当前位置:首页>文档>专题05椭圆中的离心率问题(解析版)_02高考数学_2024年新高考资料_3.2024专项复习_2024年新高考数学之圆锥曲线专项重难点突破练(新高考专用)

专题05椭圆中的离心率问题(解析版)_02高考数学_2024年新高考资料_3.2024专项复习_2024年新高考数学之圆锥曲线专项重难点突破练(新高考专用)

  • 2026-04-08 05:18:20 2026-04-08 04:36:17

文档预览

专题05椭圆中的离心率问题(解析版)_02高考数学_2024年新高考资料_3.2024专项复习_2024年新高考数学之圆锥曲线专项重难点突破练(新高考专用)
专题05椭圆中的离心率问题(解析版)_02高考数学_2024年新高考资料_3.2024专项复习_2024年新高考数学之圆锥曲线专项重难点突破练(新高考专用)
专题05椭圆中的离心率问题(解析版)_02高考数学_2024年新高考资料_3.2024专项复习_2024年新高考数学之圆锥曲线专项重难点突破练(新高考专用)
专题05椭圆中的离心率问题(解析版)_02高考数学_2024年新高考资料_3.2024专项复习_2024年新高考数学之圆锥曲线专项重难点突破练(新高考专用)
专题05椭圆中的离心率问题(解析版)_02高考数学_2024年新高考资料_3.2024专项复习_2024年新高考数学之圆锥曲线专项重难点突破练(新高考专用)
专题05椭圆中的离心率问题(解析版)_02高考数学_2024年新高考资料_3.2024专项复习_2024年新高考数学之圆锥曲线专项重难点突破练(新高考专用)
专题05椭圆中的离心率问题(解析版)_02高考数学_2024年新高考资料_3.2024专项复习_2024年新高考数学之圆锥曲线专项重难点突破练(新高考专用)
专题05椭圆中的离心率问题(解析版)_02高考数学_2024年新高考资料_3.2024专项复习_2024年新高考数学之圆锥曲线专项重难点突破练(新高考专用)
专题05椭圆中的离心率问题(解析版)_02高考数学_2024年新高考资料_3.2024专项复习_2024年新高考数学之圆锥曲线专项重难点突破练(新高考专用)
专题05椭圆中的离心率问题(解析版)_02高考数学_2024年新高考资料_3.2024专项复习_2024年新高考数学之圆锥曲线专项重难点突破练(新高考专用)
专题05椭圆中的离心率问题(解析版)_02高考数学_2024年新高考资料_3.2024专项复习_2024年新高考数学之圆锥曲线专项重难点突破练(新高考专用)
专题05椭圆中的离心率问题(解析版)_02高考数学_2024年新高考资料_3.2024专项复习_2024年新高考数学之圆锥曲线专项重难点突破练(新高考专用)
专题05椭圆中的离心率问题(解析版)_02高考数学_2024年新高考资料_3.2024专项复习_2024年新高考数学之圆锥曲线专项重难点突破练(新高考专用)
专题05椭圆中的离心率问题(解析版)_02高考数学_2024年新高考资料_3.2024专项复习_2024年新高考数学之圆锥曲线专项重难点突破练(新高考专用)
专题05椭圆中的离心率问题(解析版)_02高考数学_2024年新高考资料_3.2024专项复习_2024年新高考数学之圆锥曲线专项重难点突破练(新高考专用)
专题05椭圆中的离心率问题(解析版)_02高考数学_2024年新高考资料_3.2024专项复习_2024年新高考数学之圆锥曲线专项重难点突破练(新高考专用)
专题05椭圆中的离心率问题(解析版)_02高考数学_2024年新高考资料_3.2024专项复习_2024年新高考数学之圆锥曲线专项重难点突破练(新高考专用)
专题05椭圆中的离心率问题(解析版)_02高考数学_2024年新高考资料_3.2024专项复习_2024年新高考数学之圆锥曲线专项重难点突破练(新高考专用)
专题05椭圆中的离心率问题(解析版)_02高考数学_2024年新高考资料_3.2024专项复习_2024年新高考数学之圆锥曲线专项重难点突破练(新高考专用)
专题05椭圆中的离心率问题(解析版)_02高考数学_2024年新高考资料_3.2024专项复习_2024年新高考数学之圆锥曲线专项重难点突破练(新高考专用)
专题05椭圆中的离心率问题(解析版)_02高考数学_2024年新高考资料_3.2024专项复习_2024年新高考数学之圆锥曲线专项重难点突破练(新高考专用)
专题05椭圆中的离心率问题(解析版)_02高考数学_2024年新高考资料_3.2024专项复习_2024年新高考数学之圆锥曲线专项重难点突破练(新高考专用)

文档信息

文档格式
docx
文档大小
1.351 MB
文档页数
18 页
上传时间
2026-04-08 04:36:17

文档内容

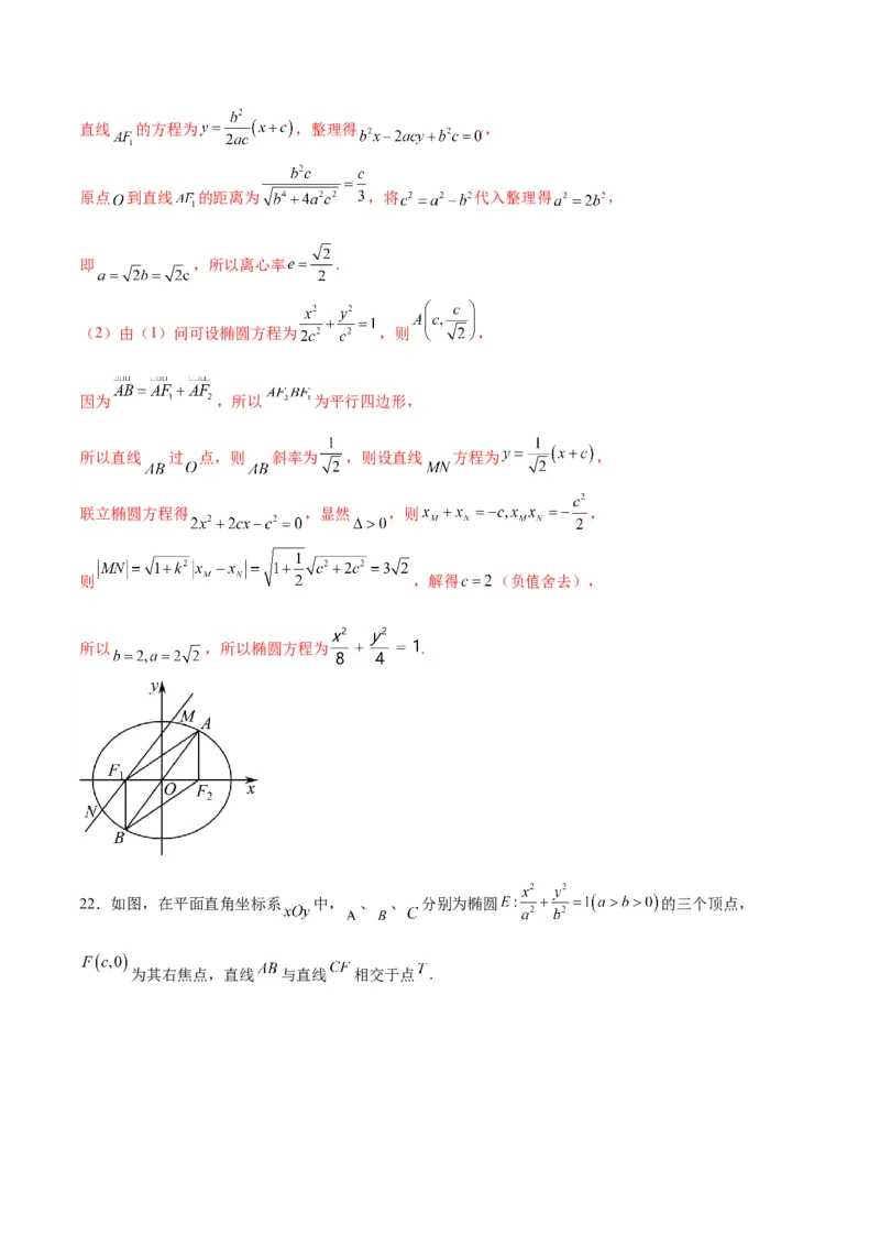
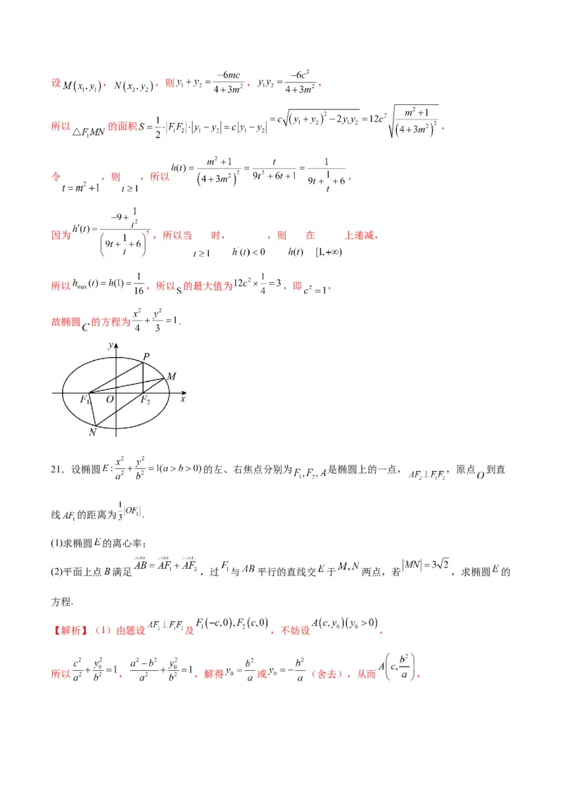
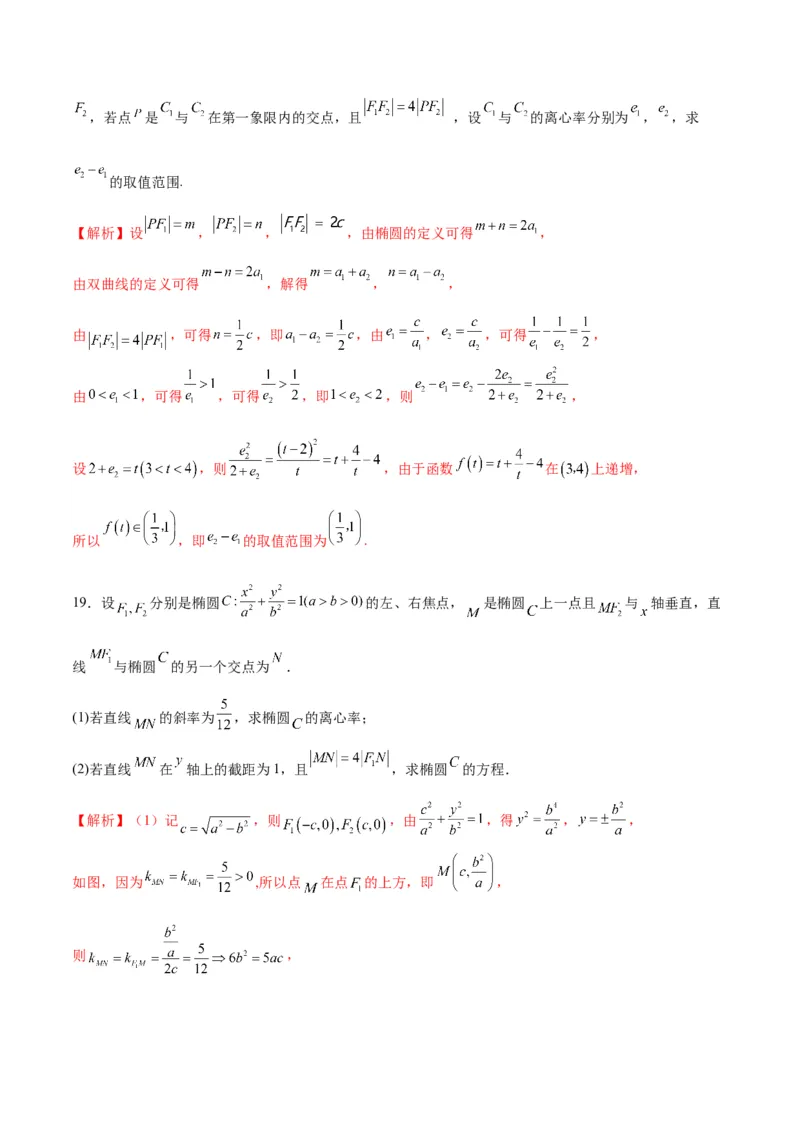
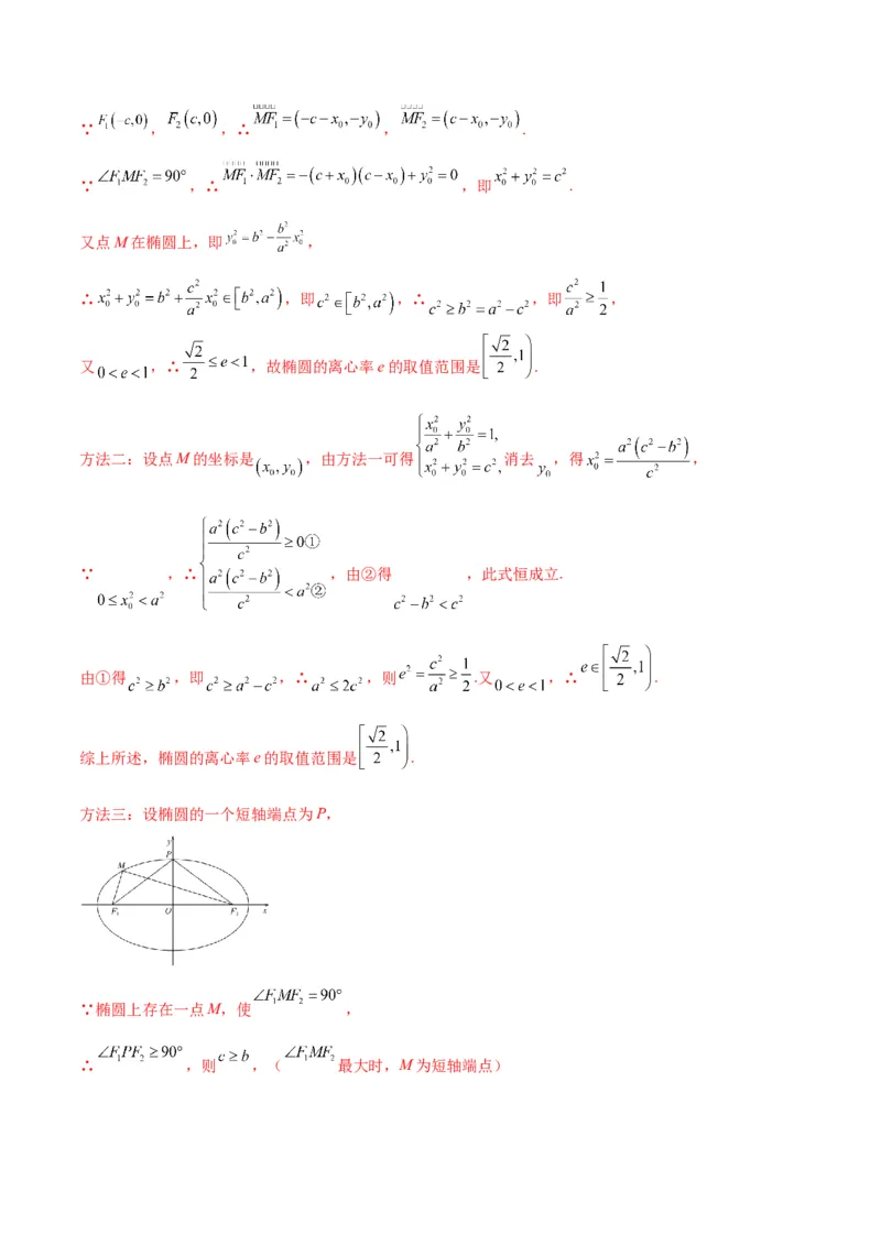
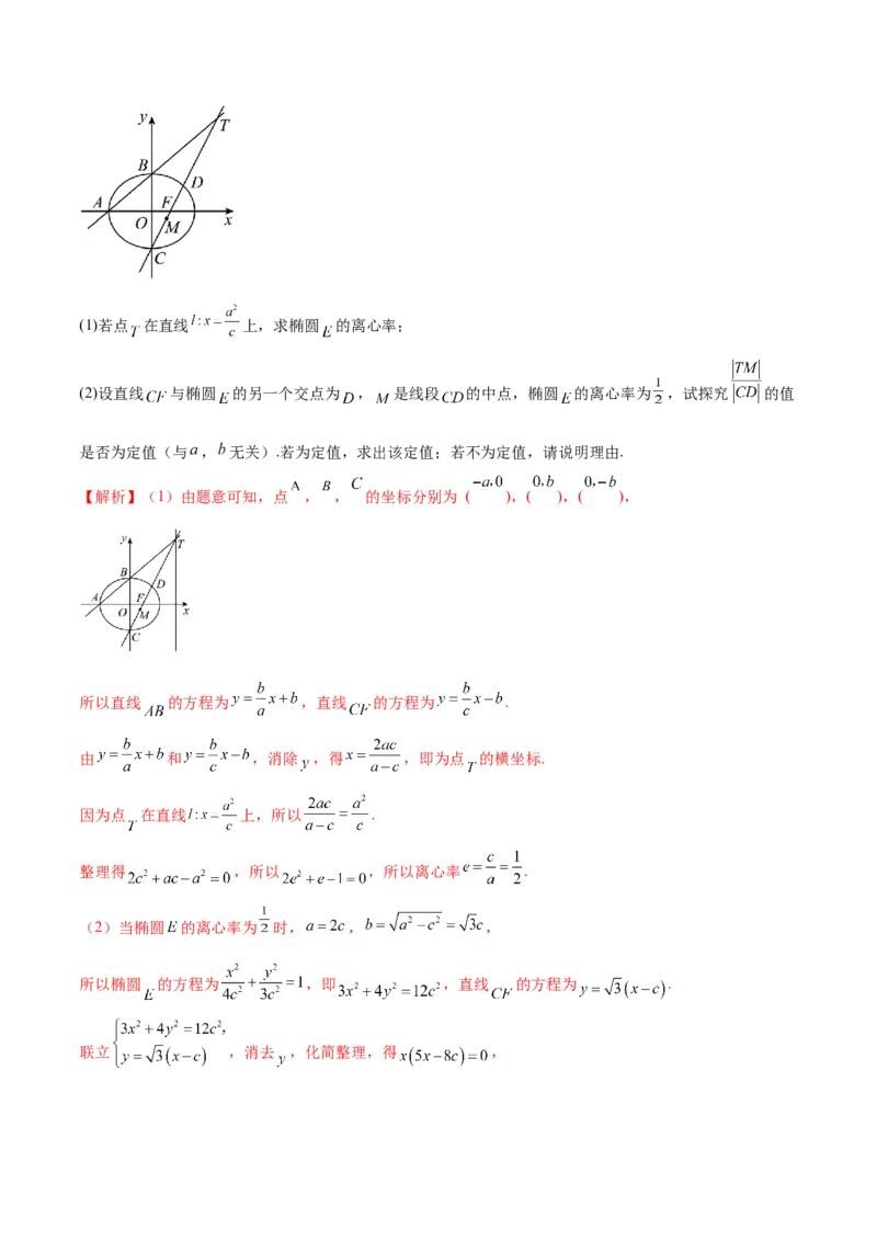
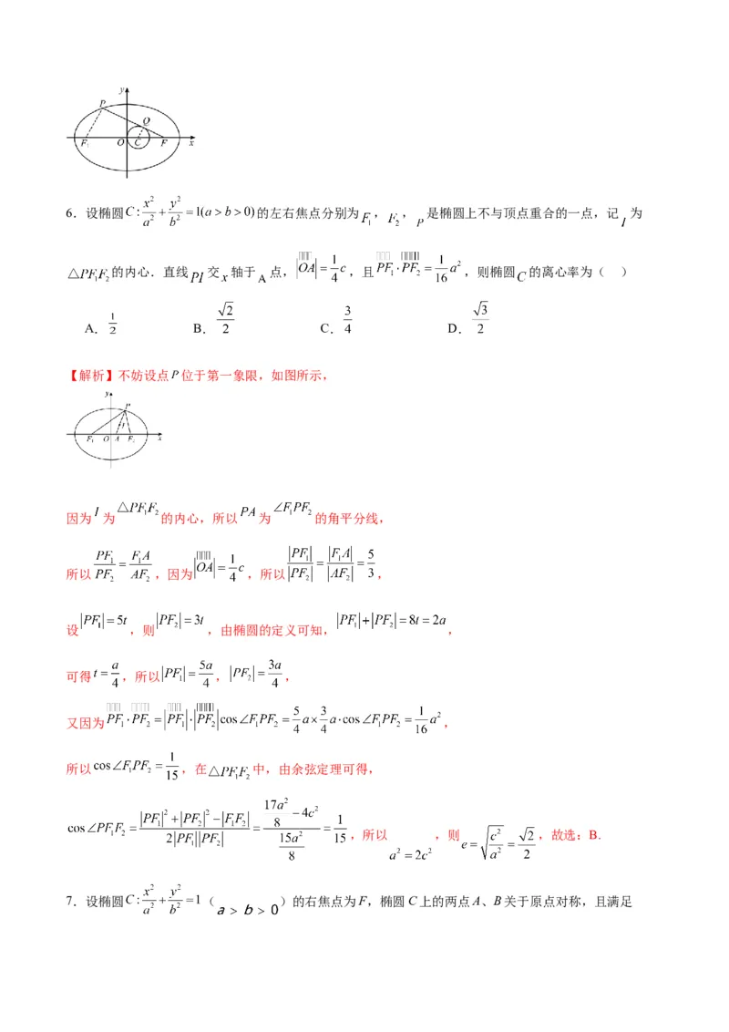
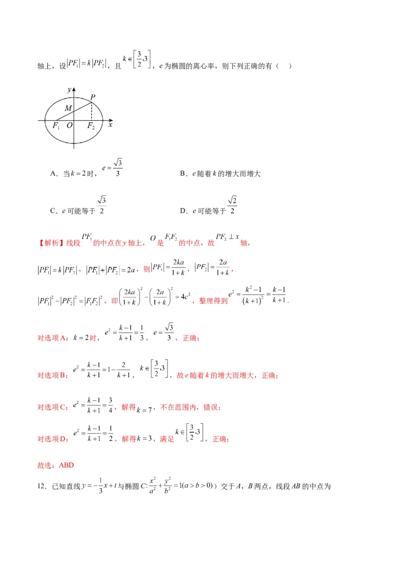
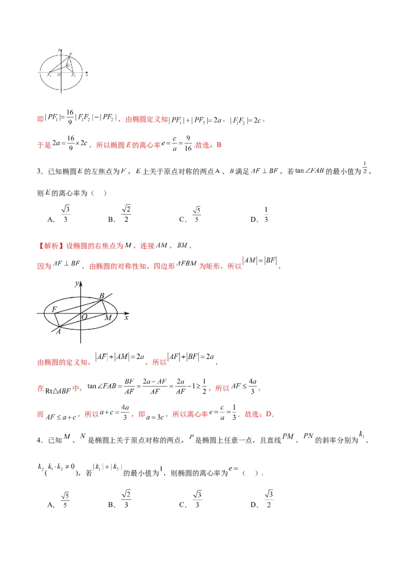
专题05 椭圆中的离心率问题 限时:120分钟 满分:150分 一、单选题:本大题共8小题,每个小题5分,共40分.在每小题给出的选项中,只有一项是符合题目要 求的. 1.已知椭圆C: 的左、右焦点分别为 , ,点P在椭圆C上,且 ,过P 作 的垂线交x轴于点A,若 ,记椭圆的离心率为e,则 ( ) A. B. C. D. 【解析】因为 , ,所以 ,可得 . 在 中, .由椭圆的定义可得 ,故 , 所以 ,所以 .故选:A. 2.已知点 , 分别是椭圆 : 的左、右焦点,点P是椭圆E上的一点,若 的内心是G,且 ,则椭圆E的离心率为( ) A. B. C. D. 【解析】设点G到 各边的距离为 ,由 ,得 ,即 ,由椭圆定义知 , , 于是 ,所以椭圆E的离心率 .故选:B 3.已知椭圆 的左焦点为 , 上关于原点对称的两点 、 满足 ,若 的最小值为 , 则 的离心率为( ) A. B. C. D. 【解析】设椭圆的右焦点为 ,连接 , , 因为 ,由椭圆的对称性知,四边形 为矩形,所以 , 由椭圆的定义知, ,所以 , 在 中, ,所以 , 而 ,所以 ,即 ,所以离心率 .故选:D. 4.已知 、 是椭圆上关于原点对称的两点, 是椭圆上任意一点,且直线 、 的斜率分别为 、 ( ),若 的最小值为 ,则椭圆的离心率为 ( ). A. B. C. D.【解析】设椭圆方程为 ,点 ,则点 ,显然 , 由 与 ,相减得 , 整理得 ,而 ,于是 , 因为 ,当且仅当 取等号,因此 ,即 , 椭圆的离心率为 .故选:D 5.已知 是椭圆 : 的右焦点,点P在椭圆 上,线段 与圆 相 切于点 ,且 ,则椭圆 的离心率等于( ) A. B. C. D. 【解析】设椭圆的左焦点为 ,连接 ,设圆心为 ,则 ,则圆心坐标为 , ,半径为 , 由于 , , , ,故 , , 线段 与圆 (其中 相切于点 , , , ,则 , ,故选:D.6.设椭圆 的左右焦点分别为 , , 是椭圆上不与顶点重合的一点,记 为 的内心.直线 交 轴于 点, ,且 ,则椭圆 的离心率为( ) A. B. C. D. 【解析】不妨设点 位于第一象限,如图所示, 因为 为 的内心,所以 为 的角平分线, 所以 ,因为 ,所以 , 设 ,则 ,由椭圆的定义可知, , 可得 ,所以 , , 又因为 , 所以 ,在 中,由余弦定理可得, ,所以 ,则 ,故选:B. 7.设椭圆 ( )的右焦点为F,椭圆C上的两点A、B关于原点对称,且满足, ,则椭圆C的离心率的取值范围是( ) A. B. C. D. 【解析】如图所示: 设椭圆的左焦点 ,由椭圆的对称性可知,四边形 为平行四边形, 又 ,则 ,所以平行四边形 为矩形,故 , 设 , ,则 ,在直角 中, , , 所以 ,则 , 所以 ,令 ,得 ,又由 ,得 , 因为对勾函数 在 上单调递增,所以 , 所以 ,即 ,则 ,故 , 所以 ,所以椭圆离心率的取值范围是 .故选:B. 8.已知焦点在x轴上的椭圆 的内接平行四边形的一组对边分别经过其两个焦点 (如图),当这个平行四边形为矩形时,其面积最大,则椭圆离心率的取值范围是( )A. B. C. D. 【解析】椭圆C: 的焦点在x轴上, 设 所在直线方程为 ,其中 为椭圆的半焦距. 则由 得 设 ,则 , 所以 , 因为 所在直线方程为 ,所以直线 与 的距离为: , 设 ,则 ,则 要使得 最大值,则只需 的值最大,即 的值最小即可. 根据条件当这个平行四边形为矩形时,其面积最大. 即当 时 有最大值,也即是 时 最小, 由函数 在 上单调递减,在 上单调递增. 所以函数 在 上单调递减,在 上单调递增. 因为函数 在 上,当 时取得最小值,则 . 所以 ,即 ,所以 ,同时除以 可得 ,解得 ,故选:A 二、多选题:本大题共4小题,每个小题5分,共20分.在每小题给出的选项中,只有一项或者多项是符 合题目要求的. 9.若椭圆 的离心率为 ,则实数 的值可能为( ) A. B. C. D.4 【解析】因为椭圆 的离心率为 , 当焦点在 轴上时,即 ,得到 ,由 ,解得 ; 当焦点在 轴上时,即 ,得到 ,由 ,解得 . 故选:AD. 10.在平面直角坐标系 中,椭圆 上存在点 ,使得 ,其中 , 分 别为椭圆的左、右焦点,则该椭圆的离心率可能为( ) A. B. C. D. 【解析】根据椭圆定义,得 . ∵ ,∴ .∵ ,即 , 解得: ,∴ .又∵椭圆的离心率 ,∴该椭圆离心率的取值范围是 . 故符合题意的选项有BCD.故选:BCD. 11.设 , 分别是椭圆 的左、右焦点,点P在椭圆C上,若线段 的中点在y轴上,设 ,且 ,e为椭圆的离心率,则下列正确的有( ) A.当 时, B.e随着k的增大而增大 C.e可能等于 D.e可能等于 【解析】线段 的中点在y轴上, 是 的中点,故 轴, , ,则 , , ,即 ,整理得到 . 对选项A: 时, , ,正确; 对选项B: , ,故e随着k的增大而增大,正确; 对选项C: ,解得 ,不在范围内,错误; 对选项D: ,解得 ,满足 ,正确; 故选:ABD 12.已知直线 与椭圆C )交于A,B两点,线段AB的中点为,则C的离心率可能是( ) A. B. C. D. 【解析】设 , ,则 , 从而 ,故 ,由题意可得 , 故 ,又因为 ,则 ,从而 , 因为 ,所以 ,椭圆C的离心率 , 所以椭圆离心率范围为 ,故 与 满足要求.故选:BD 三、填空题:本大题共4小题,每小题5分,共20分.把答案填在答题卡中的横线上. 13.已知椭圆C的焦点为 , ,短轴的一个端点为B,且 是一个等边三角形,则椭圆C的离心 率为 . 【解析】因为 , ,所以依据题意可知 ,从而有 . 14.已知椭圆 , 是长轴的左、右端点,动点 满足 ,连接 ,交 椭圆于点 ,且 为常数,则椭圆离心率为 . 【解析】由题意设 , 因为 三点共线,所以 ,得 ,因为 ,所以 ,所以 因为 为常数,所以 ,所以 ,得 , 所以 ,所以离心率 15.已知椭圆 的左、右焦点分别为 、 ,半焦距为 , 是椭圆上异于左、右顶点 的任意一点,若存在以 为半径的圆内切于 ( 的面积满足 ),则椭圆的 离心率的取值范围是 . 【解析】 如图, ,因为 的内切圆半径为 , 所以 ,因为 , 所以 ,得 ,所以 ,得 , 因 ,得 ,得 ,因 ,故 , 16.若椭圆 上存在一点M,使得 ( , 分别为椭圆的左、右焦点), 则椭圆的离心率e的取值范围为 . 【解析】方法一:设点M的坐标是 ,则 .∵ , ,∴ , . ∵ ,∴ ,即 . 又点M在椭圆上,即 , ∴ ,即 ,∴ ,即 , 又 ,∴ ,故椭圆的离心率e的取值范围是 . 方法二:设点M的坐标是 ,由方法一可得 消去 ,得 , ∵ ,∴ ,由②得 ,此式恒成立. 由①得 ,即 ,∴ ,则 .又 ,∴ . 综上所述,椭圆的离心率e的取值范围是 . 方法三:设椭圆的一个短轴端点为P, ∵椭圆上存在一点M,使 , ∴ ,则 ,( 最大时,M为短轴端点)∴ ,即 ,又 ,∴ , 故椭圆的离心率e的取值范围为 . 四、解答题:本大题共6小题,共70分.解答应写出必要的文字说明、证明过程或演算步骤. 17.已知椭圆 的左右焦点分别为 、 ,M为椭圆上任意一点, 的周长为 . (1)求椭圆方程和椭圆的离心率; (2)过椭圆的下顶点 及右焦点 作直线与椭圆的另一个交点为 ,求 的面积. 【解析】(1)设椭圆的半焦距为 ,则 ,所以 ,故 , 因为M为椭圆 上一点,由椭圆定义可得 , 因为 的周长为 ,所以 ,所以 , 故椭圆方程为 ,椭圆 的离心率 ; (2)由(1)可得 , , ,所以直线 的方程为 , 联立 ,消 得 ,解得 或 ,所以点 的坐标为 , 所以 的面积 . 18.已知椭圆 与双曲线 ,有相同的左、右焦点 ,,若点 是 与 在第一象限内的交点,且 ,设 与 的离心率分别为 , ,求 的取值范围. 【解析】设 , , ,由椭圆的定义可得 , 由双曲线的定义可得 ,解得 , , 由 ,可得 ,即 ,由 , ,可得 , 由 ,可得 ,可得 ,即 ,则 , 设 ,则 ,由于函数 在 上递增, 所以 ,即 的取值范围为 . 19.设 分别是椭圆 的左、右焦点, 是椭圆 上一点且 与 轴垂直,直 线 与椭圆 的另一个交点为 . (1)若直线 的斜率为 ,求椭圆 的离心率; (2)若直线 在 轴上的截距为1,且 ,求椭圆 的方程. 【解析】(1)记 ,则 ,由 ,得 , , 如图,因为 ,所以点 在点 的上方,即 , 则 ,; ,或 (舍去) (2) 记直线 与 轴的交点为 ,则 ①, 轴,垂足为点 , 由比例关系可知, , 将 的坐标代入椭圆方程得 ② 由①②及 得 ,所以椭圆的方程为 . 20.设椭圆 的左、右焦点分别为 、 , 是 上一点, 轴, 的正 切值为 . (1)求 的离心率 ; (2)过点 的直线 与 交于 、 两点,若 面积的最大值为3,求 的方程. 【解析】(1)设椭圆C的半焦距c,则 ,直线 : , 由 得 ,不妨点 在第一象限,则 , 于是得 ,即 ,则有 , 又 ,解得 ,所以C的离心率等于 . (2)由(1)可设椭圆 的方程为 ,依题意, 设直线 的方程为 ,代入椭圆方程,得 .设 , ,则 , , 所以 的面积 , 令 ,则 ,所以 , 因为 ,所以当 时, ,则 在 上递减, 所以 ,所以 的最大值为 ,即 , 故椭圆 的方程为 . 21.设椭圆 的左、右焦点分别为 是椭圆上的一点, ,原点 到直 线 的距离为 . (1)求椭圆 的离心率; (2)平面上点B满足 ,过 与 平行的直线交 于 两点,若 ,求椭圆 的 方程. 【解析】(1)由题设 及 ,不妨设 , 所以 , ,解得 或 (舍去),从而 ,直线 的方程为 ,整理得 , 原点 到直线 的距离为 ,将 代入整理得 , 即 ,所以离心率 . (2)由(1)问可设椭圆方程为 ,则 , 因为 ,所以 为平行四边形, 所以直线 过 点,则 斜率为 ,则设直线 方程为 , 联立椭圆方程得 ,显然 ,则 , 则 ,解得 (负值舍去), 所以 ,所以椭圆方程为 . 22.如图,在平面直角坐标系 中, 、 、 分别为椭圆 的三个顶点, 为其右焦点,直线 与直线 相交于点 .(1)若点 在直线 上,求椭圆 的离心率; (2)设直线 与椭圆 的另一个交点为 , 是线段 的中点,椭圆 的离心率为 ,试探究 的值 是否为定值(与 , 无关).若为定值,求出该定值;若不为定值,请说明理由. 【解析】(1)由题意可知,点 , , 的坐标分别为 ( ),( ),( ), 所以直线 的方程为 ,直线 的方程为 . 由 和 ,消除 ,得 ,即为点 的横坐标. 因为点 在直线 上,所以 . 整理得 ,所以 ,所以离心率 . (2)当椭圆 的离心率为 时, , , 所以椭圆 的方程为 ,即 ,直线 的方程为 . 联立 ,消去 ,化简整理,得 ,所以点 的横坐标为 ,纵坐标为 . 因为点 的坐标为 ,所以 中点 的坐标为 . 又由(1)知点 的横坐标为 ,所以点 的纵坐标为 . 所以 , ,故 为定值.