当前位置:首页>文档>黄金卷08-赢在高考·黄金8卷备战2024年高考数学模拟卷(新高考I卷专用)(参考答案)_2.2025数学总复习_2024年新高考资料_4.2024高考模拟预测试卷

黄金卷08-赢在高考·黄金8卷备战2024年高考数学模拟卷(新高考I卷专用)(参考答案)_2.2025数学总复习_2024年新高考资料_4.2024高考模拟预测试卷

  • 2026-04-12 08:25:01 2026-03-29 07:16:29

文档预览

黄金卷08-赢在高考·黄金8卷备战2024年高考数学模拟卷(新高考I卷专用)(参考答案)_2.2025数学总复习_2024年新高考资料_4.2024高考模拟预测试卷
黄金卷08-赢在高考·黄金8卷备战2024年高考数学模拟卷(新高考I卷专用)(参考答案)_2.2025数学总复习_2024年新高考资料_4.2024高考模拟预测试卷
黄金卷08-赢在高考·黄金8卷备战2024年高考数学模拟卷(新高考I卷专用)(参考答案)_2.2025数学总复习_2024年新高考资料_4.2024高考模拟预测试卷
黄金卷08-赢在高考·黄金8卷备战2024年高考数学模拟卷(新高考I卷专用)(参考答案)_2.2025数学总复习_2024年新高考资料_4.2024高考模拟预测试卷
黄金卷08-赢在高考·黄金8卷备战2024年高考数学模拟卷(新高考I卷专用)(参考答案)_2.2025数学总复习_2024年新高考资料_4.2024高考模拟预测试卷
黄金卷08-赢在高考·黄金8卷备战2024年高考数学模拟卷(新高考I卷专用)(参考答案)_2.2025数学总复习_2024年新高考资料_4.2024高考模拟预测试卷
黄金卷08-赢在高考·黄金8卷备战2024年高考数学模拟卷(新高考I卷专用)(参考答案)_2.2025数学总复习_2024年新高考资料_4.2024高考模拟预测试卷
黄金卷08-赢在高考·黄金8卷备战2024年高考数学模拟卷(新高考I卷专用)(参考答案)_2.2025数学总复习_2024年新高考资料_4.2024高考模拟预测试卷
黄金卷08-赢在高考·黄金8卷备战2024年高考数学模拟卷(新高考I卷专用)(参考答案)_2.2025数学总复习_2024年新高考资料_4.2024高考模拟预测试卷
黄金卷08-赢在高考·黄金8卷备战2024年高考数学模拟卷(新高考I卷专用)(参考答案)_2.2025数学总复习_2024年新高考资料_4.2024高考模拟预测试卷
黄金卷08-赢在高考·黄金8卷备战2024年高考数学模拟卷(新高考I卷专用)(参考答案)_2.2025数学总复习_2024年新高考资料_4.2024高考模拟预测试卷
黄金卷08-赢在高考·黄金8卷备战2024年高考数学模拟卷(新高考I卷专用)(参考答案)_2.2025数学总复习_2024年新高考资料_4.2024高考模拟预测试卷
黄金卷08-赢在高考·黄金8卷备战2024年高考数学模拟卷(新高考I卷专用)(参考答案)_2.2025数学总复习_2024年新高考资料_4.2024高考模拟预测试卷

文档信息

文档格式
docx
文档大小
0.465 MB
文档页数
9 页
上传时间
2026-03-29 07:16:29

文档内容

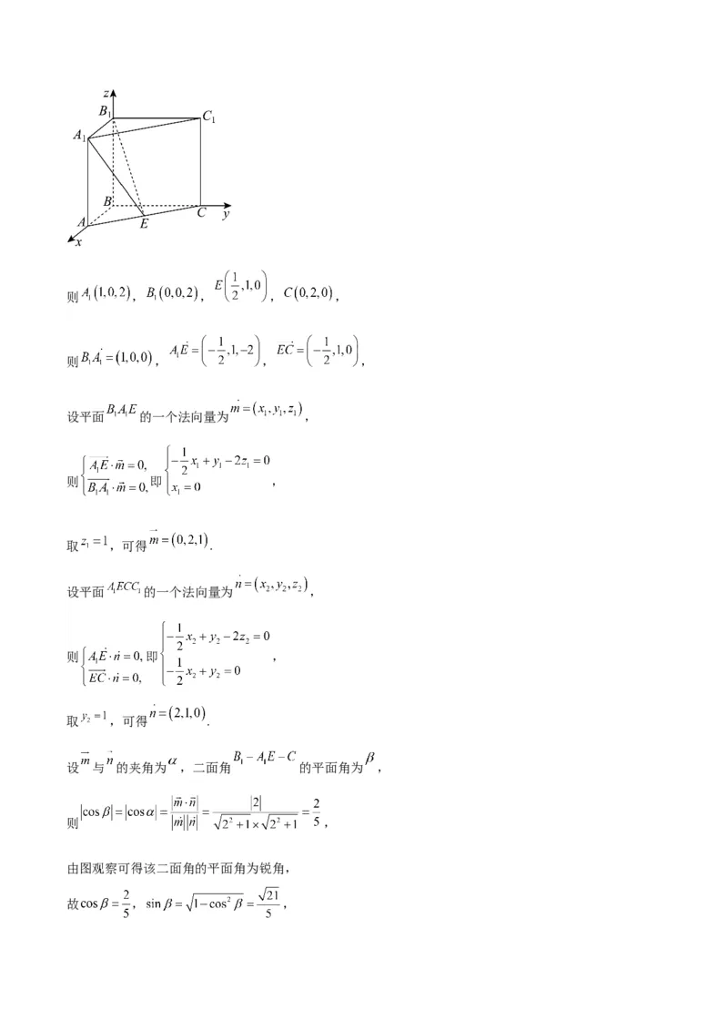
【赢在高考·黄金8卷】备战2024年高考数学模拟卷(新高考I 卷专用) 黄金卷08·参考答案 (考试时间:120分钟 试卷满分:150分) 第 I 卷(选择题) 一、单项选择题:本题共8小题,每小题5分,共40分,在每小题给出的四个选项中,只有一项是符合要 求的。 1 2 3 4 5 6 7 8 D C A A A C B B 二、多项选择题:本题共4小题,每小题5分,共20分,在每小题给出的四个选项中,有多项符合题目的 要求,全部选对的得5分,部分选对的得2分,有选错的得0分。 9 10 11 12 ACD AD BD BCD 第 II 卷(非选择题) 三、填空题:本题共4小题,每小题5分,共20分。 13. 14. 15. 16.4 四、解答题:本题共6小题,共70分,解答应写出必要的文字说明、证明过程及验算步骤。 17.(10分) 答案:(1) ,y与t的线性相关程度很高,可以用线性回归模型拟合. (2) , 万元. 【详解】(1)由题表, , 因为 , , , 所以 . 故y与t的线性相关程度很高,可以用线性回归模型拟合.(2) , , 所以 .当 时, . 预测该专营店在 时的利润为 万元. 18.(12分) 【详解】(1)由题设 ,又 , 所以 是首项、公比均为2的等比数列. (2)由(1)知: ,则 ,显然 时 成立, 当 有 ,此时 , 综上, ,得证. 19.(12分) 答案:(1) (2) 【详解】(1)因为点 为 的中点,所以 , 两边平方可得 , 故 . (2)由题意及 ,知 , , 两两互相垂直,所以以 为坐标原点, , , 所在直线分别为 轴、 轴、 轴,建立如图所示的空间直角坐标系,则 , , , , 则 , , , 设平面 的一个法向量为 , 则 即 , 取 ,可得 . 设平面 的一个法向量为 , 则 即 , 取 ,可得 . 设 与 的夹角为 ,二面角 的平面角为 , 则 , 由图观察可得该二面角的平面角为锐角, 故 , ,所以 , 即二面角 的平面角的正切值为 . 20.(12分) 答案:(1) (2) 【详解】选①:由 , 得 , 因为 ,则 , 可得 , 所以 . 选②:由正弦定理得 ,即 , 由余弦定理得 , 选③:由 得 则 即 , 且 ,可知 ,则 , 解得 ,即 , ,故 . (2)由 ,得 ,即 . 由余弦定理得 ,所以 . 解得 (舍去)或 ,所以 . 21.(12分) 答案:(1) (2)证明见解析 【详解】(1)由题可得,双曲线 的一条渐近线方程为 , , 则点 到 的一条渐近线的距离 ,解得 , 所以 的方程为 . (2)证明:由(1)可得 , , 依题意,直线 的斜率一定存在, 所以设直线 , , . 因为动直线 与 在第一象限内交于B,C两点,且E的一条渐近线斜率为1,所以 . 联立 整理得 , 则 , 根据韦达定理得, , . 由斜率定义得, , . 因为 ,所以 , 化简得, ,即 , 变形得, ,① 将 代入①整理可得, ,② 将 , 代入②得, , 化简得, ,即 ,解得 或 . 当 时,直线 ,此时直线 过点 ,不符合题意; 当 时,直线 ,此时直线 过点 . 综上,动直线 过定点 . 【点睛】关键点点睛:本题第(2)小问中,解题关键在于利用斜率与倾斜角的关系及两角和差的正切公 式,将题中条件 转化成 与 的关系,进而利用韦达定理化简求解. 22.(12分)答案:(1)2; (2) 证明见解析. 【详解】(1)依题意,设切点 ,求导得 , 则 ,解得 ,又 , ,则 , 所以实数a的值为2. (2)依题意, 的定义域为 , 求导得 ,则 有两个不等的正根 ,且是 的变号零 点, 令 ,求导得 ,当 时, ,当 时, , 于是函数 在 上单调递增,在 上单调递减, 由函数 有两个零点,得 ,解得 , 此时 ,令 ,求导得 , 当 时, ,当 时, ,函数 在 上递增,在 上递减, 则 ,即 , , 因此当 时,函数 必有两个零点 ,且是变号零点,由 ,得 , 由 ,得 ,令 ,则 , 于是 ,解得 , , 因此要证 ,只需证 ,即 ,只证 , 令 , ,求导得 ,因此函数 在 上单调递增, , 所以 . 【点睛】思路点睛:涉及函数的双零点问题,不管待证的是两个变量的不等式,还是导函数的值的不等式, 都是把双变量的等式或不等式转化为一元变量问题求解,途径都是构造一元函数.