习资料_2023年新高考资料_一轮复习_2023年新高考大一轮复习讲义
专题11水的电离和溶液的酸碱性(学生版)2021年高考化学真题和模拟题分类汇编(38题)_05高考化学_新高考复习资料_2023年新高考资料_一轮复习_2023年新高考大一轮复习讲义
专题11水的电离和溶液的酸碱性(学生版)2021年高考化学真题和模拟题分类汇编(38题)_05高考化学_新高考复习资料_2023年新高考资料_一轮复习_2023年新高考大一轮复习讲义
专题11水的电离和溶液的酸碱性(学生版)2021年高考化学真题和模拟题分类汇编(38题)_05高考化学_新高考复习资料_2023年新高考资料_一轮复习_2023年新高考大一轮复习讲义
专题11水的电离和溶液的酸碱性(学生版)2021年高考化学真题和模拟题分类汇编(38题)_05高考化学_新高考复习资料_2023年新高考资料_一轮复习_2023年新高考大一轮复习讲义
专题11水的电离和溶液的酸碱性(学生版)2021年高考化学真题和模拟题分类汇编(38题)_05高考化学_新高考复习资料_2023年新高考资料_一轮复习_2023年新高考大一轮复习讲义
专题11水的电离和溶液的酸碱性(学生版)2021年高考化学真题和模拟题分类汇编(38题)_05高考化学_新高考复习资料_2023年新高考资料_一轮复习_2023年新高考大一轮复习讲义
专题11水的电离和溶液的酸碱性(学生版)2021年高考化学真题和模拟题分类汇编(38题)_05高考化学_新高考复习资料_2023年新高考资料_一轮复习_2023年新高考大一轮复习讲义
专题11水的电离和溶液的酸碱性(学生版)2021年高考化学真题和模拟题分类汇编(38题)_05高考化学_新高考复习资料_2023年新高考资料_一轮复习_2023年新高考大一轮复习讲义
专题11水的电离和溶液的酸碱性(学生版)2021年高考化学真题和模拟题分类汇编(38题)_05高考化学_新高考复习资料_2023年新高考资料_一轮复习_2023年新高考大一轮复习讲义
专题11水的电离和溶液的酸碱性(学生版)2021年高考化学真题和模拟题分类汇编(38题)_05高考化学_新高考复习资料_2023年新高考资料_一轮复习_2023年新高考大一轮复习讲义
专题11水的电离和溶液的酸碱性(学生版)2021年高考化学真题和模拟题分类汇编(38题)_05高考化学_新高考复习资料_2023年新高考资料_一轮复习_2023年新高考大一轮复习讲义
专题11水的电离和溶液的酸碱性(学生版)2021年高考化学真题和模拟题分类汇编(38题)_05高考化学_新高考复习资料_2023年新高考资料_一轮复习_2023年新高考大一轮复习讲义
专题11水的电离和溶液的酸碱性(学生版)2021年高考化学真题和模拟题分类汇编(38题)_05高考化学_新高考复习资料_2023年新高考资料_一轮复习_2023年新高考大一轮复习讲义
专题11水的电离和溶液的酸碱性(学生版)2021年高考化学真题和模拟题分类汇编(38题)_05高考化学_新高考复习资料_2023年新高考资料_一轮复习_2023年新高考大一轮复习讲义
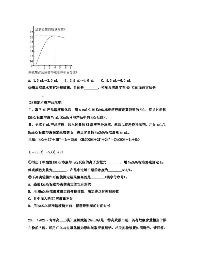
专题11水的电离和溶液的酸碱性(学生版)2021年高考化学真题和模拟题分类汇编(38题)_05高考化学_新高考复习资料_2023年新高考资料_一轮复习_2023年新高考大一轮复习讲义
专题11水的电离和溶液的酸碱性(学生版)2021年高考化学真题和模拟题分类汇编(38题)_05高考化学_新高考复习资料_2023年新高考资料_一轮复习_2023年新高考大一轮复习讲义
专题11水的电离和溶液的酸碱性(学生版)2021年高考化学真题和模拟题分类汇编(38题)_05高考化学_新高考复习资料_2023年新高考资料_一轮复习_2023年新高考大一轮复习讲义
专题11水的电离和溶液的酸碱性(学生版)2021年高考化学真题和模拟题分类汇编(38题)_05高考化学_新高考复习资料_2023年新高考资料_一轮复习_2023年新高考大一轮复习讲义
专题11水的电离和溶液的酸碱性(学生版)2021年高考化学真题和模拟题分类汇编(38题)_05高考化学_新高考复习资料_2023年新高考资料_一轮复习_2023年新高考大一轮复习讲义
专题11水的电离和溶液的酸碱性(学生版)2021年高考化学真题和模拟题分类汇编(38题)_05高考化学_新高考复习资料_2023年新高考资料_一轮复习_2023年新高考大一轮复习讲义
专题11水的电离和溶液的酸碱性(学生版)2021年高考化学真题和模拟题分类汇编(38题)_05高考化学_新高考复习资料_2023年新高考资料_一轮复习_2023年新高考大一轮复习讲义
专题11水的电离和溶液的酸碱性(学生版)2021年高考化学真题和模拟题分类汇编(38题)_05高考化学_新高考复习资料_2023年新高考资料_一轮复习_2023年新高考大一轮复习讲义
专题11水的电离和溶液的酸碱性(学生版)2021年高考化学真题和模拟题分类汇编(38题)_05高考化学_新高考复习资料_2023年新高考资料_一轮复习_2023年新高考大一轮复习讲义
专题11水的电离和溶液的酸碱性(学生版)2021年高考化学真题和模拟题分类汇编(38题)_05高考化学_新高考复习资料_2023年新高考资料_一轮复习_2023年新高考大一轮复习讲义
专题11水的电离和溶液的酸碱性(学生版)2021年高考化学真题和模拟题分类汇编(38题)_05高考化学_新高考复习资料_2023年新高考资料_一轮复习_2023年新高考大一轮复习讲义
专题11水的电离和溶液的酸碱性(学生版)2021年高考化学真题和模拟题分类汇编(38题)_05高考化学_新高考复习资料_2023年新高考资料_一轮复习_2023年新高考大一轮复习讲义
专题11水的电离和溶液的酸碱性(学生版)2021年高考化学真题和模拟题分类汇编(38题)_05高考化学_新高考复习资料_2023年新高考资料_一轮复习_2023年新高考大一轮复习讲义
专题11水的电离和溶液的酸碱性(学生版)2021年高考化学真题和模拟题分类汇编(38题)_05高考化学_新高考复习资料_2023年新高考资料_一轮复习_2023年新高考大一轮复习讲义
专题11水的电离和溶液的酸碱性(学生版)2021年高考化学真题和模拟题分类汇编(38题)_05高考化学_新高考复习资料_2023年新高考资料_一轮复习_2023年新高考大一轮复习讲义

文档信息

文档格式
docx
文档大小
1.861 MB
文档页数
29 页
上传时间
2026-03-27 12:04:10

文档内容

专题 11 水的电离和溶液的酸碱性 2021年化学高考题 一、多选题 1.(2021·山东高考真题)为完成下列各组实验,所选玻璃仪器和试剂均准确、完整的是 (不考虑存放试剂的容器) 实验目的 玻璃仪器 试剂 配制100mL一定物质的 100mL容量瓶、胶头滴管、烧 A 蒸馏水、NaCl固体 量浓度的NaCl溶液 杯、量筒、玻璃棒 B 制备Fe(OH) 胶体 烧杯、酒精灯、胶头滴管 蒸馏水、饱和FeCl 溶液 3 3 烧杯、锥形瓶、胶头滴管、酸 待测NaOH溶液、已知浓度的盐 C 测定NaOH溶液浓度 式滴定管 酸、甲基橙试剂 冰醋酸、无水乙醇、饱和 D 制备乙酸乙酯 试管、量筒、导管、酒精灯 NaCO 溶液 2 3 A.A B.B C.C D.D 二、单选题 pH pH 2.(2021·浙江)某同学拟用 计测定溶液 以探究某酸HR是否为弱电解质。下列说法 正确的是 0.01molL-1NaR pH=7 A.25℃时,若测得 溶液 ,则HR是弱酸 0.01molL-1HR pH>2 pH<7 B.25℃时,若测得 溶液 且 ,则HR是弱酸 pH=a 10.0mL 100.0mL C.25℃时,若测得HR溶液 ,取该溶液 ,加蒸馏水稀释至 ,测得 pH=b,b-a<1 ,则HR是弱酸pH=a 10.0mL pH=b a>b D.25℃时,若测得NaR溶液 ,取该溶液 ,升温至50℃,测得 , , 则HR是弱酸 H SO 3.(2021·广东高考真题)测定浓硫酸试剂中 2 4含量的主要操作包括: ①量取一定量的浓硫酸,稀释; ②转移定容得待测液; 20.00mL 0.1000mol/L NaOH ③移取 待测液,用 的 溶液滴定。 上述操作中,不需要用到的仪器为 A. B. C. D. 4.(2021·河北高考真题)下列操作规范且能达到实验目的的是 A.图甲测定醋酸浓度 B.图乙测定中和热 C.图丙稀释浓硫酸 D.图丁萃取分离碘水中的碘 5.(2021·湖南高考真题)下列实验设计不能达到实验目的的是实验目的 实验设计 A 检验溶液中FeSO 是否被氧化 取少量待测液,滴加KSCN 溶液,观察溶液颜色变化 4 B 净化实验室制备的Cl 气体依次通过盛有饱和NaCl溶液、浓H SO 的洗气瓶 2 2 4 C 测定NaOH溶液的pH 将待测液滴在湿润的pH试纸上,与标准比色卡对照 D 工业酒精制备无水乙醇 工业酒精中加生石灰,蒸馏 A.A B.B C.C D.D 6.(2021·浙江高考真题)25℃时,下列说法正确的是 A.NaHA溶液呈酸性,可以推测HA为强酸 2 B.可溶性正盐BA溶液呈中性,可以推测BA为强酸强碱盐 C.0.010 mol·L-1、0.10mol·L-1的醋酸溶液的电离度分别为α、α,则α<α 1 2 1 2 D.100 mL pH=10.00的NaCO 溶液中水电离出H+的物质的量为1.0×10-5mol 2 3 三、实验题 7.(2021·山东高考真题)六氯化钨(WCl)可用作有机合成催化剂,熔点为283℃,沸点为 6 340℃,易溶于CS,极易水解。实验室中,先将三氧化钨(WO)还原为金属钨(W)再制备 2 3 WCl,装置如图所示(夹持装置略)。回答下列问题: 6 (1)检查装置气密性并加入WO。先通N,其目的是___;一段时间后,加热管式炉,改通H, 3 2 2对B处逸出的H 进行后续处理。仪器A的名称为___,证明WO 已被完全还原的现象是___。 2 3 (2)WO 完全还原后,进行的操作为:①冷却,停止通H;②以干燥的接收装置替换E;③在B 3 2 处加装盛有碱石灰的干燥管;④……;⑤加热,通Cl;⑥……。碱石灰的作用是___;操作 2 ④是___,目的是___。 (3)利用碘量法测定WCl 产品纯度,实验如下: 6 ①称量:将足量CS(易挥发)加入干燥的称量瓶中,盖紧称重为mg;开盖并计时1分钟,盖 2 1 紧称重为mg;再开盖加入待测样品并计时1分钟,盖紧称重为mg,则样品质量为___g(不考 2 3 虑空气中水蒸气的干扰)。  2 ②滴定:先将WCl 转化为可溶的NaWO,通过IO3 离子交换柱发生反应:WO4 6 2 4   +Ba(IO)=BaWO+2IO3 ;交换结束后,向所得含IO3 的溶液中加入适量酸化的KI溶液,发生 3 2 4  2 反应:IO3 +5I-+6H+=3I+3HO;反应完全后,用NaSO 标准溶液滴定,发生反应:I+2SO3 2 2 2 2 3 2 2 2 =2I-+SO6 。滴定达终点时消耗cmol•L-1的NaSO 溶液VmL,则样品中WCl(摩尔质量为 4 2 2 3 6 Mg•mol-1)的质量分数为___。称量时,若加入待测样品后,开盖时间超过1分钟,则滴定时消 耗NaSO 溶液的体积将___(填“偏大”“偏小”或“不变”),样品中WCl 质量分数的测定 2 2 3 6 值将___(填“偏大”“偏小”或“不变”)。 Cl O 8.(2021·浙江) 2 是很好的氯化剂,实验室用如图装置(夹持仪器已省略)制备高纯 Cl O 2 。已知: HgO2Cl =HgCl Cl O 18~ 25℃ ① 2 2 2 ,合适反应温度为 ;副反应: 2HgO+2Cl 2HgCl +O 2 2 2。 Cl O ②常压下, Cl 2沸点34.0℃,熔点101.0℃; 2 沸点2.0℃,熔点120.6℃。 Cl O+H O 2HClO Cl O CCl ③ 2 2 , 2 在 4中的溶解度远大于其在水中的溶解度。请回答: (1)①装置A的作用是去除原料气中的少量水分,可用的试剂是_______。 ②将上图中装置组装完整,虚框D中应选用_______。 (2)有关反应柱B,须进行的操作是_______。 A.将HgO粉末热处理除水分、增加表面积后填入反应柱 Cl N B.调控进入反应柱的混合气中 2和 2的比例 C.调控混合气从下口进入反应柱的流速 D.将加热带缠绕于反应柱并加热 -80~-60℃ (3)装置C,冷却液的温度通常控制在 。反应停止后,温度保持不变,为减少产品 Cl 中的 2含量,可采用的方法是_______。 Cl O Cl O (4)将纯化后的 2 产品气化,通入水中得到高纯度 2 的浓溶液,于阴凉暗处贮存。当 Cl O Cl O CCl 需要 2 时,可将 2 浓溶液用 4萃取分液,经气化重新得到。 针对萃取分液,从下列选项选择合适操作(操作不能重复使用)并排序:c→_______→_______→e→d→f→_______。 a.检查旋塞、玻璃塞处是否漏水 CCl b.将溶液和 4转入分液漏斗 c.涂凡士林 d.旋开旋塞放气 e.倒转分液漏斗,小心振摇 f.经几次振摇并放气后,将分液漏斗置于铁架台上静置 g.打开旋塞,向锥形瓶放出下层液体 h.打开旋塞,待下层液体完全流出后,关闭旋塞,将上层液体倒入锥形瓶 Cl O CCl (5)产品分析:取一定量 2 浓溶液的稀释液,加入适量 4、过量KI溶液及一定量的稀 H SO Na S O 2 4,充分反应。用标准 2 2 3溶液滴定(滴定Ⅰ);再以酚酞为指示剂,用标准 NaOH I Cl 溶液滴定(滴定Ⅱ)。已知产生 2的反应(不考虑 2与水反应): 2I-+Cl =I +2Cl- 2 2 4I-+Cl O+2H+=2I +H O+2Cl- 2 2 2 2I-+HClO+H+=I +H O+Cl- 2 2 实验数据如下表: 加入量nH SO /mol 2.505103 2 4 滴定Ⅰ测出量nI /mol 2.005103 2 滴定Ⅱ测出量nH SO /mol 1.505103 2 4 Na S O ①用标准 2 2 3溶液滴定时,无需另加指示剂。判断滴定Ⅰ到达终点的实验现象是 _______。 ②高纯度 Cl 2 O 浓溶液中要求 nCl 2 O/nCl 2 99 ( Cl 2 O 和HClO均以 Cl 2 O 计)。结合数Cl O 据分析所制备的 2 浓溶液是否符合要求_______。 9.(2021·河北高考真题)化工专家侯德榜发明的侯氏制碱法为我国纯碱工业和国民经济 发展做出了重要贡献,某化学兴趣小组在实验室中模拟并改进侯氏制碱法制备NaHCO,进一 3 步处理得到产品NaCO 和NHCl,实验流程如图: 2 3 4 回答下列问题: (1)从A~E中选择合适的仪器制备NaHCO,正确的连接顺序是___(按气流方向,用小写字母 3 表示)。为使A中分液漏斗内的稀盐酸顺利滴下,可将分液漏斗上部的玻璃塞打开或___。 A. B. C. D. E.(2)B中使用雾化装置的优点是__。 (3)生成NaHCO 的总反应的化学方程式为___。 3 (4)反应完成后,将B中U形管内的混合物处理得到固体NaHCO 和滤液: 3 ①对固体NaHCO 充分加热,产生的气体先通过足量浓硫酸,再通过足量NaO,NaO 增重 3 2 2 2 2 0.14g,则固体NaHCO 的质量为___g。 3 ②向滤液中加入NaCl粉末,存在NaCl(s)+NHCl(aq)→NaCl(aq)+NHCl(s)过程。为使NHCl 4 4 4 沉淀充分析出并分离,根据NaCl和NHCl溶解度曲线,需采用的操作为___、___、洗涤、干 4 燥。 (5)无水NaHCO 可作为基准物质标定盐酸浓度.称量前,若无水NaHCO 保存不当,吸收了一定 3 3 量水分,用其标定盐酸浓度时,会使结果___(填标号)。 A.偏高 B.偏低 不变 四、工业流程题 10.(2021·湖南高考真题)碳酸钠俗称纯碱,是一种重要的化工原料。以碳酸氢铵和氯化 钠为原料制备碳酸钠,并测定产品中少量碳酸氢钠的含量,过程如下: Na CO 步骤I. 2 3的制备NaHCO 步骤Ⅱ.产品中 3含量测定 ①称取产品2.500g,用蒸馏水溶解,定容于250mL容量瓶中; 0.1000molL1 ②移取25.00mL上述溶液于锥形瓶,加入2滴指示剂M,用 盐酸标准溶液滴 VmL 定,溶液由红色变至近无色(第一滴定终点),消耗盐酸 1 ; 0.1000molL1 ③在上述锥形瓶中再加入2滴指示剂N,继续用 盐酸标准溶液滴定至终点(第 V mL 二滴定终点),又消耗盐酸 2 ; V V ④平行测定三次, 1平均值为22.45, 2平均值为23.51。 NH HCO 已知:(i)当温度超过35℃时, 4 3开始分解。 g/100gH O (ii)相关盐在不同温度下的溶解度表 2 温度/C 0 10 20 30 40 50 60 NaCl 35.7 35.8 36.0 36.3 36.6 37.0 37.3 NH HCO 11.9 15.8 21.0 27.0 4 3 NaHCO 6.9 8.2 9.6 11.1 12.7 14.5 16.4 3 NH Cl 29.4 33.3 37.2 41.4 45.8 50.4 55.2 4 回答下列问题: (1)步骤I中晶体A的化学式为_______,晶体A能够析出的原因是_______; (2)步骤I中“300℃加热”所选用的仪器是_______(填标号); A. B. C. D. (3)指示剂N为_______,描述第二滴定终点前后颜色变化_______; NaHCO (4)产品中 3的质量分数为_______(保留三位有效数字);NaHCO (5)第一滴定终点时,某同学俯视读数,其他操作均正确,则 3质量分数的计算结果 _______(填“偏大”“偏小”或“无影响”)。 2021年化学高考模拟题 一、单选题 1.(2021·福建省南安第一中学高三二模)常温下,下列说法正确的是 HCO- SO2- SO2- A.某溶液中含有 3、 3 、 4 和Na+,若向其中加入NaO,充分反应后,四种离子 2 2 SO2- 的浓度不变的是 4 (忽略反应前后溶液体积的变化) NH+ SO2- B.水电离的c (H+)=10-12mol·L—1的溶液中,下列离子能大量共存: 4、Na+、 4 、 水 HCO- 3 C.氢氧化铁溶于HI溶液中的离子方程式为:2Fe(OH)+6H++2I—=2Fe2++I+6HO 3 2 2 SO2- D.NaHS溶液中,下列离子能大量共存:K+、Al3+、Cl—、 4 2.(2021·安徽高三一模)25℃,向20mL0.1mol•L-1的弱碱BOH溶液(K=1.0×10-5)中逐滴 b 加入0.1mol•L-1盐酸,pH~V曲线如图所示,下列说法正确的是A.a点到b点,水的电离程度先减小后增大 B.a点时,c(Cl-)+c(OH-)=c(H+)+c(BOH) C.b点时,c(Cl-)=c(BOH)+c(B+)+c(H+) D.V=20mL时,c(Cl-)>c(B+)>c(OH-)>c(H+) 3.(2021·安徽高三一模)下列实验能达到目的的是 A.装置甲证明醋酸为弱酸 B.装置乙处理Cl 尾气 2 C.装置丙除去乙醇中少量的水 D.装置丁准确量取一定体积的酸性KMnO 标准 4 溶液 4.(2021·浙江高三其他模拟)25℃时,下列说法正确的是 A.HA溶液与NaOH溶液按物质的量1:1恰好完全反应时,溶液酸碱性无法判断 2 B.可溶性正盐BA溶液呈中性,可以推测BA对水的电离没有影响 C.醋酸的电离度:pH=3的醋酸溶液大于pH=4的醋酸溶液 D.pH=2的HCl和pH=12的Ba(OH) 溶液等体积混合后,溶液显碱性 2 5.(2021·阜新市第二高级中学高三其他模拟)利用下列装置能达到相应实验目的的是A.用图Ⅰ装置测定氯水的pH B.用图Ⅱ装置保存液溴 C.用图Ⅲ装置制备Fe(OH) 并能较长时间不变色 2 D.用图Ⅳ装置进行中和滴定 6.(2021·天津)常温下,下列溶液中各组离子一定能够大量共存的是 2- - A.c(H+)/c(OH-)=1.0 ×10-12的溶液: K+、 Na+、CO3 、AlO2 2- B.水电离出来的c(OH-)=1.0 ×10-13mol/L的溶液: K+、 Cl-、S2- 、SO3 + 2- 2- C.使甲基橙变红色的溶液中:Na+、NH4、 SO3 、SO3 2 D.通入足量SO 后的溶液: Na+、 Ba2+、ClO-、CHCOO- 2 3 7.(2021·安徽高三其他模拟)常温下,将HCl气体通入0.1 mol/L氨水中,混合溶液中 nHCl pH与微粒浓度的对数值(lgc)和反应物物质的量之比X[X=n(NH H O)n(NH)]的关系 3 2 4 如图所示(忽略溶液体积的变化),下列说法正确的是 A.NH·HO的电离平衡常数为10-9.25 3 2B.P 点由水电离出的c(H+)=1.0×10-7 mol/L 2  C.P 为恰好完全反应点,c(Cl-)+c(NH4)=0.2 mol/L 3 D.P 之后,水的电离程度一直减小 3 8.(2021·陕西宝鸡市·高三其他模拟)常温下,向20 mL 0.01 mol·L-1的NaOH溶液中逐 滴加入0.01 mol·L-1的CHCOOH溶液,溶液中由水电离出的c (OH-)的对数随加入CHCOOH 3 水 3 溶液体积的变化如图所示,下列说法正确的是 A.H、F点溶液显中性 B.E点溶液中由水电离的c (OH—)=1×10-3 mol·L-1 水 C.H点溶液中离子浓度关系为c(CHCOO—)>c(Na+)>c(H+)>c(OH—) 3 D.G点溶液中各离子浓度关系为c(CHCOO—)=c(Na+)+c(H+)—c(OH—) 3 9.(2021·广西南宁市·南宁三中高三三模)常温下 用如图1所示装置,分别向 , 25mL0.3mol/L NaCO 溶液和25mL0.3mo/lLNaHCO 溶液中逐滴滴加0.3mol/L的稀盐酸,用压 2 3 3 强传感器测得压强随盐酸体积的变化曲线如图2所示。下列说法正确的是 A.X曲线为NaCO 溶液的滴定曲线 2 3 B.b点溶液的pH大于c点溶液的pH C.a、d两点水的电离程度:a>d2- - D.c点的溶液中:c(Na+)+c(H+)=2c(CO3 )+c(HCO3 )+c(OH-) 10.(2021·天津高三三模)下列关于实验操作或现象说法正确的是 A.图1:进行氢氧化铁胶体的电泳实验,通电后,阴极附近颜色逐渐加深 B.图2:烧瓶中溶液为蒸馏水,反应一段时间后,试管中铁粉变为红棕色 C.图3:分离乙醚和苯 D.图4:接近滴定终点时,滴定管的尖嘴不可以接触锥形瓶内壁 11.(2021·天津高三三模)常温下,用0.1mol·L-1NaOH溶液滴定40mL0.1mol·L-1HSO 溶 2 3 液,所得滴定曲线如图所示(忽略混合时溶液体积的变化)。下列叙述错误的是 A.可求出K(HSO)、K(HSO)的值 a1 2 3 a2 2 3 B.滴定中两次反应终点可依次用甲基橙、酚酞作指示剂 2 C.图中Y点对应的溶液中3c(SO3 )=c(Na+)+c(H+)-c(OH-) 2  D.图中Z点对应的溶液中:c(Na+)>c(SO3 )>c(HSO3 )>c(OH-)12.(2021·天津高三一模)下列说法正确的是 A.常温下,由水电离产生的c(H+)=10-12mol/L的溶液中:K+、Na+、ClO-、I-大量共存  2 B.苯酚溶液中:Cl-、NH4、CO3 可以大量共存  C.次氯酸钠溶液中通少量CO:ClO-+CO+HO=HClO+HCO3 2 2 2 Δ  D.用银氨溶液检验醛基的离子方程式:RCHO+2Ag(NH)OH RCOO-+NH4+2Ag↓+3NH+HO 3 2 3 2 13.(2021·天津高三二模)下列说法不正确的是 A.某离子被沉淀完全是指该离子在溶液中的浓度为0 B.将KCl溶液从常温加热至100℃,溶液的pH变小但仍保持中性 C.常温下,NaCN溶液呈碱性,说明HCN是弱电解质 D.常温下,pH为3的醋酸溶液中加入醋酸钠固体,溶液pH增大 14.(2021·天津高三二模)下列化学实验基本操作中正确的是 A.分液时,碘的四氯化碳溶液从分液漏斗下口放出,水层从上口倒出 B.蒸馏时,将温度计水银球置于被蒸馏的石油液面下,且不触及蒸馏烧瓶的底部 C.滴定时,左手控制滴定管活塞,右手握持锥形瓶,边滴边振荡并平视滴定管内液面 D.用HCl标准溶液滴定NaHCO 溶液来测定其浓度,选择酚酞为指示剂 3 15.(2021·天津高三一模)常温下,将NaOH溶液滴加到20mL等浓度的某一元酸(HA)溶液 c(A-) c(A-) 中,测得混合溶液的pH与离子浓度变化关系如图所示[已知:pc(HA) =-lgc(HA) ]。下列 叙述不正确的是A.m点:c(Na+)m>1 16.(2021·云南高三三模)室温下,分别向体积均为20mL、 浓度均为0.1mol·L-1的HX、 HY溶液中,滴加相同浓度的Ba(OH) 溶液(Ba2+与X-、Y-均不反应)。随着Ba(OH) 溶液的加入, 2 2 由水电离产生的c(H+)的变化趋势如图所示。下列说法错误的是 A.相同条件下,K(HX)>K(HY) a a B.M点溶液显中性,溶液中c(Y-)”或“<”)Ksp(CaSO)。 4 4 (4)步骤II中发生反应的化学方程式为_______ (5)步骤I~III是为了制得纯碱,从环境保护的角度看,可能的不足之处是_______ (6)步骤V合成时,加入95%的乙醇的目的是_______ (7)测定产品活性氧的实验步骤如下:准确称取mg产品,用硫酸溶解后,用cmol·L-1的 KMnO 标准溶液滴定至终点,消耗KMnO 标准溶液VmL。 4 4①滴定到终点时,溶液呈_______(填“无色”或“浅红色”)。 ②过氧化物的活性氧是指过氧化物单独用催化剂催化分解时放出氧气的质量与样品的质量之 比。该实验测得的产品中活性氧为_______(列出计算表达式)。 19.(2021·吉林长春市·东北师大附中高三其他模拟)三氯乙醛(CClCHO)是生产农药、医 3 药的重要中间体,实验室制备三氯乙醛的反应装置示意图(加热装置未画出)和有关数据如图: ①制备反应原理:CHOH+4Cl→CClCHO+5HCl。 2 5 2 3 ②反应过程中 CHOH和HCl 可能会生成副产物 CHCl,同时CClCHO(三氯乙醛)也能被次氯 2 5 2 5 3 酸继续氧化生成 CClCOOH(三氯乙酸) 3 ③相关物质的相对分子质量及部分物理性质: 相对分子质量 熔点/C 沸点/C 溶解性 CHOH 46 -114.1 78.3 与水互溶 2 5 CClCHO 147.5 -57.5 97.8 可溶于水、乙醇 3 CClCOO 3 163.5 58 198 可溶于水、乙醇、三氯乙醛 H CHCl 64.5 -138. 7 12.3 微溶于水,可溶于乙醇 2 5 (1)A 中所发生反应的离子方程式为___________。 (2)仪器 C 的名称为___________,仪器 E 的进水口为___________(填“a”或“b”)。 (3)装置 D 中的试剂应为___________。 (4)反应结束后,有人提出先将 C 中的混合物冷却到室温,再用分液的方法分离出三氯乙酸 杂质。你认为此方案是否可行___________(填“是”或“否”),原因是___________。 (5)该设计装置中存在一处缺陷是___________,导致引起的后果是___________。 (6)测定产品纯度:称取产品4.6 g 配成待测溶液 100.00 mL,取待测液 10.00 mL 于滴定 瓶中,加入0.1000 mol/L 碘标准溶液 25.00 mL,再加入适量 NaCO 溶液,反应完全后,加 2 3 盐酸调节溶液的pH,立即用 0.02000 mol/LNaSO 溶液滴定至终点。进行三次平行实验,测 2 2 3得平均消耗NaSO 溶液 20.00 mL。则产品的纯度为___________(计算结果保留四位有效数 2 2 3 字)。 2- 滴定原理:CClCHO+OH-=CHCl+HCOO- ,HCOO-+I =H++2I-+CO ,I+2SO3 =2I- +SO 3 3 2 2 2 2 4 2- 6 。 20.(2021·阜新市第二高级中学高三其他模拟)乳酸亚铁晶体{[CHCH(OH)COO]Fe•3HO}几 3 2 2 乎不溶于乙醇,易被氧化。以赤铁矿渣(主要成分是FeO,含少量AlO、SiO 杂质)和乳酸 2 3 2 3 2 [CHCH(OH)COOH]为原料制取乳酸亚铁晶体的工艺如图所示: 3 已知: 金属氢氧化物 溶度积Ksp 开始沉淀时的pH 完全沉淀时的pH Al(OH) 2×10-32 4.1 5.4 3 Fe(OH) 3.5×10-38 2.2 3.4 3 回答下列问题: (1)C、N、O的一第电离能由大到小的顺序为___________,HO的中心原子的孤电子对数为 2 ___________。 (2)常温下,调pH=3.5~4.1的目的是___________。 (3)“沉铁”过程的离子方程式为___________。 (4)“操作2”具体为:隔绝空气低温蒸发浓缩、___________、冷却结晶、过滤、乙醇洗涤、 真空干燥,密封储存产品。乙醇洗涤的目的是___________。 (5)可用高锰酸钾滴定法测定样品中Fe2+的量,进而计算产品中乳酸亚铁的纯度,发现结果总 是大于100%,其原因可能是___________:经查阅文献后,小组同学改用Ce(SO) 标准溶液 4 2 滴定法进行测定。反应中Ce4+的还原产物为Ce3+。测定时称取3.0g样品溶于水,配成100mL 溶液,每次取20mL的溶液用0.100mol•L-1Ce(SO) 标准溶液滴定至终点,记录数据如下表: 4 20.100mol•L-1Ce(SO) 标准溶液体积/ 4 2 mL 滴定序号 滴定前读数 滴定后读数 1 0.10 19.85 2 0.12 21.32 3 1.05 20.70 则产品中乳酸亚铁晶体的纯度为___________。 三、实验题 21.(2021·南岸区·重庆第二外国语学校高三三模)铋酸钠(NaBiO)是分析化学中的重要 3 试剂,在水中缓慢分解,遇沸水或酸则迅速分解。某兴趣小组设计实验制取铋酸钠并探究其 应用。回答下列问题: Ⅰ.制取铋酸钠。制取装置如图(加热和夹持仪器已略去),部分物质性质如下: 物质 NaBiO Bi(OH) 3 3 性质 不溶于冷水;浅黄色 难溶于水;白色 (1)C中盛放Bi(OH) 与NaOH的混合物,与Cl 反应生成NaBiO,反应的化学方程式为: 3 2 3 _______,B装置的作用是_______。 (2)当观察到_______(填现象)时,可以初步判断C中反应已经完成。 (3)拆除装置前必须先除去残留的Cl,以免污染空气。除去烧瓶A中残留Cl 的操作是:关闭 2 2 _______;打开_______。 (4)反应结束后,为从装置C中获得尽可能多的产品,需要的操作有_______、过滤、_______。 Ⅱ.铋酸钠的应用——检验Mn2+ (5)往待检液中加入铋酸钠晶体,加硫酸酸化,生成Bi3+,且溶液变为紫红色,证明待检液中 存在Mn2+。产生紫红色现象的离子方程式为_______。Ⅲ.产品纯度的测定 (6)取上述NaBiO 产品ag,加入足量稀硫酸和MnSO 稀溶液使其完全反应,再用bmol·L−1的 3 4   HCO 标准溶液滴定生成的MnO4(已知:HCO+MnO4—CO+Mn2++HO,未配平),当溶液紫红色 2 2 4 2 2 4 2 2 恰好褪去时,消耗cmL标准溶液。该产品的纯度为_______(用含a、b、c的代数式表示)。 22.(2021·重庆市第十一中学校高三二模)过氧乙酸(CHCOOOH)是一种高效消毒剂,遇热 3 易分解,可用较高浓度的双氧水和冰醋酸制备,原理:HO+CHCOOH      浓  硫  酸    2 2 3 CHCOOOH+HO ΔH<0。某实验小组制备过氧乙酸。步骤如下: 3 2 (1)浓缩双氧水:(装置如图)蛇形冷凝管连接恒温水槽,维持冷凝管中的水温为60 ℃,c口 接抽气泵,使装置中的压强低于常压,将滴液漏斗中低浓度的双氧水滴入蛇形冷凝管中,重 复浓缩2~3次。 ①蛇形冷凝管的进水口为________(填“a”或“b”)。 ②常压下,HO 的沸点是158 ℃。实验完成后,较高浓度的双氧水主要收集在圆底烧瓶 2 2 ________内(填“A”或“B”)。 (2)制备过氧乙酸:向三颈烧瓶中,加入25 mL冰醋酸和一定量浓硫酸,再缓缓加入15 mL 42.5%的双氧水,温度控制在40 ℃,搅拌4 h后,室温静置12 h。 ①浓硫酸的用量对生成过氧乙酸的质量分数有较为明显的影响,如图呈现了两者之间的关系。 根据图中数据,本实验浓硫酸的用量最好控制在________(填字母)范围。A.1.5 mL~2.0 mL B.3.5 mL~4.0 mL C.5.5 mL~6.0 mL ②滴加双氧水要有冷却措施,目的是________。控制反应温度在40 ℃的加热方法是 ________。 (3)测定所得产品浓度: Ⅰ.取V mL产品溶液酸化后,用a mol/L的KMnO 标准溶液滴定其残留的HO,终点时消耗 4 2 2 KMnO 标准溶液V mL(KMnO 只与产品中的HO 反应)。 4 1 4 2 2 Ⅱ.另取V mL产品溶液,加入过量的KI溶液充分反应,然后以淀粉作指示剂,用b mol/L NaSO 标准溶液滴定生成的I,终点时消耗NaSO 标准溶液V mL。 2 2 3 2 2 2 3 2 已知:HO+2I-+2H+=I+2HO CHCOOOH+2I-+2H+=CHCOOH+I+HO 2 2 2 2 3 3 2 2 I 2S O2 S O2 2I 2 2 3 4 6 ①写出Ⅰ中酸性KMnO 溶液与HO 反应的离子方程式________,用NaSO 标准溶液滴定I, 4 2 2 2 2 3 2 终点颜色变化为________,产品中过氧乙酸的浓度为________mol/L。 ②下列实验操作可能使测定结果偏高的是________(填字母序号)。 A.盛装KMnO 标准溶液的滴定管没有润洗 4 B.用KMnO 标准溶液滴定前仰视读数,滴定终点时俯视读数 4 C.Ⅱ中加入的KI溶液量不足 D.用NaSO 标准溶液滴定前,振荡锥形瓶的时间过长 2 2 3 23.(2021·青海高三三模)亚氯酸钠(NaClO)是一种高效漂白剂,其有效氯含量相当于漂 2 白粉的7倍。可用ClO 与过氧化氢为原料制取亚氯酸钠,相关实验装置如图所示。请回答: 2已知: ①2NaClO+HO+HSO=2ClO↑+O↑+NaSO+2HO; 3 2 2 2 4 2 2 2 4 2 ②2ClO+2NaOH=NaClO+NaClO+HO; 2 2 3 2 ③已知NaClO 饱和溶液在温度低于38℃时析出NaClO·3HO晶体,高于38℃时析出NaClO 2 2 2 2 晶体,高于60℃时NaClO 分解成NaClO 和NaCl。 2 3 (1)仪器B的作用是___________。 (2)写出装置C中制备NaClO 固体的化学方程式:___________。冰水浴冷却的目的是 2 ___________(写两种)。 (3)在装置A中发生反应生成NaClO,反应过程中放出大量的热。 2 ①研究表明,实验时装置C中HO 与NaOH的物料比需要控制在0.8左右,原因可能是 2 2 ___________。 ②在吸收液中HO 和NaOH的物料比、浓度和体积不变的条件下,控制反应在0~3℃进行,实 2 2 验中可采取的措施是___________。 (4)尾气吸收时,一般用___________溶液吸收过量的ClO 2。 (5)为了测定NaClO 粗品的纯度,取上述粗产品a g溶于水配成1 L溶液,取出10 mL溶液于 2 锥形瓶中,再加入足量酸化的KI溶液,充分反应后(NaClO 被还原为Cl-,杂质不参加反应), 2 加入2~3滴淀粉溶液,用0.20 mol·L-1 NaSO 标准液滴定,达到滴定终点时用去标准液V 2 2 3 mL,试计算NaClO 粗品的纯度___________(提示:2NaSO+I=NaSO+2NaI) 2 2 2 3 2 2 4 6 (6)下列关于该实验及样品组成分析的说法,正确的是___________(填字母)。 A.装置C中制得的NaClO 固体中可用略低于38℃的热水洗涤2~3遍 2 B.装置C中制得的NaClO 固体后的操作包括过滤、洗涤和干燥 2 C.如果撤去装置C中的冰水浴,可能导致产品中混有的杂质是NaClO 和NaCl 3 D.装置A中空气流速过快或过慢,均会增大NaClO 的产率 2 24.(2021·河南新乡市·新乡县一中高三其他模拟)过氧化钙是一种用途广泛的优良供氧剂,可用于鱼类养殖、农作物栽培、污水处理等多方面。下图为用储量丰富的大理石(主要 成分CaCO,含有少量的Fe、Al、Mg、Si等杂质)制备CaO 的过程: 3 2 回答下列问题: I.过氧化钙的制取 (1)HO 作为氧化剂的优点是___________。 2 2 (2)由滤液II得到CaO·8HO的化学方程式为___________,此反应过程温度控制在0~8℃ 2 2 为宜的原因是___________。 (3)反应③后实验操作为___________,用冰水洗涤CaO·8HO的方法___________。 2 2 II.过氧化钙含量的测定 称量0.4g样品加入一定量2mol·L-1盐酸配成溶液,滴定时加入1mL0.05mol·L-1MnSO,立即 4 用0.1mol/L酸性KMnO 标准溶液滴定。 4 (4)滴定时用到的仪器有___________(填序号)。 (5)滴定终点现象为___________,若消耗20.00mLKMnO,计算样品中CaO 的质量分数 4 2 ___________。 (6)下列操作使测定CaO 的质量分数偏高的是___________。 2 A.滴定管未用KMnO 润洗B.开始时滴定管内有气泡,滴定后消失 4 C.滴定结束读数时,俯视刻度线D.滴定过程中待测液溅出 25.(2021·天津和平区·耀华中学高三二模)二氧化氯(ClO)是一种高效、广谱的灭菌消 2 毒剂。已知ClO 为橙黄色气体,极易溶于水,在混合气体中浓度过高时易发生爆炸。请回答 2 下列问题:(1)“二氧化氯泡腾片”的有效成分为NaClO、NaHSO、NaHCO,能快速溶于水,生成的ClO 2 4 3 2 溶于水得到ClO 溶液,同时生成另一种气体而放出大量气泡。每生成1molClO 消耗NaClO 的 2 2 2 量为_______mol;产生另一种气体的离子方程式为_______。 (2)在处理废水时,ClO 可与水中的有毒离子(如CN-)反应生成两种无毒气体,反应的离子方 2 程式为_______。 (3)利用NaClO 还原法可制备ClO,实验装置如图 3 2 仪器a的名称_______;实验安全至关重要,从安全角度考虑A装置左侧通入氮气的目的是 _______。装置A中生成ClO 的化学方程式为_______。 2 (4)ClO 稳定性较差,需随用随制,产物用水吸收得到ClO 溶液,为测定所得溶液中ClO 的 2 2 2 含量,进行了以下实验: I.准确量取ClO 溶液10.00mL,稀释成100mL试样 2 II.量取VmL试样加入到锥形瓶中,调节试样的pH≤2.0,加入足量的KI晶体,摇匀,在暗 1 处静置30分钟[已知:2ClO+10I-+8H+=5I+2Cl-+4HO] 2 2 2 III.以淀粉溶液作指示剂,用c mol·L-1NaSO 溶液滴定至终点,消耗NaSO 溶液VmL。 2 2 3 2 2 3 2 S O2- S O2- (已知:I+2 2 3 =2I-+ 4 6 ) 2 ①准确量取10.00mLClO 溶液的玻璃仪器是_______。 2 ②上述步骤3中滴定终点的现象是_______。 ③据上述步骤可计算出原ClO 溶液的浓度为_______mol·L-1(用含字母的代数式表示) 2 ④实验中使用的NaSO 标准溶液部分因被氧气氧化而变质,则实验结果_______(填“偏高”、 2 2 3 “偏低”或“无影响”) 26.(2021·天津南开区·南开中学高三三模)甘氨酸亚铁[(HNCHCOO)Fe]可有效改善缺铁 2 2 2性贫血,化学兴趣小组的同学设计了如下两个实验:装置1制备碳酸亚铁晶体;装置2制备 甘氨酸亚铁。已知:柠檬酸易溶于水,具有较强的酸性和还原性。回答下列问题: I.碳酸亚铁晶体(FeCO·nHO)的制备 3 2 (1)实验操作如下:关闭f,打开e,然后关闭活塞a,打开活塞b、c,加入适量稀硫酸反应 一段时间后,关闭活塞b、c,打开活塞a,以上操作的目的为_______并使A产生的硫酸亚铁 压入到B装置中发生反应;实验结束后,若装置B中没有出现碳酸亚铁晶体,可能的原因是 _______。 (2)反应结束后,对装置B中的反应液进行静置、过滤、洗涤、干燥,得到碳酸亚铁晶体。过 滤操作过程中用到的玻璃仪器有烧杯_______;干燥过程中可能有少量碳酸亚铁晶体被氧化 为FeOOH,检验该氧化产物中阳离子所用的化学试剂为_______ II.甘氨酸亚铁[(HNCHCOO)Fe]的制备 2 2 2 实验操作如下:将装置1制取的碳酸亚铁晶体与甘氨酸的水溶液混合加入C中,关闭e,打 开f,然后利用E中盐酸和碳酸钙反应生成的气体排尽装置中的空气,接着滴入柠檬酸溶液 并加热。反应结束后过滤,滤液经蒸发结晶、过滤、洗涤、干燥,得到甘氨酸亚铁。 (3)仪器h的名称为_______;试剂g为_______ (4)为了提高(HNCHCOO)Fe的产率,需要控制C中反应溶液的pH在5.6~6.0之间。若pH过 2 2 2 低,(HNCHCOO)Fe的产率将降低,其原因为_______,滴入柠檬酸溶液的作用除了促进 2 2 2 FeCO 的溶解,调节溶液的pH外,还有_______。 3 (5)(HNCHCOO)Fe中Fe2+含量的测定:使用电子天平准确称取3.440g产品,用蒸馏水配制成 2 2 2 100mL溶液。取出25.00mL溶液于锥形瓶中,向其中加入一定量的稀硫酸酸化,用 0.05000mol·L-1KMnO;标准溶液滴定至终点(已知滴定过程中只有Fe2+被氧化),消耗KMnO 4 4 标准溶液的体积为17.20mL。则产品中Fe2+的质量分数为_______27.(2021·四川树德中学高三其他模拟)最新研究发现新型催化剂M可稳定催化纯甲酸 (HCOOH)脱氢生成H 和CO,且M在室温下即可生效,95°C催化活性达最大值,有水存在的 2 2 情况下催化活性略有降低。实验室利用该方法使纯甲酸分解并收集所得气体的装置如图所示, 请回答下列问题: (1)仪器a的名称是___________,其作用是___________。 (2)实验中为了使催化剂M的活性达到最大值,采用的措施有___________、___________、 ___________。 (3)若要将分解所得的气体中的CO 除去并收集氢气,可调节三通阀的位置将气体导出,并依 2 次通过下列装置:装NaOH溶液的洗气瓶装浓硫酸的洗气瓶→氢气收集装置→装有碱石灰的干 燥管→酒精灯点燃尾气。其中收集氢气应采用的方法是___________,可选择的装置是 ___________(填标号)。 (4)实验室可以用碘量法测定工业甲酸的含量(杂质不参与反应),具体操作:称取6.000g工 业甲酸配成250mL溶液,量取25.00mL于锥形瓶中,先加入30mL 0.5000mol/L的次溴酸钠溶 液与甲酸反应生成CO 和NaBr,再用足量KI与过量的次溴酸钠反应生成I 和NaBr,加入几 2 2 滴淀粉溶液后用0.4000mol/L 的NaSO 标准溶液滴定I(2NaSO+I =2NaI+ NaSO),至滴 2 2 3 2 2 2 3 2 2 4 6定终点时消耗NaSO 溶液12.50mL。 2 2 3 ①由次溴酸钠固体配制0.5000mol/L 的次溴酸钠溶液,需要的仪器有药匙、玻璃棒、 ___________(从下列图中选择,写出名称);次澳酸钠溶液与甲酸反应的离子方程式是 ___________。 ②滴定终点的标志是___________。 ③该工业甲酸中甲酸的质量分数是___________(保留三位有效数字)。 28.(2021·辽宁高三其他模拟)某课外小组利用如图装置(夹持仪器略)探究使用废铁屑制 NH  SO FeSO 6H O 取摩尔盐 4 2 4 4 2 ,已知摩尔盐易溶于水、难溶于酒精。实验操作步 骤如图: 4.2g Fe O ①称取 废铁屑粉末(含少量 2 3),用纸槽加入到仪器X中,塞紧胶塞。打开分液漏斗 K 30mL 3molL1 H SO 旋塞 1,加入 2 4溶液充分反应。 ②轻捏气球底部把还原铁粉慢慢加入到仪器X中,直到有少量固体不溶时停止。 K 3molL1 H SO ③再次打开分液漏斗旋塞 1,逐滴加入 2 4溶液并振荡X至固体完全溶解,继1mL 3molL1 H SO K 续加入 2 4溶液后关闭旋塞 1。 11.80gNH  SO K ④打开分液漏斗旋塞 2加入由 4 2 4配成的饱和溶液,点燃酒精灯加热仪器X 一段时间,当_________停止加热,冷却后有大量晶体出现,把溶液全部倒入抽滤瓶,进行 抽滤、洗涤、干燥,即可得摩尔盐。 回答下列问题: (1)仪器X的名称是_______。 (2)步骤②中发生反应的离子方程式为_______。 (3)气球的作用是_______。 (4)步骤④横线应补充的内容是_______,洗涤摩尔盐的溶剂最好用_______,其目的是 _______。 M=392g/mol 7.840g (5)该小组探究产品中摩尔盐( )的含量,用分析天平称取 的产品溶于水 0.0800mol/L KMnO KMnO 配成溶液,然后用 的酸性 4溶液滴定,最终消耗酸性 4溶液 25.70mL 。 ①滴定终点现象为_______; ②该产品纯度为_______。