当前位置:首页>文档>期中真题重组卷(考查范围:第13~15章)(人教版)(解析版)_初中数学人教版_8上-初中数学人教版_2025秋季新人教版数学八上课件教案_10-期中试卷及答案解析

期中真题重组卷(考查范围:第13~15章)(人教版)(解析版)_初中数学人教版_8上-初中数学人教版_2025秋季新人教版数学八上课件教案_10-期中试卷及答案解析

  • 2026-03-31 05:49:18 2026-03-28 07:54:01

文档预览

期中真题重组卷(考查范围:第13~15章)(人教版)(解析版)_初中数学人教版_8上-初中数学人教版_2025秋季新人教版数学八上课件教案_10-期中试卷及答案解析
期中真题重组卷(考查范围:第13~15章)(人教版)(解析版)_初中数学人教版_8上-初中数学人教版_2025秋季新人教版数学八上课件教案_10-期中试卷及答案解析
期中真题重组卷(考查范围:第13~15章)(人教版)(解析版)_初中数学人教版_8上-初中数学人教版_2025秋季新人教版数学八上课件教案_10-期中试卷及答案解析
期中真题重组卷(考查范围:第13~15章)(人教版)(解析版)_初中数学人教版_8上-初中数学人教版_2025秋季新人教版数学八上课件教案_10-期中试卷及答案解析
期中真题重组卷(考查范围:第13~15章)(人教版)(解析版)_初中数学人教版_8上-初中数学人教版_2025秋季新人教版数学八上课件教案_10-期中试卷及答案解析
期中真题重组卷(考查范围:第13~15章)(人教版)(解析版)_初中数学人教版_8上-初中数学人教版_2025秋季新人教版数学八上课件教案_10-期中试卷及答案解析
期中真题重组卷(考查范围:第13~15章)(人教版)(解析版)_初中数学人教版_8上-初中数学人教版_2025秋季新人教版数学八上课件教案_10-期中试卷及答案解析
期中真题重组卷(考查范围:第13~15章)(人教版)(解析版)_初中数学人教版_8上-初中数学人教版_2025秋季新人教版数学八上课件教案_10-期中试卷及答案解析
期中真题重组卷(考查范围:第13~15章)(人教版)(解析版)_初中数学人教版_8上-初中数学人教版_2025秋季新人教版数学八上课件教案_10-期中试卷及答案解析
期中真题重组卷(考查范围:第13~15章)(人教版)(解析版)_初中数学人教版_8上-初中数学人教版_2025秋季新人教版数学八上课件教案_10-期中试卷及答案解析
期中真题重组卷(考查范围:第13~15章)(人教版)(解析版)_初中数学人教版_8上-初中数学人教版_2025秋季新人教版数学八上课件教案_10-期中试卷及答案解析
期中真题重组卷(考查范围:第13~15章)(人教版)(解析版)_初中数学人教版_8上-初中数学人教版_2025秋季新人教版数学八上课件教案_10-期中试卷及答案解析
期中真题重组卷(考查范围:第13~15章)(人教版)(解析版)_初中数学人教版_8上-初中数学人教版_2025秋季新人教版数学八上课件教案_10-期中试卷及答案解析
期中真题重组卷(考查范围:第13~15章)(人教版)(解析版)_初中数学人教版_8上-初中数学人教版_2025秋季新人教版数学八上课件教案_10-期中试卷及答案解析
期中真题重组卷(考查范围:第13~15章)(人教版)(解析版)_初中数学人教版_8上-初中数学人教版_2025秋季新人教版数学八上课件教案_10-期中试卷及答案解析
期中真题重组卷(考查范围:第13~15章)(人教版)(解析版)_初中数学人教版_8上-初中数学人教版_2025秋季新人教版数学八上课件教案_10-期中试卷及答案解析
期中真题重组卷(考查范围:第13~15章)(人教版)(解析版)_初中数学人教版_8上-初中数学人教版_2025秋季新人教版数学八上课件教案_10-期中试卷及答案解析
期中真题重组卷(考查范围:第13~15章)(人教版)(解析版)_初中数学人教版_8上-初中数学人教版_2025秋季新人教版数学八上课件教案_10-期中试卷及答案解析
期中真题重组卷(考查范围:第13~15章)(人教版)(解析版)_初中数学人教版_8上-初中数学人教版_2025秋季新人教版数学八上课件教案_10-期中试卷及答案解析
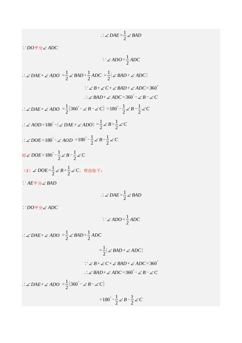
期中真题重组卷(考查范围:第13~15章)(人教版)(解析版)_初中数学人教版_8上-初中数学人教版_2025秋季新人教版数学八上课件教案_10-期中试卷及答案解析
期中真题重组卷(考查范围:第13~15章)(人教版)(解析版)_初中数学人教版_8上-初中数学人教版_2025秋季新人教版数学八上课件教案_10-期中试卷及答案解析
期中真题重组卷(考查范围:第13~15章)(人教版)(解析版)_初中数学人教版_8上-初中数学人教版_2025秋季新人教版数学八上课件教案_10-期中试卷及答案解析
期中真题重组卷(考查范围:第13~15章)(人教版)(解析版)_初中数学人教版_8上-初中数学人教版_2025秋季新人教版数学八上课件教案_10-期中试卷及答案解析
期中真题重组卷(考查范围:第13~15章)(人教版)(解析版)_初中数学人教版_8上-初中数学人教版_2025秋季新人教版数学八上课件教案_10-期中试卷及答案解析
期中真题重组卷(考查范围:第13~15章)(人教版)(解析版)_初中数学人教版_8上-初中数学人教版_2025秋季新人教版数学八上课件教案_10-期中试卷及答案解析
期中真题重组卷(考查范围:第13~15章)(人教版)(解析版)_初中数学人教版_8上-初中数学人教版_2025秋季新人教版数学八上课件教案_10-期中试卷及答案解析
期中真题重组卷(考查范围:第13~15章)(人教版)(解析版)_初中数学人教版_8上-初中数学人教版_2025秋季新人教版数学八上课件教案_10-期中试卷及答案解析
期中真题重组卷(考查范围:第13~15章)(人教版)(解析版)_初中数学人教版_8上-初中数学人教版_2025秋季新人教版数学八上课件教案_10-期中试卷及答案解析
期中真题重组卷(考查范围:第13~15章)(人教版)(解析版)_初中数学人教版_8上-初中数学人教版_2025秋季新人教版数学八上课件教案_10-期中试卷及答案解析
期中真题重组卷(考查范围:第13~15章)(人教版)(解析版)_初中数学人教版_8上-初中数学人教版_2025秋季新人教版数学八上课件教案_10-期中试卷及答案解析
期中真题重组卷(考查范围:第13~15章)(人教版)(解析版)_初中数学人教版_8上-初中数学人教版_2025秋季新人教版数学八上课件教案_10-期中试卷及答案解析
期中真题重组卷(考查范围:第13~15章)(人教版)(解析版)_初中数学人教版_8上-初中数学人教版_2025秋季新人教版数学八上课件教案_10-期中试卷及答案解析
期中真题重组卷(考查范围:第13~15章)(人教版)(解析版)_初中数学人教版_8上-初中数学人教版_2025秋季新人教版数学八上课件教案_10-期中试卷及答案解析
期中真题重组卷(考查范围:第13~15章)(人教版)(解析版)_初中数学人教版_8上-初中数学人教版_2025秋季新人教版数学八上课件教案_10-期中试卷及答案解析
期中真题重组卷(考查范围:第13~15章)(人教版)(解析版)_初中数学人教版_8上-初中数学人教版_2025秋季新人教版数学八上课件教案_10-期中试卷及答案解析

文档信息

文档格式
docx
文档大小
0.746 MB
文档页数
31 页
上传时间
2026-03-28 07:54:01

文档内容

2025-2026学年八年级数学上册期中真题重组卷 (考查范围:第13~15章) 【人教版】 参考答案与试题解析 一.选择题(共10小题,满分30分,每小题3分) 1.(3分)(2024·广东·佛山市顺德区大墩初级中学八年级期中)如图,△ABC平移后得到△≝¿,∠A= 55°,∠B=45°,则∠DFG的度数是( ) A.55° B.45° C.110° D.100° 【答案】D 【分析】先根据平移变换只改变图形的位置不改变图形的形状可得∠ACB=∠DFE,然后根据三角形的内 角和定理及邻补角定义列式计算即可得解. 【详解】解:∵△ABC中,∠A=55°,∠B=45°, ∴∠ACB=180°-∠A-∠B=80°. ∵△ABC平移后得到△≝¿, ∴∠ACB=∠DFE=80°, ∴∠DFG=180°-∠DFE=180°-80°=100°. 故选:D. 【点睛】本题主要考查了平移的性质,熟记平移变换只改变图形的位置不改变图形的形状是解题的关键. 2.(3分)(2024·黑龙江省新华农场中学期中)一个三角形,三个内角的度数比是2:3:5这个三角形是 ( ) A.锐角三角形 B.直角三角形 C.钝角三角形 【答案】B 【分析】根据三角形内角和定理求出这个三角形最大的角的度数即可得到答案. 5 【详解】解:由题意得这个三角形中最大的内角度数为180°× =90°, 2+3+5所以这个三角形是直角三角形, 故选B. 【点睛】本题主要考查了三角形内角和定理,三角形的分类,正确求出最大的内角的度数是解题的关键. 3.(3分)(2024·河北唐山·八年级期中)在下列长度的四组线段中,不能组成三角形的是( ) A.3,4,6 B.5,6,10 C.3,5,7 D.4,6,10 【答案】D 【分析】根据三角形三边关系判断即可. 【详解】解:A、∵3+4=7>6,∴能组成三角形,故不符合题意; B、∵5+6=11>10,∴能组成三角形,故不符合题意; C、∵3+5=8>7,∴能组成三角形,故不符合题意; D、∵4+6=10,∴不能组成三角形,故符合题意; 故选:D. 【点睛】此题考查了三角形的三边关系:三角形的两边之和大于第三边,两边之差小于第三边,熟记三角 形的三边关系是解题的关键. 4.(3分)(2024·广东·深圳市龙岗区宏扬学校八年级期中)如图,AP平分∠CAB,PD⊥AC于点D,若 PD=6,点E是边AB上一动点,关于线段PE叙述正确的是( ) A.PE=6 B.PE>6 C.PE≤6 D.PE≥6 【答案】D 【分析】利用角平分线上的点到角两边的距离相等以及点到直线的距离中,垂线段最短即可求解. 【详解】解:过P点作PH⊥AB于H,如图, ∵AP平分∠CAB,PD⊥AC,PH⊥AB, ∴PH=PD=6, ∵点E是边AB上一动点, ∴PE≥6. 故选:D.【点睛】本题考查了角平分线的性质及点到直线的距离中,垂线段最短,理解题意是解题的关键. 5.(3分)(2024·河北唐山·八年级期中)若一个多边形截去一个角后,变成四边形,则原来的多边形的 边数可能为( ) A.4或5 B.3或4 C.3或4或5 D.4或5或6 【答案】C 【分析】根据多边形截去一个角的位置可得:比原多边形可能少1条边,可能边的条数不变,也可能增加 1条边;据此求解即可. 【详解】解:当多边形是五边形时,截去一个角时,可能变成四边形; 当多边形是四边形时,截去一个角时,可能变成四边形; 当多边形是三角形时,截去一个角时,可能变成四边形; 所以原来的多边形的边数可能为:3或4或5. 故选:C. 【点睛】本题主要考查了多边形,解题的关键是理解多边形截去一个角的位置可得:比原多边形可能少1 条边,可能边的条数不变,也可能增加1条边. 6.(3分)(2024·广东广州·八年级期中)已知MN是线段AB的垂直平分线,C,D是MN上任意两点, 则∠CAD与∠CBD之间有( ) A.∠CAD>∠CBD B.∠CAD=∠CBD C.∠CAD<∠CBD D.与C,D的位置有关 【答案】B 【分析】如图所示,根据MN是线段AB的垂直平分线,C,D是MN上任意两点,得到AC=BC,AD= BD,之后证明△ACD≌△BCD,即可得到答案. 【详解】解:如图所示,∵MN是线段AB的垂直平分线, ∴AC=BC,AD=BD, 在△ACD和△BCD中, ¿, ∴△ACD≌△BCD(SSS), ∴∠CAD=∠CBD. 故选:B. 【点睛】本题主要考查线段的垂直平分线的性质以及三角形全等的判定与性质,掌握相关性质是解题的关 键. 7.(3分)(2024·广东·阳春市东风中学八年级期中)如图,△ABC中,AB=AC,∠BAC=120°,AD是 高,AE⊥AB交BC于E,则DE与BC之间的数量关系是( ) A.BC=3DE B.BC=6DE C.BC=2DE D.BC=5DE 【答案】B 【分析】连续多次使用30°所对的直角边等于斜边的一半和使用等角对等边即可求解. 【详解】解:∵△ABC中,AB=AC,∠BAC=120°, ∴∠B=∠C=30° 又∵AE⊥AB交BC于E,即∠BAE=90° ∴BE=2AE,∠AEB=60°,∠CAE=∠BAC-∠BAE=30°, ∴∠CAE=∠C,∴AE=CE, 又∵AD是高, ∴∠DAE=30°, ∴AE=2DE, ∴BC=BE+CE=2AE+AE=3AE=3×2DE=6DE. 故选:B. 【点睛】本题考查含30°的直角三角形的性质,等角对等边,等边对等角等知识,掌握含30°的直角三角形 的性质是解题的关键. 8.(3分)(2024·河北·原竞秀学校八年级期中)如图,面积为3的等腰△ABC,AB=AC,点B、点C 在x轴上,且B(1,0)、C(3,0),规定把△ABC “先沿y轴翻折,再向下平移1个单位”为一次变换,这样 连续经过2021次变换后,△ABC顶点A的坐标为( ) A.(-2,-2018) B.(2,-2018) C.(2,-2019) D.(-2,-2019) 【答案】A 【分析】根据等腰三角形的面积和B(1,0)、C(3,0);可得A(2,3),然后先求出前几次变换A的坐标,进 而可以发现第2021次变换后的三角形在x轴下方,且在第三象限,即可解决问题. 【详解】解:∵面积为3的等腰△ABC,AB=AC,B(1,0)、C(3,0), ∴点A到x轴的距离为3,横坐标为2, ∴A(2,3), ∴第1次变换A的坐标为(-2,2); 第2次变换A的坐标为(2,1); 第3次变换A的坐标为(-2,0); 第4次变换A的坐标为(2,-1); 第5次变换A的坐标为(-2,-2); ∴第2021次变换后的三角形在x轴下方,且第三象限, ∴点A的纵坐标为-2021+3=-2018,横坐标为-2, 所以,连续经过2021次变换后,△ABC顶点A的坐标为(-2,-2018).故选:A. 【点睛】本题考查了翻折变换,及点的坐标变化规律,等腰三角形的性质,坐标与图形对称、平移,解决 本题的关键是掌握轴对称的性质. 9.(3分)(2024·广东·新丰县大席中学八年级期中)如图,A、B、C在同一条直线上,△ABF和△BCE 均为等边三角形,AE、FC分别交FB、EB于点M、N,下列结论中:①△ABE≌△FBC,②AB=FN,③BM =BN,④∠ADF=60°,⑤DB平分∠ADC,其中正确的有( ) A.5个 B.4个 C.3个 D.2个 【答案】B 【分析】根据等边三角形的性质以及三角形内角和定理,三角形的外角的性质得出∠ABE=∠FBC,进而 证明△ABE≌△FBC(SAS),即可判断①,继而证明△ABM≌△FBN(ASA),即可判断②,由 △ABE≌△FBC,得出∠AEB=∠FCB,可得∠ADF=60°,即可判断④,作BP⊥AD,BQ⊥CD,垂足分别为 P,Q,证明△BPM≌△BQN(ASA),得到BP=BQ,根据角平分线的判定即可判断⑤. 【详解】解:∵△ABF和△BCE均为等边三角形, ∴AB=FB,BC=BE,∠ABF=∠CBE=60°, ∴∠MBN=180°﹣∠ABF﹣∠CBE=60°, ∵∠ABE=∠ABF+∠MBN=60°+60°=120°, ∠FBC=∠CBE+∠MBN=60°+60°=120°, ∴∠ABE=∠FBC, 在△ABE和△FBC中, ¿, ∴△ABE≌△FBC(SAS),故①正确; ∵△ABE≌△FBC,∴∠BAM=∠BFN, 在△ABM和△FBN中, ¿, ∴△ABM≌△FBN(ASA), ∴AM=FN,BM=BN,故③正确; ∵∠MAB<60°,∠ABF=60°, ∴∠AMB≠∠ABF, ∴AB≠AP, ∴AB≠FN,故②错误, ∵△ABE≌△FBC, ∴∠AEB=∠FCB, ∠ADF=∠DAC+∠DCA=∠DAC+∠AEB=∠CBE=60°,故④正确; 作BP⊥AD,BQ⊥CD,,垂足分别为P,Q, ∴∠BPM=∠BQN=90°, ∵△ABM≌△FBN, ∴BM=BN,∠PMB=∠QNB, 在△BPM和△BQN中, ¿, ∴△BPM≌△BQN(ASA), ∴BP=BQ,即点B到AD和DC的距离相等, ∴BD是∠ADC的角平分线,故⑤正确; 故选:B.【点睛】本题考查了全等三角形的性质与判定,等边三角形的性质与判定,角平分线的判定定理,综合运 用以上知识是解题的关键. 10.(3分)(2024·湖北武汉·八年级期中)在ΔABC中,已知AB=BC,∠ABC=90°,点E是BC边延 BC 5 长线上一点,如图所示,将线段AE绕点A逆时针旋转90°得到AF,连接CF交直线AB于点G,若 = , CE 3 AG 则 =( ) BG 7 8 11 13 A. B. C. D. 3 3 3 3 【答案】D 【分析】过点F作FD⊥AG,交AG的延长线于点D, 设BC=5x,利用AAS证出△FAD≌△AEB,从而用x表示出 AD,BD,然后利用AAS证出△FDG≌△CBG,即可用x表示出BG,AG从而求出结论. 【详解】解:过点F作FD⊥AG,交AG的延长线于点D BC 5 ∵ = CE 3 设BC=5x,则CE=3x ∴BE=BC+CE=8x ∵AB=BC=5x,∠ABC=90°,∴∠BAC=∠BCA=45° ∴∠BCA=∠CAE+∠E=45° 由旋转可知∠EAF=90°,AF=EA ∴∠CAE+∠FAD=∠EAF-∠BAC=45° ∴∠FAD=∠E 在△FAD和△AEB中 ¿ ∴△FAD≌△AEB ∴AD=EB=8x,FD=AB ∴BD=AD-AB=3x,FD=CB 在△FDG和△CBG中 ¿ ∴△FDG≌△CBG 1 3x ∴DG=BG= BD= 2 2 13x ∴AG=AB+BG= 2 13x AG 2 13 ∴ = = BG 3x 3 2 故选D. 【点睛】此题考查的是全等三角形的判定及性质,掌握构造全等三角形的方法和全等三角形的判定及性质 是解决此题的关键. 二.填空题(共6小题,满分18分,每小题3分) 11.(3分)(2024·北京·中国农业大学附属中学八年级期中)如图,△ABC中沿EF将四边形EFBC翻折, 使点B、点C分别落在点B'和点C'处,再将△AEF沿AF翻折,使点E落在点E'处,若∠A=60°, ∠1=95°,则∠3的度数为_____________.【答案】85°##85度 【分析】由折叠的性质,先求出∠B'EF+∠EFC'=240°,然后利用∠AEF+∠AFE=120°,求出 ∠2=25°,再利用三角形的外角性质,即可求出∠3的度数. 【详解】解:根据题意,在ΔABC中,∠A=60°, ∴∠B+∠C=120°, ∴∠BEF+∠EFC=360°-120°=240°, 由折叠的性质,则 ∠B'EF+∠EFC'=240°, 在ΔAEF中,∠AEF+∠AFE=120°, ∵∠B'EF+∠EFC'=∠1+∠AEF+AFE+∠2=240°, ∴95°+120°+∠2=240°, ∴∠2=25°, ∴∠3=60°+25°=85°; 故答案为:85° 【点睛】本题考查了三角形的内角和定理,折叠的性质,四边形的内角和,三角形的外角性质,解题的关 键是掌握所学的知识,正确的求出角的度数. 12.(3分)(2024·贵州省三穗中学八年级期中)如图,等腰三角形ABC的底边BC长为4,面积是12, 腰AC的垂直平分线EF分别交AC,AB于点E、F,若点D为底边BC的中点,点M为线段EF上一动点, 则△CDM的周长的最小值为_____. 【答案】8 【分析】连接AD,由于ΔABC是等腰三角形,点D是BC边的中点,故AD⊥BC,再根据三角形的面积 公式求出AD的长,再再根据EF是线段AC的垂直平分线可知,点C关于直线EF的对称点为点A,故AD的长为CM+MD的最小值,由此即可得出结论. 【详解】解:连接AD, ∵ΔABC是等腰三角形,点D是BC边的中点, ∴AD⊥BC, 1 1 ∴S = BC·AD= ×4×AD=12, ΔABC 2 2 解得AD=6, ∵EF是线段AC的垂直平分线, ∴点C关于直线EF的对称点为点A, ∴AD的长为CM+MD的最小值, 1 1 ∴ΔCDM的周长最短=(CM+MD)+CD=AD+ BC=6+ ×4=6+2=8. 2 2 故答案为:8 【点睛】本题考查的是轴对称-最短路线问题,熟知等腰三角形三线合一的性质是解答此题的关键. 13.(3分)(2024·全国·八年级期中)如图为6个边长相等的正方形的组合图形,则 ∠1+∠2+∠3=_____°. 【答案】135 【分析】如图,利用“边角边”证明 ABC和 DEA全等,根据全等三角形对应角相等可得∠1=∠4,然 后求出∠1+∠3=90°,再判断出∠2=△45°,然△后计算即可得解. 【详解】解:标注字母,如图所示, 在 ABC和 DEA中,¿, ∴△△ABC≌△D△EA(SAS), ∴∠1=∠4, ∵∠3+∠4=90°,∴∠1+∠3=90°, 又∵∠2=45°, ∴∠1+∠2+∠3=90°+45°=135°. 故答案为:135. 【点睛】本题考查了全等三角形的判定和性质,网格结构,准确识图并判断出全等三角形是解题的关键. 14.(3分)(2024·山东省青岛第六十三中学八年级期中)如图,在△ABC中, CD是△ABC的角平分线, DE⊥BC于E,F,G分别是边AC,BC上的点,连接DF,DG,若DF=DG,△CDF和△DEG的面 积分别为50和15,则△CDG的面积为_________. 【答案】20 【分析】过点D作DH⊥AC于点H,先根据角平分线的性质可得DH=DE,再根据HL定理证出 Rt△CDH≅Rt△CDE和Rt△DHF≅Rt△DEG,从而可得S =S 和S =S ,由此 Rt△CDH Rt△CDE Rt△DHF Rt△DEG 即可得. 【详解】解:如图,过点D作DH⊥AC于点H, ∵CD是△ABC的角平分线,且DE⊥BC,∴DH=DE, 在Rt△CDH和Rt△CDE中,¿, ∴Rt△CDH≅Rt△CDE(HL), ∴S =S , Rt△CDH Rt△CDE 同理可得:Rt△DHF≅Rt△DEG, ∴S =S , Rt△DHF Rt△DEG ∵△CDF和△DEG的面积分别为50和15, ∴S =S -S △CDG Rt△CDE Rt△DEG =S -S Rt△CDH Rt△DEG =S -S -S △CDF Rt△DHF Rt△DEG =S -S -S △CDF Rt△DEG Rt△DEG =50-15-15 =20, 即△CDG的面积为20, 故答案为:20. 【点睛】本题考查了角平分线的性质、直角三角形全等的判定与性质,通过作辅助线,构造全等三角形是 解题关键. 15.(3分)(2024·新疆·哈密市第八中学八年级期中)如图.已知△ABC中,AB=AC=12厘米, ∠B=∠C,BC=8厘米,D为AB的中点.如果点P在线段BC上以2厘米/秒的速度由点B向点C运动, 同时,点Q在线段CA上由点C向点A运动.若点Q的运动速度为a厘米/秒,则当△BPD与△CQP全等 时,a的值为______. 【答案】2或3##3或2 【分析】此题要分两种情况:①当BD=PC时,△BPD与△CQP全等,计算出BP的长,进而可得运动时 间,然后再求a;②当BD=CQ时,△BDP≌△CQP,计算出BP的长,进而可得运动时间,然后再求a.【详解】解:当BD=PC时,△BPD与△CQP全等, ∵点D为AB的中点, 1 ∴BD= AB=6cm, 2 ∵BD=PC, ∴BP=8-6=2(cm), ∵点P在线段BC上以2厘米/秒的速度由B点向C点运动, ∴运动时间时1s, ∵△DBP≌△PCQ, ∴BP=CQ=2cm, ∴a=2÷1=2; 当BD=CQ时,△BDP≌△CQP, ∵BD=6cm,PB=PC, ∴QC=6cm, ∵BC=8cm, ∴BP=4cm, ∴运动时间为4÷2=2(s), ∴a=6÷2=3(m/s), 故答案为:2或3. 【点睛】此题主要考查了全等三角形的判定,关键是要分情况讨论,不要漏解,掌握全等三角形的判定方 法:SSS、SAS、ASA、AAS、HL. 16.(3分)(2024·湖北武汉·八年级期中)如图,已知:四边形ABCD中,对角线BD平分∠ABC, ∠ACB=74°,∠ABC=46°,且∠BAD+∠CAD=180°,那么∠BDC的度数为_____. 【答案】30° 【分析】延长BA和BC,过D点作DE⊥BA于E点,过D点作DF⊥BC于F点,根据BD是∠ABC的平分线可 得出△BDE≌△BDF,故DE=DF,过D点作DG⊥AC于G点,可得出△ADE≌△ADG,△CDG≌△CDF,进而得出CD 为∠ACF的平分线,得出∠DCA=53°,再根据三角形内角和定理即可得出结论.【详解】解: 延长BA和BC,过D点作DE⊥BA于E点,过D点作DF⊥BC于F点, ∵BD是∠ABC的平分线 在 BDE与 BDF中,¿ , ∴△△BDE≌△B△DF(ASA), ∴DE=DF, 又∵∠BAD+∠CAD=180° ∠BAD+∠EAD=180° ∴∠CAD=∠EAD, ∴AD为∠EAC的平分线, 过D点作DG⊥AC于G点, 在Rt ADE与Rt ADG中,¿ , ∴△A△DE≌△ADG(△HL), ∴DE=DG, ∴DG=DF. 在Rt CDG与Rt CDF中,¿ , ∴Rt △CDG≌Rt C△DF(HL), ∴CD△为∠ACF△的平分线, ∠ACB=74°, ∴∠DCA=53°, ∴∠BDC=180°﹣∠CBD﹣∠DCA﹣∠ACB=180°﹣23°﹣53°﹣74°=30°. 故答案为:30° 【点睛】本题考查了多边形的外角和内角,能熟记三角形的外角性质和三角形的内角和定理是解此题的关 键,注意:三角形的内角和等于180°,三角形的一个外角等于和它不相邻的两个内角的和. 三.解答题(共7小题,满分72分) 17.(6分)(2024·福建龙岩·八年级期中)在一个各内角都相等的多边形中,每一个内角都比相邻的外角的3倍还大20°. (1)求这个多边形的边数. (2)求这个多边形的内角和及对角线的条数. 【答案】(1)9;(2)内角和1260°,对角线27条 【分析】(1) 设多边形的一个外角为α°,表示出内角度数,利用领补角得出等量关系,求出α的值; (2)根据多边形内角和公式求出多边形内角和,根据边数求出对角线条数. 【详解】解:(1)设多边形的一个外角为α°,则与其相邻的内角为(3α+20)° 由题意,得(3α+20)+α=180. 解得α=40, 即多边形的每个外角为40°. ∵多边形的外角和为360°, ∴多边形的边数为360°÷40°=9. (2)这个多边形的内角和为(9-2)×180°=1260°, 1 对角线一共有 ×(9-3)×9=27(条). 2 答:这个多边形的边数为9,内角和1260°,对角线27条. 【点睛】根据外角和的大小与多边形的边数无关,由外角和求正多边形的边数,由边数求对角线的个数, 是常见的题目,需要熟练掌握. 18.(6分)(2024·江苏·建新中学八年级期中)如图,在平面直角坐标系中. (1)作 ABC关于x轴对称的△A B C ; 1 1 1 (2)求△出 ABC的面积; (3)在x轴△上是否存在一点P,使得△A A P与 ABC面积相等?若存在,请求出点P的坐标;若不存在, 1 说明理由. △【答案】(1)见解析 9 (2) 2 (13 ) ( 5 ) (3)存在,点P坐标为 ,0 或 - ,0 4 4 【分析】(1)根据轴对称的性质先找出 ABC各顶点关于x轴对称的对应点的位置,然后顺次连接即可; (2)利用割补法求解即可; △ (3)设点P坐标为(a,0),根据△A A P与 ABC面积相等列方程求出a的值即可. 1 (1) △ 解:如图所示,△A B C 即为所求; 1 1 1 (2) 1 1 1 9 解:S =3×5- ×3×3- ×1×2- ×2×5= ; △ABC 2 2 2 2 (3) 解:存在, 设点P坐标为(a,0), 1 9 根据题意,得: ×4×|a-1|= , 2 2 13 5 解得:a= 或a=- , 4 4 13 5 ∴点P的坐标为( ,0)或(- ,0). 4 4 【点睛】本题考查了作图—轴对称变换,割补法,坐标与图形性质等知识,熟练掌握轴对称的性质是解题 的关键.19.(6分)(2024·江苏·宿迁市钟吾初级中学八年级期中)如图是由三个阴影的小正方形组成的图形,请 你在网格图中补画一个有阴影的小正方形,使四个阴影的小正方形组成的图形为轴对称图形. 【答案】见解析 【详解】解:如图所示: 20.(8分)(2024·河南南阳·八年级期中)如图,点E、C、F、B在一条直线上,BF=CE,AB=DE, AC⊥BE,FD⊥BE,AD交BE于O; 求证:OB=OE. 【答案】见解析 【分析】由垂直的定义可得∠ACB=∠EFD=90°,由BF=BC可得EF=CB,再证△ABC≌△≝¿, △ABO≅△DEO,由全等三角形的对应边相等即可得证. 【详解】证明:∵AC⊥BE,FD⊥BE, ∴∠ACB=∠EFD=90°, ∵BF=BC, ∴EF=CB, 又∵AB=DE, ∴△ABC≌△≝(LH), ∴∠B=∠E, ∵∠AOB=∠DOE,AB=DE, ∴△ABO≅△DEO(AAS), ∴OB=OE.【点睛】本题考查了全等三角形的判定与性质,证明三角形全等是解题的关键. 21.(8分)(2024·江西吉安·八年级期中)如图,在△ABC中,∠A=60°,BD,CE均为△ABC的角平 分线且相交于点O. (1)填空:∠BOC=_______°. (2)求证:BC=BE+CD. 【答案】(1)120 (2)见解析 【分析】(1)先根据三角形内角和定理得到∠ABC+∠ACB=120°,再利用角平分线的定义得到 1 1 ∠OBC= ∠ABC,∠OCB= ∠ACB,则∠OBC+∠OCB=60°,然后根据三角形内角和得到∠BOC 2 2 的度数; (2)在BC上截取BF=BE,先证明△BOE≌△BOF得到∠BOE=∠BOF,由于∠BOC=120°,所以∠BOE =∠COD=60°,则∠BOF=60°,接着证明△COD≌△COF得到CD=CF,然后利用等线段代换得到结论. (1) 解:∵∠A+∠ABC+∠ACB=180°, ∴∠ABC+∠ACB=180°−60°=120°, ∵BD,CE均为△ABC的角平分线, 1 1 ∴∠OBC= ∠ABC,∠OCB= ∠ACB, 2 2 1 ∴∠OBC+∠OCB= (∠ABC+∠ACB)=60°, 2 ∴∠BOC=180°−(∠OBC+∠OCB)=180°−60°=120°. 故答案为:120. (2) 证明:在BC上截取BF=BE,如图所示:∵OB平分∠ABC, ∴∠ABO=∠CBO, ∵在△BOE和△BOF中¿, ∴△BOE≌△BOF(SAS), ∴∠BOE=∠BOF, ∵∠BOC=120°, ∴∠BOE=∠COD=60°, ∴∠BOF=60°, ∴∠COF=120°-60°=60°, ∵OC平分∠ACB, ∴∠ACO=∠BCO, ∵在△COD和△COF中¿, ∴△COD≌△COF(ASA), ∴CD=CF, ∴BC=BF+CF=BE+CD. 【点睛】本题考查了全等三角形的判定与性质:全等三角形的判定是结合全等三角形的性质证明线段和角 相等的重要工具.在判定三角形全等时,关键是选择恰当的判定条件.也考查了角平分线的定义. 22.(9分)(2024·云南·通海县东麓中学八年级期中)如图①,已知BE为 ABC的角平分线,CD为 ABC外角∠ACF的平分线,CD与BE的延长线交于点D; △ △ (1)①若∠A=60°,∠ABC=70°,则∠D= °;②若∠A=60°,∠ACB=70°,则∠D= °; (2)当∠ABC和∠ACB在变化,而∠A始终保持不变,则∠D是否发生变化?由此你能得出什么结论(用含 ∠A的式子表示∠D)?请证明你的结论. (3)如图②,BP平分∠ABD,CP平分∠ACD,CP交BP于点P,其它条件不变,请直接写出∠P与∠A的 关系 (用含∠A的式子表示∠P). 【答案】(1)①30°;②30°; 1 (2)∠D不变化,∠D= ∠A;证明见解析; 2 3 (3)∠P= ∠A. 4 【分析】(1)①先根据角平分线定义求出∠DBC,再根据三角形外角的性质和角平分线定义求出 ∠DCF,然后利用三角形外角的性质求出∠D即可;②根据三角形内角和定理和平角的定义求出∠ABC和 ∠ACF,然后根据角平分线定义和三角形外角的性质求出∠D即可; (2)根据三角形外角的性质和角平分线定义可得∠DCF=∠DBC+∠D,∠ACF=∠A+∠ABC,且 1 1 ∠DCF= ∠ACF,∠DBC= ∠ABC,然后由∠D=∠DCF-∠DBC等量代换进行证明即可; 2 2 1 1 3 3 (3)根据角平分线的定义求出∠ABP= ∠ABC,∠ACP= ∠ACF,可得∠PBC= ∠ABC,∠PCF= 4 4 4 4 ∠ACF,然后根据三角形外角的性质求解即可. (1) 解:①∵BD为 ABC的角平分线,∠ABC=70°, 1 △ ∴∠DBC= ∠ABC=35°, 2 ∵∠A=60°, ∴∠ACF=∠A+∠ABC=130°, ∵CD为 ABC外角∠ACF的平分线, △ 1 ∴∠DCF= ∠ACF=65°, 2 ∴∠D=∠DCF−∠DBC=65°−35°=30°; ②∵∠A=60°,∠ACB=70°, ∴∠ABC=180°-60°-70°=50°,∠ACF=180°-70°=110°,∵BD为 ABC的角平分线,CD为 ABC外角∠ACF的平分线, △ 1 △1 ∴∠DBC= ∠ABC=25°,∠DCF= ∠ACF=55°, 2 2 ∴∠D=∠DCF−∠DBC=55°−25°=30°; 故答案为:①30°;②30°; (2) 1 解:∠D不变化,∠D= ∠A; 2 1 1 证明:∵∠DCF=∠DBC+∠D,∠ACF=∠A+∠ABC,且∠DCF= ∠ACF,∠DBC= ∠ABC, 2 2 ∴∠D=∠DCF-∠DBC, 1 1 = ∠ACF− ∠ABC, 2 2 1 1 = (∠A+∠ABC)− ∠ABC, 2 2 1 = ∠A; 2 (3) 3 解:∠P= ∠A; 4 理由:∵BD为 ABC的角平分线,CD为 ABC外角∠ACF的平分线, 1 △ 1 △ ∴∠ABD= ∠ABC,∠ACD= ∠ACF, 2 2 又∵BP平分∠ABD,CP平分∠ACD, 1 1 1 1 ∴∠ABP= ∠ABD= ∠ABC,∠ACP= ∠ACD= ∠ACF, 2 4 2 4 3 3 ∴∠PBC= ∠ABC,∠PCF= ∠ACF, 4 4 3 3 ∴∠P=∠PCF-∠PBC= (∠ACF-∠ABC)= ∠A, 4 4 3 故答案为:∠P= ∠A. 4 【点睛】此题考查了角平分线的定义,三角形内角和定理以及三角形外角的性质的综合运用,解此题的关 键是掌握三角形的内角和是180°,三角形的一个外角等于与它不相邻的两个内角和.23.(9分)(2024·辽宁鞍山·八年级期中)四边形ABCD中,∠BAD的平分线与边BC交于点E; ∠ADC的平分线交直线AE于点O. (1)若点O在四边形ABCD的内部. ①如图1,若AD∥BC,∠B=50°,∠C=70°,则∠DOE=______. ②如图2,试探索∠B、∠C、∠DOE之间的数量关系,并将你的探索过程写下来. (2)如图3,若点O在四边形ABCD的外部,请探究∠B、∠C、∠DOE之间的数量关系,并说明理由. 1 1 1 1 【答案】(1)120°;(2)∠DOE=180°- ∠B- ∠C;(3)∠DOE= ∠B+ ∠C 2 2 2 2 【分析】(1)①根据平行线的性质和角平分线的定义可求∠BAE,∠CDO,再根据三角形外角的性质可 求∠AEC,再根据四边形内角和等于360°可求∠DOE的度数; ②根据三角形外角的性质和角平分线的定义可得∠DOE和∠BAD、∠ADC的关系,再根据四边形内角和等 于360°可求∠B、∠C、∠DOE之间的数量关系; (2)根据四边形和三角形的内角和得到∠BAD+∠ADC=360°-∠B-∠C,∠EAD+∠ADO=180°-∠DOE,根据角 平分线的定义得到∠BAD=2∠EAD,∠ADC=2∠ADO,于是得到结论. 【详解】解:(1)①∵AD//BC ∴∠B+∠BAD=180∘,∠C+∠ADC=180∘ 又∵∠B=50°,∠C=70° ∴∠BAD=130°,∠ADC=110° ∵AE、DO分别平分∠BAD、∠ADC ∴∠BAE=65°,∠ODC=55° ∴∠AEC=115° ∴∠DOE=360°-115°-70°-55°=120° 故答案为:120° 1 1 ②∠DOE=180°- ∠B- ∠C,理由如下: 2 2 ∵AE平分∠BAD1 ∴∠DAE= ∠BAD 2 ∵DO平分∠ADC 1 ∵∠ADO= ADC 2 1 1 1 ∴∠DAE+∠ADO = ∠BAD+ ADC = (∠BAD+∠ADC) 2 2 2 ∵∠B+∠C+∠BAD+∠ADC=360° ∴∠BAD+∠ADC=360°-∠B-∠C 1 1 1 ∴∠DAE+∠ADO = (360°-∠B-∠C) =180°- ∠B- ∠C 2 2 2 1 1 ∴∠AOD=180°-(∠DAE+∠ADO) = ∠B+ ∠C 2 2 1 1 ∴∠DOE=180°-∠AOD =180°- ∠B- ∠C 2 2 1 1 即∠DOE=180°- ∠B- ∠C 2 2 1 1 (2)∠DOE= ∠B+ ∠C,理由如下: 2 2 ∵AE平分∠BAD 1 ∴∠DAE= ∠BAD 2 ∵DO平分∠ADC 1 ∵∠ADO= ADC 2 1 1 ∴∠DAE+∠ADO = ∠BAD+ ADC 2 2 1 = (∠BAD+∠ADC) 2 ∵∠B+∠C+∠BAD+∠ADC=360° ∴∠BAD+∠ADC=360°-∠B-∠C 1 ∴∠DAE+∠ADO = (360°-∠B-∠C) 2 1 1 =180°- ∠B- ∠C 2 2∴∠AOD=180°-(∠DAE+∠ADO) 1 1 = ∠B+ ∠C 2 2 1 1 即:∠DOE= ∠B+ ∠C. 2 2 【点睛】本题考查多边形内角与外角平行线的性质,角平分线的定义,关键是熟练掌握四边形内角和等于 360°,这是解题的重点. 24.(10分)(2024·重庆市教科院巴蜀实验学校七年级期中)如图所示,在Rt△ABC中,∠C=90°,点 D是线段CA延长线上一点,且AD=AB.点F是线段AB上一点,连接DF,以DF为斜边作等腰 Rt△DFE.连接EA,且EA⊥AB. (1)若∠AEF=20°,∠ADE=50°,则∠ABC= °; (2)过D点作DG⊥AE,垂足为G. ①填空:△DEG≌△ ; ②求证:AE=AF+BC; (3)如图2,若点F是线段BA延长线上一点,其他条件不变,请写出线段AE,AF,BC之间的数量关系, 并简要说明理由. 【答案】(1)60° (2)①EFA;②见解析 (3)AE=AF+BC,理由见解析 【分析】(1)在等腰直角三角形DEF中,∠DEF=90°,求得∠1=20°,根据余角的定义得到∠2=∠DEF- ∠1=70°,根据三角形的内角和得到∠3=60°,∠4=30°,然后根据三角形内角和定理即可解答; (2)①如图1,过D作DG⊥AE于G,在△DEG中,由余角的定义得到∠2+∠5=90°,由于∠2+∠1=90°, 推出∠1=∠5证得△DEG≌△EFA;根据△DEG≌△EFA 可得AF=EG,根据三角形的内角和和余角的定义得到 ∠3=∠B,推出△DAG≌△ABC,根据全等三角形的性质得到BC=AG,即可得到结论; (3)如图2,过D作DM⊥AE交AE的延长线于M根据余角的定义和三角形的内角和得到∠2=∠B,证得 △ADM≌△BAC,由全等三角形的性质得到BC=AM,由于EF=DE,∠DEF=90°,推出∠4=∠5,证得△MED≌△AFE,根据全等三角形的性质得到ME=AF,即可得到结论. (1) 解:如图1:在等腰直角三角形DEF中,∠DEF=90°, ∵∠1=20°, ∴∠2=∠DEF-∠1=70°, ∵∠EDA+∠2+∠3=180°,∠ADE=50° ∴∠3=60°, ∵EA⊥AB, ∴∠EAB=90°, ∵∠3+∠EAB+∠4=180°, ∴∠4=30°, ∵∠C=90°, ∴∠ABC=∠C-∠4=60°. (2) 解:①如图1,过D作DG⊥AE于G, 在△DEG中,∠2+∠5=90°, ∵∠2+∠1=90°, ∴∠1=∠5, ∵DE=FE, 在△DEG与△EFA中, ¿, ∴△DEG≌△EFA, 故答案是:EFA;②∵△DEG≌△EFA, ∴AF=EG, ∵∠4+∠B=90°, ∵∠3+∠EAB+∠4=180°, ∴∠3+∠4=90°, ∴∠3=∠B, 在△DAG与△ABC中, ¿, ∴△DAG≌△ABC, ∴BC=AG, ∴AE=EG+AG=AF+BC. (3) 解:AE+AF=BC,理由如下: 如图2,过D作DM⊥AE交AE的延长线于M, ∵∠C=90°, ∴∠1+∠B=90°, ∵∠2+∠MAB+∠1=180°,∠MAB=90°, ∴∠2+∠1=90°,∠2=∠B, 在△ADM与△BAC中, ¿, ∴△ADM≌△BAC,∴BC=AM, ∵EF=DE,∠DEF=90°, ∵∠3+∠DEF+∠4=180°, ∴∠3+∠4=90°, ∵∠3+∠5=90°, ∴∠4=∠5, 在△MED与△AFE中, ¿, ∴△MED≌△AFE, ∴ME=AF, ∴AE+AF=AE+ME=AM=BC,即AE+AF=BC. 【点睛】本题考查了全等三角形的判定和性质、等腰直角三角形的性质、三角形内角和定理以及同角的余 角相等,正确的作出辅助线构造全等三角形是解答本题的关键. 25.(10分)(2024·广东·珠海市紫荆中学八年级期中)等腰直角三角形△ABC和等边三角形△ACD位置 在平面直角坐标系中如图所示,A点在y轴,B点在x轴上且AB = BC,∠ABC = 90°. (1)若点A的坐标为(0,5),B的为(2,0),C点坐标为 _________ . (2)过D作DE垂直y轴于E,连接OD、OC若∠EDO = 60°,求证:△OCD是等腰三角形; (3)在(2)的条件下,判定线段AO和BO的数量关系并证明你的结论. 【答案】(1)(7,2) (2)见解析 1 (3)BO= AO,证明见解析 2 【分析】(1)过点C作CG⊥x轴于点G,证明△AOB≌△BGC即可得出结论; (2)过点C作CN⊥OD于N,证明△EDA≌△NDC,得出ED=ND,然后根据30°所对的直角边等腰 斜边的一半可得CN垂直平分OD,结果可得;(3)结合(1)(2)中结论即可得到结果. (1) 解:过点C作CG⊥x轴于点G, ∵∠ABC=90°, ∴∠ABO+∠CBG=90°, ∵∠ABO+∠OAB=90°, ∴∠OAB=∠GBC, 在△AOB和△BGC中, ¿, ∴△AOB≌△BGC(AAS), ∴OA=BG,OB=GC, ∵点A的坐标为(0,5),B的为(2,0), ∴OA=GB=5,OB=GC=2, ∴C(7,2), 故答案为:(7,2); (2) 过点C作CN⊥OD于N, ∵△ACD为等边三角形, ∴∠ADC=60°,AD=DC, ∵∠EDO=60°,∴∠EDO-∠ADO=∠ADC-∠ADO,即∠EDA=∠NDC, 在△EDA和△NDC中, ¿, ∴△EDA≌△NDC(AAS), ∴ED=ND, ∵∠EOD=30°,∠OED=90°, ∴OD=2ED=2ND=ND+ON, ∴ON=ND, ∴CN垂直平分OD, ∴CO=CD, 即△OCD是等腰三角形; (3) 过点C作CH⊥y,CG⊥x,垂足分别为H,G, , 由(2)得OC=CD=CA, ∴H是OA的中点,OH⊥OA, ∵CG⊥x轴, ∴CG=OH 由(1)得△OAB≌△GBC, ∴OB=CG, ∵CG=OH, 1 ∴OB= OA. 2 【点睛】本题考查了全等三角形的判定与性质,等边三角形的性质,等腰三角形的判定,垂直平分线的性 质以及30°所对的直角边等于斜边的一半,平行线间的距离相等,熟练掌握相关性质定理是解本题的关键.