文档
办公文件
生活文档
学习资料
当前位置:
首页
>
文档
>预测卷冲刺2023年高考数学(新高考专用)(解析版)_2.2025数学总复习_2023年新高考资料_专项复习_冲刺2023年高考数学大题突破(新高考专用)
预测卷冲刺2023年高考数学(新高考专用)(解析版)_2.2025数学总复习_2023年新高考资料_专项复习_冲刺2023年高考数学大题突破(新高考专用)
2026-04-02 05:06:44
2026-03-29 05:16:27
文档预览
文档信息
文档格式
docx
文档大小
1.611 MB
文档页数
24 页
上传时间
2026-03-29 05:16:27
下载文档
文档内容
绝密★考试结束前 2023 年新高考数学预测试卷 全卷满分150分,考试用时120分钟。 注意事项: 1.答卷前,考生务必将自己的姓名、考生号等填写在答题卡和试卷指定位置上。 2.回答选择题时,选出每小题答案后,用铅笔把答题卡对应题目的答案标号涂黑。如 需改动,用橡皮擦干净后,再选涂其他答案标号。回答非选择题时,将答案写在答题卡上 写在本试卷上无效。 3.考试结束后,将本试卷和答题卡一并交回。 一、选择题:本题共12小题,每小题5分,共60分。在每小题给出的四个选项中,只有 一项是符合题目 1.设集合 , ,则 ( ) A. B. C. D. 【答案】D 【详解】由 得 , 则 ,又由 得 . 所以 ,而 .从而 .故选:D. 2.已知 是虚数单位,复数 ( ) A. B. C. D. 【答案】C 【分析】由复数的乘法法则计算.【详解】 .故选:C. 3.在等差数列{an}中,7a+5a=0,且a
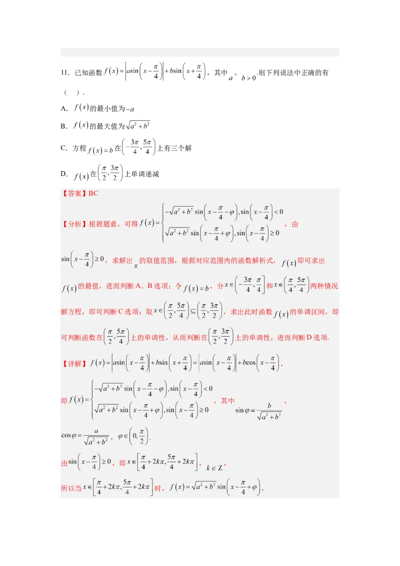
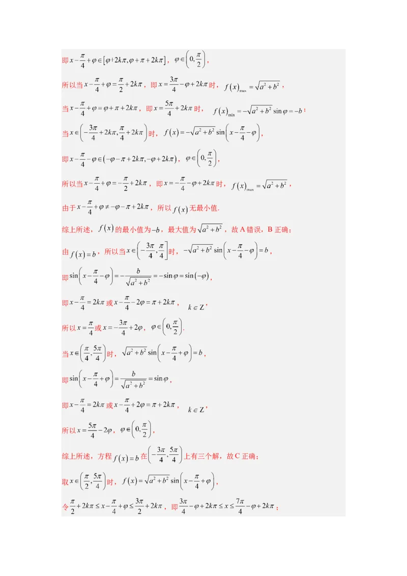
0,且 , ∴ ,∵ ,∴当n=6时,Sn取到最小值.选B. 4.已知a=(1,1),b=(-1,2),c=(5,-1),则c可用a与b表示为 ( ) A.a+b B.2a+3b C.3a-2b D.2a-3b 【答案】C 【分析】根据平面向量的坐标运算分别计算选项,验证是否等于 . 【详解】因为a=(1,1),b=(-1,2),c=(5,-1), 所以a+b=(0,3)≠c, 2a+3b=2(1,1)+3(-1,2)=(-1,8)≠c, 3a-2b=3(1,1)-2(-1,2)=(5,-1)=c,2a-3b=2(1,1)-3(-1,2)=(5,-4)≠c. 故选C. 5.六位同学站成一排照相,若要求同学甲站在同学乙的左边,则不同的站法有 A. 种 B. 种 C. 种 D. 种 【答案】C【详解】甲在左边第一位,有 ; 甲在左边第二位,有 ; 甲在左边第三位,有 ; 甲在左边第四位,有 甲在左边第五位,有 ; 不同的站法有 种,选C. 6.已知 都是锐角, ,则 ( ) A. B. C. D. 【答案】C 所以 , 又 , , 所以 , , 所以 , , , 故选:C.7.已知函数 是奇函数, ,且 与 图象的交点为 , ,……, ,则 ( ) A.0 B. C. D. 【答案】C 【详解】令 ,则 ,则 , 即 ,故函数 的图象关于 对称,又∵ 关于 对称,∴两个函数图象的交点都关于 对称,设关于 对称的两个点的纵坐标 分别为 , ,则 ,即 .故选:C 8. , , , ,a,b,c,d间的大小关系为( ). A. B. C. D. 【答案】B 【详解】令 ,则 , 所以 在 上单调递增,故 ,即 , 所以 ,则 ,即 ,故 ; 因为 , 所以其展开通项公式为 , 故 , , , 所以 , 令 ,则 , 所以 在 上单调递增,则 ,即 , 所以 ,故 ,即 ; 令 ,则 , 因为 ,所以 ,则 ,故 ,所以 在 上单调递增,则 ,即 , 易知 ,所以 ,则 ,即 ; 综上: .故选:B. 二、多选题:本题共4小题,每小题5分,共20分。每道题目至少有一个正确选项啊,漏 选或者是少选得2分,不选或者是选错不得分) 9.工厂生产某零件,其尺寸 服从正态分布 (单位:cm).其中k由零件的 材料决定,且 .当零件尺寸大于10.3cm或小于9.7cm时认为该零件不合格;零件尺寸 大于9.9cm且小于10.1cm时认为该零件为优质零件;其余则认为是普通零件.已知当随机变 量 时, , , ,则下列说法中正确的有( ). A. 越大,预计生产出的优质品零件与不合格零件的概率之比越小 B. 越大,预计生产出普通零件的概率越大 C.若 ,则生产200个零件约有9个零件不合格 D.若生产出优质零件、普通零件与不合格零件盈利分别为 , , ,则当 时, 每生产1000个零件预计盈利 【答案】AC 【详解】依题意,得 ,则 , , 对于A,当 变大时, 变大,则零件尺寸 的正态分布曲线越扁平, 所以预计生产出的优质品零件的概率越小,不合格零件的概率越大,则其比例越小,故A 正确;对于B,由选项A可知,预计生产出普通零件的概率越小,故B错误; 对于C,当 时, , 则 ,而 , 所以预计生产出的不合格零件的概率为 , 故生产200个零件约有不合格零件的个数为 ,故C正确; 对于D,当 时, , 则 , , , 所以预计生产出优质零件的概率为 ,不合格零件的概率为 ,普通零件的概率为 ,故每生产1000个零件预计盈利 ,故D 错误.故选:AC. 10.已知椭圆C: , 上有三点 、 、 , 、 分别为其左、右 焦点.则下列说法中正确的有( ). A.若线段 、 、 的长度构成等差数列,则点 、 、 的横坐标一定构成等差 数列. B.若直线 与直线 斜率之积为 ,则直线 过坐标原点. C.若 的重心在 轴上,则 D. 面积的最大值为 【答案】ABC 【详解】结论1:若 为椭圆 上的的动点, 为其左焦点,则 .证明: , 因为 ,故 ,故 . 结论2:若 ,则 . 证明:因为 , 故 ,当且仅当 时等号成立, 同理 ,当且仅当 时等号成立, 所以 ,当且仅当 时等号成立, 所以 ,当且仅当 时等号成立. 由结论2可得 ,当且仅当 时等号成立. 对于A、C,设 ,则由结论1可得: ,因为 ,故 , 整理得到: ,故A正确.因为 的重心在 轴上,故 , 故 ,故C正确. 对于B,设 关于原点的对称点为 ,则 , 故 ( ,否则 ,这与题设矛盾), 故 , 但 所以 , 所以 ,而 ,故 , 因 均在椭圆上,故 重合即直线 过坐标原点,故B正确. 我们先证明一个命题 命题:设 为椭圆 上的点,直线 与椭圆交于不同的两点 ,则 面积的最大值为 . 证明:当直线 的斜率不存在时,设直线 , , 则 的面积 , 若 ,则 , 因为 ,,故 ,即 , 当且仅当 , 时等号成立,故此时 . 同理可证:当 时, . 过当直线 的斜率存在,可设 , 由 可得 ,故 ,故 , 而 , 又 到 的距离为 ,故 的面积为: 对于给定的 ,先考虑 的最大值, 设 ,则 ,其中 , 若 ,则 的最大值为 , 此时 设 ,则 ,故 , 由结论2可得: ,当且仅当 时等号成立, 故 的最大值为 , 故 , 若 ,则 的最大值为 ,同理可得 , 综上, 面积的最大值为 . 对于D,考虑 为椭圆上的点,直线 为直线 , 由前述命题可得: 面积的最大值为 ,故D错误. 故选:ABC.11.已知函数 ,其中 、 .则下列说法中正确的有 ( ). A. 的最小值为 B. 的最大值为 C.方程 在 上有三个解 D. 在 上单调递减 【答案】BC 【分析】根据题意,可得 ,由 ,求解出 的取值范围,根据对应范围内的函数解析式, 即可求出 的最值,进而判断A、B选项;令 ,分 和 两种情况 解方程,即可判断C选项;取 ,求出此时函数 的单调区间,即 可判断函数在 上的单调性,从而判断在 上的单调性,进而判断D选项. 【详解】 , 即 ,其中 , , . 由 ,即 , , 所以当 时, ,即 , , 所以当 ,即 时, , 当 ,即 时, ; 当 时, , 即 , , 所以当 ,即 时, , 由于 ,所以 无最小值. 综上所述, 的最小值为 ,最大值为 ,故A错误,B正确; 由 ,所以当 时, , 即 , 即 或 , , 所以 或 , . 当 时, , 即 , 即 或 , , 所以 , , 综上所述,方程 在 上有三个解,故C正确; 取 时, , 令 ,即 ;令 ,即 ; 由于 ,所以当 时,函数 在 上单调递增,在 上单调递减,即函数 在 上有增有减,则 在 上有增 有减,故D错误. 故选:BC. 12.直线 、 为曲线 与 的两条公切线. 从左往右依次交 与 于A点、B 点; 从左往右依次交 与 于C点、D点,且A点位于C点左侧,D点位于B点左侧. 设坐标原点为O, 与 交于点P.则下列说法中正确的有( ). A. B. C. D. 【答案】CD 【详解】由题意,画出大致图像如图, 设 与 , 为直线 , 为直线 , 且 和 是一对反函数,图像关于直线 对称, 则点 关于直线 对称,点 关于直线 对称,点 在直线 上, 设 的切点为 , 的切点为 , 由 , ,得 的切线方程为 , 的切线方程为 ,当两函数的切线方程重合时,即为公切线, 则 ,将 代入下式得 ,将 和 的图像在同一坐标系中画出如图, 设方程 的其中一个解为 ,则 ,由 ,可得 , 又因 ,则方程 的另一个解为 , 因此 点坐标为 , 点坐标为 , 点坐标为 , 点坐标为 . 因为 与 关于直线 对称,所以 ,选项 错误; 由点 在直线 上可得 , 设点 坐标为 ,则 ,解得 , 设 , , 设 , , 则 在 上单调递减, 由 , , 可得 在 上的函数值为先正后负, 即 在 上的值为先正后负, 则 在 上的单调性为先增后减,又 , ,且,则 ,即 , 所以 ,选项B错误;分别连接 , ,如图, 由 , , 得 ,选 项C正确;分别连接 , ,如图, 得 第三象限夹角,即 ,选项D正确. 故选:CD. 三、填空题:本题共4小题,每小题5分,共20分。 13.写出曲线 过点 的一条切线方程__________. 【答案】 或 (写出其中的一个答案即可) 解:因为点 在曲线 上,所以曲线 在点 处的切线方程符合题 意.因为 ,所以 , 所以曲线 在点 处的切线方程为 ,即 . 因为当 或 时, ;当 时, , 所以函数 在 处取得极大值 ,又极大值恰好等于点 的纵坐标,所以直线 也符合题意.故答案为: 或 (写出其中的一个答案即可) 14.已知椭圆 ,直线 交 于 两点,点 ,则 的周长为__________. 【答案】 【详解】解:由题知 , 所以椭圆 的焦点坐标为 所以,由 得 , 所以, 为等边三角形,且 因为,当 时,解方程 得 , 所以,直线 过点 ,且倾斜角为 ,即 , 所以,直线 为 为等边三角形中角 的角平分线, 所以,直线 为边 的中垂线, 所以 , 因为 所以, 的周长为 , 故答案为: 15.若对于任意的x, .不等式 恒成立,则b的取值范围为______.【答案】 由 ,得 ,设 ,则 , 令 ,得 , 在 上单调递减,在 上单调递增,所以 的最小值为 ,即 ,所以 ,所以 , 即 ,令 ,则 ,令 , 得 , 在 上单调递增,在 上单调递减,则当 时, 取最大 值为 ,所以b的取值范围为 .故答案为: . 16.底边和腰长之比为 的等腰三角形被称为“黄金三角形”,四个面都为“黄金三 角形”的四面体被称为“黄金四面体”.“黄金四面体”的外接球与内切球表面积之比为 ______. 【答案】 【详解】如图,设四面体 为“黄金四面体”, 且 , 得 ,又因四个面都为“黄金三角形”,则 . 注意到四面体 对棱相等,则将其补形为如图所示长方体 ,则该 长方体外接球与该四面体外接球重合. 设 ,则长方体外接球半径 为长方体体对角线长度的一半,有 ,又注意到: , 得 ,又 ,得 . 注意到 ,, 则 . 又在 中, ,取 中点为E, 则 ,故 ,又由前面分析可知四面体 的四个面全 等,则四面体 的表面积 . 设四面体 的内切球半径为 ,则 , 得 . 注意到 ,则 , 又 ,得 ,又 , 则 .则“黄金四面体”的外接球与内切球表面积之 比为: , 代入 ,得比值为: .故答案为:三、解答题:共70分。解答应写出文字说明、证明过程或演算步骤。 17(10分).已知等比数列 的前 项和为 ,且 . (1)求 与 ; (2)记 ,求数列 的前 项和 . 【答案】(1) , ;(2) . 【详解】(1)由 ,得 , 当 时, ,得 ; 当 时, ,得 , 所以数列 是以1为首项,2为公比的等比数列, 所以 .所以 . (2)由(1)可得 , 则 , , 两式相减得 , 所以 . 18(12分).在① ,② ,③ , .这三个条件中任进一个,补充在下面问题中并作答. 已知 中,内角 所对的边分别为 ,且________. (1)求 的值; (2)若 ,求 的周长与面积. 【答案】(1) (2)周长为11,面积为 【详解】(1)若选①:由正弦定理得 ,故 ,而在 中, , 故 ,又 ,所以 ,则 , 则 ,故 . 若选②:由 ,化简得 ,代入 中,整 理得 ,即 , 因为 ,所以 ,所以 , 则 ,故 . 若选③:因为 , 所以 ,即 ,则 . 因为 ,所以 , 则 ,故 . (2)因为 ,且 , 所以 .由(1)得 ,则 ,由正弦定理得 ,则 .故 的周长为 , 的面积为 . 19(12分).由中央电视台综合频道(CCTV-1)和唯众传媒联合制作的《开讲啦》是中 国首档青年电视公开课.每期节目由一位知名人士讲述自己的故事,分享他们对于生活 和生命的感悟,给予中国青年现实的讨论和心灵的滋养,讨论青年们的人生问题,同时 也在讨论青春中国的社会问题,受到了青年观众的喜爱.为了了解观众对节目的喜爱程 度,电视台随机调查了A,B两个地区的100名观众,得到如下所示的2×2列联表. 已知在被调查的100名观众中随机抽取1名,该观众来自B地区且喜爱程度为“非常喜 欢”的概率为0.35. (1)现从100名观众中根据喜爱程度用层抽样的方法抽取20名进行问卷调查,则应抽取喜 爱程度为“非常喜欢”的A,B地区的人数各是多少?(2)完成上述表格,并根据表格判断是否有95%的把握认为观众的喜爱程度与所在地区有 关系. (3)若以抽样调查的频率为概率,从A地区随机抽取3人,设抽到喜爱程度为“非常喜 欢”的观众的人数为X,求X的分布列和期望. 非常喜 附: , 喜欢 合计 欢 , A 30 15 0.05 0.010 0.001 B x y 3. 合计 6.635 10.828 841 【答案】(1)从A地抽取6人,从B地抽取7人. (2)没有95%的把握认为观众的喜爱程度与所在地区有关系.(3)分布列见解析,期望为2. 【详解】(1)由题意得 ,解得 , 所以应从A地抽取 (人),从B地抽取 (人). (2)完成表格如下: 非常喜 喜欢 合计 欢 零假设为 :观众的喜爱程度与所在地区无关. A 30 15 45 , B 35 20 55 所以没有95%的把握认为观众的喜爱程度与所在地区 合计 65 35 100 有关系. (3)从A地区随机抽取1人,抽到的观众的喜爱程度为“非常喜欢”的概率为 , 从A地区随机抽取3人,则 ,X的所有可能取值为0,1,2,3, 则 , , , . X 0 1 2 3所以X的分布列为 P 方法1: . 方法2: . 20 (12分).在三棱锥ABCD中,已知平面ABD⊥平面BCD,且 , , ,BC⊥AC. (1)求证:BC⊥平面ACD; (2)若E为△ABC的重心, ,求平面CDE与平面ABD所成锐二面角的正弦值. 【答案】(1)证明见解析(2) (1)证明:因为 , , ,所以 , 所以AD⊥BD, 又因为平面ABD⊥平面BCD, 平面 平面BCD=BD,因为 平面ABD, 所以AD⊥平面BCD,因为 平面BCD, 所以AD⊥BC,又因为BC⊥AC, , 所以BC⊥平面ACD. (2)解:因为BC⊥平面ACD, 平面ACD,所以BC⊥CD, 因为 , ,所以 , , 以D为坐标原点,直线DB,DA分别为x,z轴,在平面BCD内过点D与BD垂直的直 线为y轴建立空间直角坐标系,所以 , , , ,所以 ,所以 , , 平面ABD的一个法向量为 , 设平面CDE的一个法向量为 ,所以 , 取 , ,则 ,所以 , 设平面CDE与平面ABD所成的锐二面角为θ, 所以 ,所以 , 即平面CDE与平面ABD所成锐二面角的正弦值为 . 21(12分).已知双曲线 的左、右焦点分别为 ,斜率为 的 直线l与双曲线C交于 两点,点 在双曲线C上,且 . (1)求 的面积; (2)若 (O为坐标原点),点 ,记直线 的斜率分别为 ,问: 是否为定值?若是,求出该定值;若不是,请说明理由. 【答案】(1) (2) 为定值 .· 【详解】(1)依题意可知, , 则 , , 又 ,所以 ,解得 ( 舍去), 又 ,所以 ,则 , 所以 的面积 . (2)由(1)可 ,解得 ,所以双曲线C的方程为 , 设 ,则 ,则 , , 设直线l的方程为 ,与双曲线C的方程联立,消去y得: , 由 ,得 , 由一元二次方程根与系数的关系得 , 所以 , , 则 ,故 为定值 22(12分).已知函数 .(注: …是自然对数的底 数) (1)当 时,求曲线 在点 处的切线方程; (2)若 只有一个极值点,求实数m的取值范围; (3)若存在 ,对与任意的 ,使得 恒成立,求 的最小值. 【答案】(1) (2) (3) 【详解】(1)(1)当 时, , 故 , 故在点 处的切线方程为 ; (2)解:由题意知 有且只有一个根且 有正有负, 构建 ,则 . ①当 时, 当 时恒成立, 在 上单调递增,因为 , 所以 有一个零点,即为 的一个极值点; ②当 时, 在 上恒成立,即 无极值点; ③当 时,当 ;当 , 所以 在 单调递减,在 上单调递增, 故 , 若 ,则 ,即 . 因为 ,所以当 时, , 当 时, , 令 ,则 ,故 , 故 在 上为增函数. 故 , 故 , 故当 时, 有两个零点,此时 有两个极值点, 当 时, 当 时恒成立,即 无极值点; 综上所述: . (3)解:由题意知,对于任意的 ,使得 恒成立, 则当 取最大值时, 取到最小值. 当 时,因为 ,故当 时, 的最小值为 ; 当 时,当 时, , 所以 无最小值,即 无最小值; 当 时,由(2)得 只有一个零点 ,即 且 , 当 时, ,当 时, , 所以 在 上单调递减,在 上单调递增, , 此时 ,因为 ,所以 , 代入得 , 令 , 当 时, ,当 时, , 所以 在 上单调递减,在 上单调递增, ,此时 , 所以 的最小值为 .
本文档来自网络内容,如有侵犯您的权益请联系我们删除,联系邮箱:wyl860211@qq.com。
上一篇
第17讲电解池金属的腐蚀与防护(讲)-2023年高考化学一轮复习讲练测(原卷版)_05高考化学_新高考复习资料_2023年新高考资料_一轮复习
下一篇
驻马店市2022-2023学年度高三年级期末统一考试数学参考答案(文科)_2.2025数学总复习_数学高考模拟题_2023年模拟题_老高考_河南省驻马店市2022-2023学年高三上学期1月期末数学
最新文档
四川省丰裕中学2012–2013学年度上学期九年级期中考试化学试卷及答案_初中化学_01.人教版初中化学_01.初中化学课件PPT--教案--试题_初中化学全套_化学试题
四川泸州市2018年中考化学试题(word版含解析)_初中化学_01.人教版初中化学_06.初中化学中考真题
四川成都市2018年中考化学试题(word版含解析)_初中化学_01.人教版初中化学_06.初中化学中考真题
四川德阳市2018年中考化学试题(word版含解析)_初中化学_01.人教版初中化学_06.初中化学中考真题
四川南充市2018年中考化学试题(word版含解析)_初中化学_01.人教版初中化学_06.初中化学中考真题
同步测试2_初中化学_01.人教版初中化学_01.初中化学课件PPT--教案--试题_初中化学全套(课件--教案--配套)_18年初中化学9年级下_18春九化下(RJ)--4.备课素材(1)_2.第九单元溶液
同步测试1_初中化学_01.人教版初中化学_01.初中化学课件PPT--教案--试题_初中化学全套(课件--教案--配套)_18年初中化学9年级下_18春九化下(RJ)--4.备课素材(1)_2.第九单元溶液
同步测控优化训练(课题3 金属资源的回收和防护)_初中化学_01.人教版初中化学_01.初中化学课件PPT--教案--试题_初中化学18年试卷_人教版九年级化学下册2018
同步测控优化训练(课题3 溶质的质量分数)_初中化学_01.人教版初中化学_01.初中化学课件PPT--教案--试题_初中化学18年试卷_人教版九年级化学下册2018
同步测控优化训练(课题3 有机合成材料)_初中化学_01.人教版初中化学_01.初中化学课件PPT--教案--试题_初中化学18年试卷_人教版九年级化学下册2018
热门文档
同步测控优化训练(课题2 金属的化学性质)_初中化学_01.人教版初中化学_01.初中化学课件PPT--教案--试题_初中化学18年试卷_人教版九年级化学下册2018
同步测控优化训练(课题2 酸和碱之间会发生什么反应)_初中化学_01.人教版初中化学_01.初中化学课件PPT--教案--试题_初中化学18年试卷_人教版九年级化学下册2018
同步测控优化训练(课题2 溶解度)_初中化学_01.人教版初中化学_01.初中化学课件PPT--教案--试题_初中化学18年试卷_人教版九年级化学下册2018
同步测控优化训练(课题2 化学肥料)_初中化学_01.人教版初中化学_01.初中化学课件PPT--教案--试题_初中化学18年试卷_人教版九年级化学下册2018
同步测控优化训练(课题2 化学元素与人体健康)_初中化学_01.人教版初中化学_01.初中化学课件PPT--教案--试题_初中化学18年试卷_人教版九年级化学下册2018
同步测控优化训练(课题1金属材料)_初中化学_01.人教版初中化学_01.初中化学课件PPT--教案--试题_初中化学18年试卷_人教版九年级化学下册2018
同步测控优化训练(课题1生活中常见的盐)_初中化学_01.人教版初中化学_01.初中化学课件PPT--教案--试题_初中化学18年试卷_人教版九年级化学下册2018
同步测控优化训练(课题1人类重要的营养物质)_初中化学_01.人教版初中化学_01.初中化学课件PPT--教案--试题_初中化学18年试卷_人教版九年级化学下册2018
同步测控优化训练(课题1 溶液的形成)_初中化学_01.人教版初中化学_01.初中化学课件PPT--教案--试题_初中化学18年试卷_人教版九年级化学下册2018
同步测控优化训练(课题1 常见的酸和盐)_初中化学_01.人教版初中化学_01.初中化学课件PPT--教案--试题_初中化学18年试卷_人教版九年级化学下册2018
随机文档
吉林省吉林市吉化九中2018届九年级(上)期末化学试卷(解析版)_初中化学_01.人教版初中化学_01.初中化学课件PPT--教案--试题_初中化学18年试卷_人教版九年级化学上册2018
吉林省2018年中考化学试题(word版,含答案)_初中化学_01.人教版初中化学_06.初中化学中考真题
古代宝刀的秘密_初中化学_01.人教版初中化学_01.初中化学课件PPT--教案--试题_初中化学全套(课件--教案--配套)_18年初中化学9年级上_18秋九化上(RJ)--4.备课素材
南京市秦淮、下关、浦口、沿区四区2012-2013学年度第一学期期末学情分析九年级化学试卷_初中化学_01.人教版初中化学_01.初中化学课件PPT--教案--试题_初中化学全套_化学试题
南京市玄武区2012-2013学年度第一学期期末学情调研初三化学试卷_初中化学_01.人教版初中化学_01.初中化学课件PPT--教案--试题_初中化学全套_化学试题
单元综合测试:第9单元溶液_初中化学_01.人教版初中化学_01.初中化学课件PPT--教案--试题_初中化学全套_化学试题_化学:人教版九年级下册各单元测试题及答案(58份)
单元综合测试:第8单元金属和金属材料_初中化学_01.人教版初中化学_01.初中化学课件PPT--教案--试题_初中化学全套_化学试题_化学:人教版九年级下册各单元测试题及答案(58份)
单元综合测试:第12单元化学与生活_初中化学_01.人教版初中化学_01.初中化学课件PPT--教案--试题_初中化学全套_化学试题_化学:人教版九年级下册各单元测试题及答案(58份)
单元综合测试:第11单元盐、化肥_初中化学_01.人教版初中化学_01.初中化学课件PPT--教案--试题_初中化学全套_化学试题_化学:人教版九年级下册各单元测试题及答案(58份)
第二章化学反应速率与化学平衡章末检测题(能力提升卷)_高化_595801221724高中化学新人教版选择性必修一二三电子版教案PPT课件高中试卷_选择性必修1册(人教版)_单元测试