当前位置:首页>文档>2022年陕西省中考数学真题(解析卷)_陕西_2.陕西中考数学(2008-2025)

2022年陕西省中考数学真题(解析卷)_陕西_2.陕西中考数学(2008-2025)

  • 2026-04-08 00:42:56 2026-04-07 20:16:41

文档预览

2022年陕西省中考数学真题(解析卷)_陕西_2.陕西中考数学(2008-2025)
2022年陕西省中考数学真题(解析卷)_陕西_2.陕西中考数学(2008-2025)
2022年陕西省中考数学真题(解析卷)_陕西_2.陕西中考数学(2008-2025)
2022年陕西省中考数学真题(解析卷)_陕西_2.陕西中考数学(2008-2025)
2022年陕西省中考数学真题(解析卷)_陕西_2.陕西中考数学(2008-2025)
2022年陕西省中考数学真题(解析卷)_陕西_2.陕西中考数学(2008-2025)
2022年陕西省中考数学真题(解析卷)_陕西_2.陕西中考数学(2008-2025)
2022年陕西省中考数学真题(解析卷)_陕西_2.陕西中考数学(2008-2025)
2022年陕西省中考数学真题(解析卷)_陕西_2.陕西中考数学(2008-2025)
2022年陕西省中考数学真题(解析卷)_陕西_2.陕西中考数学(2008-2025)
2022年陕西省中考数学真题(解析卷)_陕西_2.陕西中考数学(2008-2025)
2022年陕西省中考数学真题(解析卷)_陕西_2.陕西中考数学(2008-2025)
2022年陕西省中考数学真题(解析卷)_陕西_2.陕西中考数学(2008-2025)
2022年陕西省中考数学真题(解析卷)_陕西_2.陕西中考数学(2008-2025)
2022年陕西省中考数学真题(解析卷)_陕西_2.陕西中考数学(2008-2025)
2022年陕西省中考数学真题(解析卷)_陕西_2.陕西中考数学(2008-2025)
2022年陕西省中考数学真题(解析卷)_陕西_2.陕西中考数学(2008-2025)
2022年陕西省中考数学真题(解析卷)_陕西_2.陕西中考数学(2008-2025)
2022年陕西省中考数学真题(解析卷)_陕西_2.陕西中考数学(2008-2025)
2022年陕西省中考数学真题(解析卷)_陕西_2.陕西中考数学(2008-2025)
2022年陕西省中考数学真题(解析卷)_陕西_2.陕西中考数学(2008-2025)
2022年陕西省中考数学真题(解析卷)_陕西_2.陕西中考数学(2008-2025)
2022年陕西省中考数学真题(解析卷)_陕西_2.陕西中考数学(2008-2025)
2022年陕西省中考数学真题(解析卷)_陕西_2.陕西中考数学(2008-2025)
2022年陕西省中考数学真题(解析卷)_陕西_2.陕西中考数学(2008-2025)
2022年陕西省中考数学真题(解析卷)_陕西_2.陕西中考数学(2008-2025)
2022年陕西省中考数学真题(解析卷)_陕西_2.陕西中考数学(2008-2025)
2022年陕西省中考数学真题(解析卷)_陕西_2.陕西中考数学(2008-2025)
2022年陕西省中考数学真题(解析卷)_陕西_2.陕西中考数学(2008-2025)
2022年陕西省中考数学真题(解析卷)_陕西_2.陕西中考数学(2008-2025)
2022年陕西省中考数学真题(解析卷)_陕西_2.陕西中考数学(2008-2025)

文档信息

文档格式
docx
文档大小
1.253 MB
文档页数
27 页
上传时间
2026-04-07 20:16:41

文档内容

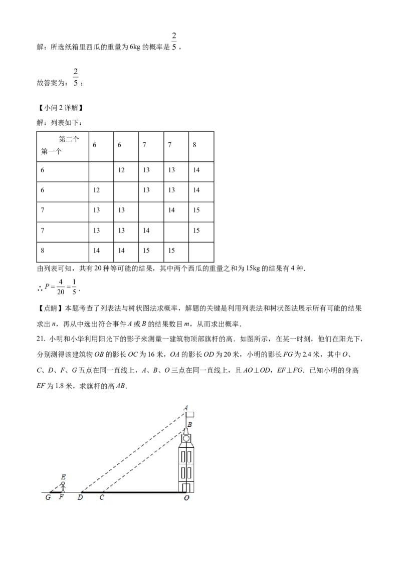
2022 年陕西省初中学业水平考试数学试卷 注意事项: 1.本试卷分为第一部分(选择题)和第二部分(非选择题).全卷共8页,考试时间120分 钟. 2.领到试卷和答题卡后,请用0.5毫米黑色墨水签字笔,分别在试卷和答题卡上填写姓名和 准考证号,同时用2B铅笔在答题卡上填涂对应的试卷类型信息点(A或B). 3.请在答题卡上各题的指定区域内作答,否则作答无效. 4.作图时,先用铅笔作图,再用规定签字笔搭黑. 5.考试结束,本试卷和答题卡一并交回. 第一部分(选择题) 一、选择题共8小题,每小题只有一个选项是符合题意的) 1. 的相反数是( ) A. B. 37 C. D. 【答案】B 【解析】 【分析】根据相反数的定义解答即可. 【详解】-37的相反数是37. 故选:B. 【点睛】本题主要考查了相反数,掌握定义是解题的关键.即只有符号不同的两个数,称其中一个是另一 个的相反数. 2. 如图, .若 ,则 的大小为( ) A. B. C. D. 【答案】B【解析】 【分析】根据两直线平行线,内错角相等,求出∠1=∠C=58°,再利用两直线平行线,同旁内角互补即可 求出∠CGE的大小,然后利用对顶角性质即可求解. 【详解】解:设CD与EF交于G, ∵AB∥CD ∴∠1=∠C=58° ∵BC∥FE, ∴∠C+∠CGE=180°, ∴∠CGE=180°-58°=122°, ∴∠2=∠CGE=122°, 故选:B. 【点睛】本题主要考查了平行线的性质,掌握平行线性质是解题关键 3. 计算: ( ) A. B. C. D. 【答案】C 【解析】 【分析】利用单项式乘单项式的法则进行计算即可. 【详解】解: . 故选:C. 【点睛】本题考查了单项式乘单项式的运算,正确地计算能力是解决问题的关键. 4. 在下列条件中,能够判定 为矩形的是( ) A. B. C. D. 【答案】D 【解析】 【分析】根据矩形的判定定理逐项判断即可.【详解】当AB=AC时,不能说明 是矩形,所以A不符合题意; 当AC⊥BD时, 是菱形,所以B不符合题意; 当AB=AD时, 是菱形,所以C不符合题意; 当AC=BD时, 是矩形,所以D符合题意. 故选:D. 【点睛】本题主要考查了矩形的判定,掌握判定定理是解题的关键.有一个角是直角的平行四边形是矩形; 对角线相等的平行四边形是矩形. 5. 如图, 是 的高,若 , ,则边 的长为( ) A. B. C. D. 【答案】D 【解析】 【分析】先解直角 求出AD,再在直角 中应用勾股定理即可求出AB. 【详解】解:∵ , ∴ , ∵直角 中, , ∴ , ∴直角 中,由勾股定理可得, . 故选D. 【点睛】本题考查利用锐角函数解直角三角形和勾股定理,难度较小,熟练掌握三角函数的意义是解题的 关键.6. 在同一平面直角坐标系中,直线 与 相交于点 ,则关于x,y的方程组 的解为( ) A. B. C. D. 【答案】C 【解析】 【分析】先把点P代入直线 求出n,再根据二元一次方程组与一次函数的关系求解即可; 【详解】解:∵直线 与直线 交于点P(3,n), ∴ , ∴ , ∴ , ∴1=3×2+m, ∴m=-5, ∴关于x,y的方程组 的解 ; 故选:C. 【点睛】本题主要考查了一次函数的性质,二元一次方程与一次函数的关系,准确计算是解题的关键. 7. 如图, 内接于⊙ ,连接 ,则 ( ) A. B. C. D. 【答案】A【解析】 【分析】连接OB,由2∠C=∠AOB,求出∠AOB,再根据OA=OB即可求出∠OAB. 【详解】连接OB,如图, ∵∠C=46°, ∴∠AOB=2∠C=92°, ∴∠OAB+∠OBA=180°-92°=88°, ∵OA=OB, ∴∠OAB=∠OBA, ∴∠OAB=∠OBA= ×88°=44°, 故选:A. 【点睛】本题主要考查了圆周角定理,根据圆周角定理的出∠AOB=2∠C=92°是解答本题的关键. 8. 已知二次函数y=x2−2x−3的自变量x,x,x 对应的函数值分别为y,y,y.当−13 1 2 3 1 2 3 1 2 3 时,y,y,y 三者之间的大小关系是( ) 1 2 3 A. B. C. D. 【答案】B 【解析】 【分析】先求得抛物线的对称轴为直线x=1,抛物线与x轴的交点坐标,画出草图,利用数形结合,即可 求解. 【详解】解:y=x2−2x−3=(x-1)2-4, ∴对称轴为直线x=1, 令y=0,则(x-1)2-4=0, 解得x=-1,x=3, 1 2 ∴抛物线与x轴的交点坐标为(-1,0),(3,0), 二次函数y=x2−2x−3的图象如图:由图象知 . 故选:B. 【点睛】本题考查了二次函数图象上点的坐标特征:二次函数图象上点的坐标满足其解析式.利用数形结 合解题是关键. 第二部分(非选择题) 二、填空题(共5小题) 9. 计算: ______. 【答案】 【解析】 【分析】先计算 ,再计算3-5即可得到答案. 【详解】解: . 故答案为:-2. 【点睛】本题主要考查了实数的运算,化简 是解答本题的关键. 10. 实数a,b在数轴上对应点的位置如图所示,则a______ .(填“>”“=”或“<”) 【答案】< 【解析】 【分析】根据在数轴上右边的数据大于左边的数据即可得出答案. 【详解】解:如图所示:-4<b<-3,1<a<2, ∴ ,∴ . 故答案为:<. 【点睛】此题主要考查了实数与数轴,正确掌握数轴上数据大小关系是解题关键. 11. 在20世纪70年代,我国著名数学家华罗庚教授将黄金分割法作为一种“优选法”,在全国大规模推 广,取得了很大成果.如图,利用黄金分割法,所做 将矩形窗框 分为上下两部分,其中E为边 的黄金分割点,即 .已知 为2米,则线段 的长为______米. 【答案】 ## 【解析】 【分析】根据点E是AB的黄金分割点,可得 ,代入数值得出答案. 【详解】∵点E是AB的黄金分割点, ∴ . ∵AB=2米, ∴ 米. 故答案为:( ). 【点睛】本题主要考查了黄金分割的应用,掌握黄金比是解题的关键. 12. 已知点A(−2,m)在一个反比例函数的图象上,点A′与点A关于y轴对称.若点A′在正比例函数 的图象上,则这个反比例函数的表达式为_______.【答案】y= 【解析】 【分析】根据点A与点A′关于y轴对称,得到A′(2,m),由点A′在正比例函数 的图象上,求得m 的值,再利用待定系数法求解即可. 【详解】解:∵点A与点A′关于y轴对称,且A(−2,m), ∴A′(2,m), ∵点A′在正比例函数 的图象上, ∴m= ×2, 解得:m=1, ∴A(−2,1), 设这个反比例函数的表达式为y= , ∵A(−2,1) 在这个反比例函数的图象上, ∴k=-2×1=-2, ∴这个反比例函数的表达式为y= , 故答案为:y= . 【点睛】本题考查反比例函数图象上点的坐标特征、关于x轴、y轴对称的点的坐标特征,解答本题的关 键是明确题意,求出m的值. 的 13. 如图,在菱形 中, .若M、N分别是边 上 动点,且 , 作 ,垂足分别为E、F,则 的值为______.【答案】 【解析】 【分析】连接AC交BD于点O,过点M作MG//BD交AC于点G,则可得四边形MEOG是矩形,以及 ,从而得NF=AG,ME=OG,即NR+ME=AO,运用勾股定理求出AO的长即可. 【详解】解:连接AC交BD于点O,如图, ∵四边形ABCD是菱形, ∴AC⊥BD,BO= ,AD//BC, ∴ 在Rt 中,AB=4,BO= , ∵ , ∴过点M作MG//BD交AC于点G, ∴ , ∴ 又 ∴ , ∴四边形MEOG是矩形, ∴ME=OG, 又 ∴ ∴ 在 和 中, , ∴ ≌ ∴ , ∴ , 故答案为 . 【点睛】本题主要考查了菱形 的性质以及全等三角形的判定与性质,正确作出辅助线构造全等三角形是解 答本题的关键. 三、解答题(共13小题,解答应写出过程) 14. 计算: . 【答案】【解析】 【分析】先算绝对值、算术平方根,零指数幂,再算乘法和加减法,即可求解. 【详解】解: 【点睛】本题主要考查实数的混合运算,掌握零指数幂和运算法则是解题的关键. 15. 解不等式组: 【答案】 【解析】 【分析】分别解出每个不等式的解集,再找解集的公共部分求不等式组的解集即可. 【详解】解: , 解不等式①,得 , 解不等式②,得 , 将不等式①,②的解集在数轴上表示出来 ∴原不等式组的解集为 . 【点睛】本题考查不等式组 的计算,准确地计算能力是解决问题的关键. 16. 化简: . 【答案】 【解析】【分析】分式计算先通分,再计算乘除即可. 【详解】解:原式 . 【点睛】本题考查了分式的混合运算,正确地计算能力是解决问题的关键. 17. 如图,已知 是 的一个外角.请用尺规作图法,求作射线 ,使 .(保留作图痕迹,不写作法) 【答案】见解析 【解析】 【分析】作 的角平分线即可. 【详解】解:如图,射线 即为所求作. 【点睛】本题考查了角平分线、三角形外角的性质、平行线的判定,解题的关键是掌握平行线的判定定理. 18. 如图,在 ABC中,点D在边BC上,CD=AB,DE∥AB,∠DCE=∠A.求证:DE=BC. △【答案】见解析 【解析】 【分析】利用角边角证明 CDE≌ ABC,即可证明DE=BC. 【详解】证明:∵DE∥AB△, △ ∴∠EDC=∠B. 又∵CD=AB,∠DCE=∠A, ∴ CDE≌ ABC(ASA). ∴△DE=BC.△ 【点睛】本题考查了全等三角形的判定和性质,掌握全等三角形的判定是本题的关键. 19. 如图, 的顶点坐标分别为 .将 平移后得到 ,且 点A的对应点是 ,点B、C的对应点分别是 . (1)点A、 之间的距离是__________; (2)请在图中画出 . 【答案】(1)4 (2)见解析 【解析】 【分析】(1)由 得,A、 之间的距离是2-(-2)=4; (2)根据题意找出平移规律,求出 ,进而画图即可. 【小问1详解】 解:由 得,的 A、 之间 距离是2-(-2)=4. 故答案为:4. 【小问2详解】 解:由题意,得 , 如图, 即为所求. 【点睛】本题考查了坐标系中两点之间的距离求解以及平移求点坐标画图,题目相对较简单,掌握平移规 律是解决问题的关键. 20. 有五个封装后外观完全相同的纸箱,且每个纸箱内各装有一个西瓜,其中,所装西瓜的重量分别为 6kg,6kg,7kg,7kg,8kg.现将这五个纸箱随机摆放. (1)若从这五个纸箱中随机选1个,则所选纸箱里西瓜的重量为6kg的概率是______; (2)若从这五个纸箱中随机选2个,请利用列表或画树状图的方法,求所选两个纸箱里西瓜的重量之和为 15kg的概率. 【答案】(1) (2)见解析, 【解析】 【分析】(1)直接根据概率公式计算; (2)先列表,展示所有20种等可能的结果数,再找出两个数字之和等于15kg所占的结果数,再根据概率 公式计算. 【小问1详解】解:所选纸箱里西瓜的重量为6kg的概率是 , 故答案为: ; 【小问2详解】 解:列表如下: 第二个 6 6 7 7 8 第一个 6 12 13 13 14 6 12 13 13 14 7 13 13 14 15 7 13 13 14 15 8 14 14 15 15 由列表可知,共有20种等可能的结果,其中两个西瓜的重量之和为15kg的结果有4种. ∴ . 【点睛】本题考查了列表法与树状图法求概率,解题的关键是利用列表法和树状图法展示所有可能的结果 求出n,再从中选出符合事件A或B的结果数目m,从而求出概率. 21. 小明和小华利用阳光下的影子来测量一建筑物顶部旗杆的高.如图所示,在某一时刻,他们在阳光下, 分别测得该建筑物OB的影长OC为16米,OA的影长OD为20米,小明的影长FG为2.4米,其中O、 C、D、F、G五点在同一直线上,A、B、O三点在同一直线上,且AO⊥OD,EF⊥FG.已知小明的身高 EF为1.8米,求旗杆的高AB.【答案】旗杆的高AB为3米. 【解析】 【分析】证明 AOD∽ EFG,利用相似比计算出AO的长,再证明 BOC∽ AOD,然后利用相似比计算 OB的长,进一△步计算即△可求解. △ △ 【详解】解:∵AD∥EG, ∴∠ADO=∠EGF. 又∵∠AOD=∠EFG=90°, ∴ AOD∽ EFG. △ △ ∴ . ∴ . 同理, BOC∽ AOD. △ △ ∴ . ∴ . ∴AB=OA−OB=3(米). ∴旗杆的高AB为3米. 【点睛】本题考查了平行投影:由平行光线形成的投影是平行投影,如物体在太阳光的照射下形成的影子 就是平行投影.平行投影中物体与投影面平行时的投影是全等的. 22. 如图,是一个“函数求值机”的示意图,其中y是x的函数.下面表格中,是通过该“函数求值机” 得到的几组x与y的对应值.输人x … 0 2 … 输出y … 2 6 16 … 根据以上信息,解答下列问题: (1)当输入的x值为1时,输出的y值为__________; (2)求k,b的值; (3)当输出的y值为0时,求输入的x值. 【答案】(1)8 (2) (3) 【解析】 【分析】对于(1),将x=1代入y=8x,求出答案即可; 对于(2),将(-2,2),(0,6)代入y=kx+b得二元一次方程组,解方程组得出答案; 对于(3),将y=0分别代入两个关系式,再求解判断即可. 【小问1详解】 当x=1时,y=8×1=8; 故答案为:8; 【小问2详解】 将(-2,2),(0,6)代入 ,得 ,解得 ; 【小问3详解】 令 , 由 ,得 ,∴ .(舍去) 由 ,得 ,∴ . ∴输出的y值为0时,输入的x值为 . 【点睛】本题主要考查了待定系数法求一次函数关系式,理解“函数求值机”的计算过程是解题的关键. 23. 某校为了了解本校学生“上周内做家务劳动所用的时间”(简称“劳动时间”)情况,在本校随机调 查了100名学生的“劳动时间”,并进行统计,绘制了如下统计表: 组别 “劳动时间”t/分钟 频数 组内学生的平均“劳动时间”/分钟 A 8 50 B 16 75 C 40 105 D 36 150 根据上述信息,解答下列问题: (1)这100名学生的“劳动时间”的中位数落在__________组; (2)求这100名学生的平均“劳动时间”; (3)若该校有1200名学生,请估计在该校学生中,“劳动时间”不少于90分钟的人数. 【答案】(1)C (2)112分钟 (3)912人 【解析】 【分析】(1)根据中位数的定义可知中位数落在C组; (2)根据加权平均数的公式计算即可; (3)用样本估计总体即可.【小问1详解】 解:由题意可知,100名学生的“劳动时间”的中位数是第50、51个数, 故本次调查数据的中位数落在C组, 故答案为:C; 【小问2详解】 解: (分钟), ∴这100名学生的平均“劳动时间”为112分钟; 【小问3详解】 解:∵ (人), ∴估计在该校学生中,“劳动时间”不少于90分钟的有912人. 【点睛】本题考查了统计的知识,解题的关键是仔细读图,并从中找到进一步解题的有关信息,难度不大. 24. 如图, 是⊙ 的直径, 是⊙ 的切线, 、 是⊙ 的弦,且 ,垂足为E, 连接 并延长,交 于点P. (1)求证: ; (2)若⊙ 的半径 ,求线段 的长. 【答案】(1)见解析 (2) 【解析】 【分析】(1)根据 是 的切线,得出 .根据 ,可证 .得出 .根据同弧所对圆周角性质得出 即可; (2)连接 .根据直径所对圆周角性质得出, .可证 .得出.根据勾股定理 .再证 .求出 即可. 【小问1详解】 证明:∵ 是 的切线, ∴ . ∵ ∴ , ∴ . ∴ . ∵ , ∴ . 【小问2详解】 解:如图,连接 . ∵ 为直径, ∴∠ADB=90°, ∴ . ∵ , ∴ . ∴ . ∵ ,∴ . ∵∠BAP=∠BDA=90°,∠ABD=∠PBA, ∴ . ∴ . ∴ . ∴ . 【点睛】本题考查圆的切线性质,直径所对圆周角性质,同弧所对圆周角性质,勾股定理,三角形相似判 定与性质,掌握圆的切线性质,直径所对圆周角性质,同弧所对圆周角性质,勾股定理,三角形相似判定 与性质是解题关键. 25. 现要修建一条隧道,其截面为抛物线型,如图所示,线段 表示水平的路面,以O为坐标原点,以 所在直线为x轴,以过点O垂直于x轴的直线为y轴,建立平面直角坐标系.根据设计要求: ,该抛物线的顶点P到 的距离为 . (1)求满足设计要求的抛物线的函数表达式; (2)现需在这一隧道内壁上安装照明灯,如图所示,即在该抛物线上的点A、B处分别安装照明灯.已知 点A、B到 的距离均为 ,求点A、B的坐标.【答案】(1) (2) 【解析】 【分析】(1)根据题意,设抛物线的函数表达式为 ,再代入(0,0),求出a的值即可; (2)根据题意知,A,B两点的纵坐标为6,代入函数解析式可求出两点的横坐标,从而 可解决问题. 【小问1详解】 依题意,顶点 , 设抛物线的函数表达式为 , 将 代入,得 .解之,得 . ∴抛物线的函数表达式为 . 【小问2详解】 令 ,得 . 解之,得 . ∴ . 【点睛】本题考查了运用待定系数法求二次函数的解析式的运用,由函数值求自变量的值的运用,解答时 求出二次函数的解析式是关键. 26. 问题提出 (1)如图1, 是等边 的中线,点P在 的延长线上,且 ,则 的度数为 __________. 问题探究(2)如图2,在 中, .过点A作 ,且 ,过点P作直 线 ,分别交 于点O、E,求四边形 的面积. 问题解决 (3)如图3,现有一块 型板材, 为钝角, .工人师傅想用这块板材裁出一个 型部件,并要求 .工人师傅在这块板材上的作法如下: ①以点C为圆心,以 长为半径画弧,交 于点D,连接 ; ②作 的垂直平分线l,与 于点E; ③以点A为圆心,以 长为半径画弧,交直线l于点P,连接 ,得 . 请问,若按上述作法,裁得的 型部件是否符合要求?请证明你的结论. 【答案】(1) (2) (3)符合要求,理由见解析 【解析】 【分析】(1)利用等腰三角形的判定及性质,结合三角形内角和,先求出 即可; (2)连接 .先证明出四边形 是菱形.利用菱形的性质得出 ,由 ,得出 .根据 ,得 , ,即可求出 ,再求出 ,利用 即可求解; (3)由作法,知 ,根据 ,得出 .以 为边,作 正方形 ,连接 .得出 .根据l是 的垂直平分线,证明出 为等边三 角形,即可得出结论. 【小问1详解】 解: , , , , 解得: , , , 故答案为: ; 【小问2详解】 解:如图1,连接 . 图1 ∵ ,∴四边形 是菱形. ∴ . ∵ , ∴ . ∵ , ∴ . ∴ . ∵ , ∴ . ∴ . ∴ . 【小问3详解】 解:符合要求. 由作法,知 . ∵ , ∴ . 如图2,以 为边,作正方形 ,连接 .图2 ∴ . ∵l是 的垂直平分线, ∴l是 的垂直平分线. ∴ . ∴ 为等边三角形. ∴ , ∴ , ∴ . ∴裁得的 型部件符合要求. 【点睛】本题考查了等边三角形的性质,等腰三角形的判定及性质、三角形内角和定理、菱形的判定及性 质、锐角三角函数、正方形、垂直平分线,解题的关键是要灵活运用以上知识点进行求解,涉及知识点较 多,题目较难.