当前位置:首页>文档>专题07解三角形(面积问题(含定值,最值,范围问题))(典型题型归类训练)(解析版)_02高考数学_2025年新高考资料_专项复习_三角函数、平面向量及解三角形

专题07解三角形(面积问题(含定值,最值,范围问题))(典型题型归类训练)(解析版)_02高考数学_2025年新高考资料_专项复习_三角函数、平面向量及解三角形

  • 2026-04-09 13:28:54 2026-04-09 13:28:54

文档预览

专题07解三角形(面积问题(含定值,最值,范围问题))(典型题型归类训练)(解析版)_02高考数学_2025年新高考资料_专项复习_三角函数、平面向量及解三角形
专题07解三角形(面积问题(含定值,最值,范围问题))(典型题型归类训练)(解析版)_02高考数学_2025年新高考资料_专项复习_三角函数、平面向量及解三角形
专题07解三角形(面积问题(含定值,最值,范围问题))(典型题型归类训练)(解析版)_02高考数学_2025年新高考资料_专项复习_三角函数、平面向量及解三角形
专题07解三角形(面积问题(含定值,最值,范围问题))(典型题型归类训练)(解析版)_02高考数学_2025年新高考资料_专项复习_三角函数、平面向量及解三角形
专题07解三角形(面积问题(含定值,最值,范围问题))(典型题型归类训练)(解析版)_02高考数学_2025年新高考资料_专项复习_三角函数、平面向量及解三角形
专题07解三角形(面积问题(含定值,最值,范围问题))(典型题型归类训练)(解析版)_02高考数学_2025年新高考资料_专项复习_三角函数、平面向量及解三角形
专题07解三角形(面积问题(含定值,最值,范围问题))(典型题型归类训练)(解析版)_02高考数学_2025年新高考资料_专项复习_三角函数、平面向量及解三角形
专题07解三角形(面积问题(含定值,最值,范围问题))(典型题型归类训练)(解析版)_02高考数学_2025年新高考资料_专项复习_三角函数、平面向量及解三角形
专题07解三角形(面积问题(含定值,最值,范围问题))(典型题型归类训练)(解析版)_02高考数学_2025年新高考资料_专项复习_三角函数、平面向量及解三角形
专题07解三角形(面积问题(含定值,最值,范围问题))(典型题型归类训练)(解析版)_02高考数学_2025年新高考资料_专项复习_三角函数、平面向量及解三角形
专题07解三角形(面积问题(含定值,最值,范围问题))(典型题型归类训练)(解析版)_02高考数学_2025年新高考资料_专项复习_三角函数、平面向量及解三角形
专题07解三角形(面积问题(含定值,最值,范围问题))(典型题型归类训练)(解析版)_02高考数学_2025年新高考资料_专项复习_三角函数、平面向量及解三角形
专题07解三角形(面积问题(含定值,最值,范围问题))(典型题型归类训练)(解析版)_02高考数学_2025年新高考资料_专项复习_三角函数、平面向量及解三角形
专题07解三角形(面积问题(含定值,最值,范围问题))(典型题型归类训练)(解析版)_02高考数学_2025年新高考资料_专项复习_三角函数、平面向量及解三角形
专题07解三角形(面积问题(含定值,最值,范围问题))(典型题型归类训练)(解析版)_02高考数学_2025年新高考资料_专项复习_三角函数、平面向量及解三角形
专题07解三角形(面积问题(含定值,最值,范围问题))(典型题型归类训练)(解析版)_02高考数学_2025年新高考资料_专项复习_三角函数、平面向量及解三角形
专题07解三角形(面积问题(含定值,最值,范围问题))(典型题型归类训练)(解析版)_02高考数学_2025年新高考资料_专项复习_三角函数、平面向量及解三角形
专题07解三角形(面积问题(含定值,最值,范围问题))(典型题型归类训练)(解析版)_02高考数学_2025年新高考资料_专项复习_三角函数、平面向量及解三角形
专题07解三角形(面积问题(含定值,最值,范围问题))(典型题型归类训练)(解析版)_02高考数学_2025年新高考资料_专项复习_三角函数、平面向量及解三角形
专题07解三角形(面积问题(含定值,最值,范围问题))(典型题型归类训练)(解析版)_02高考数学_2025年新高考资料_专项复习_三角函数、平面向量及解三角形
专题07解三角形(面积问题(含定值,最值,范围问题))(典型题型归类训练)(解析版)_02高考数学_2025年新高考资料_专项复习_三角函数、平面向量及解三角形
专题07解三角形(面积问题(含定值,最值,范围问题))(典型题型归类训练)(解析版)_02高考数学_2025年新高考资料_专项复习_三角函数、平面向量及解三角形
专题07解三角形(面积问题(含定值,最值,范围问题))(典型题型归类训练)(解析版)_02高考数学_2025年新高考资料_专项复习_三角函数、平面向量及解三角形
专题07解三角形(面积问题(含定值,最值,范围问题))(典型题型归类训练)(解析版)_02高考数学_2025年新高考资料_专项复习_三角函数、平面向量及解三角形
专题07解三角形(面积问题(含定值,最值,范围问题))(典型题型归类训练)(解析版)_02高考数学_2025年新高考资料_专项复习_三角函数、平面向量及解三角形
专题07解三角形(面积问题(含定值,最值,范围问题))(典型题型归类训练)(解析版)_02高考数学_2025年新高考资料_专项复习_三角函数、平面向量及解三角形
专题07解三角形(面积问题(含定值,最值,范围问题))(典型题型归类训练)(解析版)_02高考数学_2025年新高考资料_专项复习_三角函数、平面向量及解三角形
专题07解三角形(面积问题(含定值,最值,范围问题))(典型题型归类训练)(解析版)_02高考数学_2025年新高考资料_专项复习_三角函数、平面向量及解三角形
专题07解三角形(面积问题(含定值,最值,范围问题))(典型题型归类训练)(解析版)_02高考数学_2025年新高考资料_专项复习_三角函数、平面向量及解三角形
专题07解三角形(面积问题(含定值,最值,范围问题))(典型题型归类训练)(解析版)_02高考数学_2025年新高考资料_专项复习_三角函数、平面向量及解三角形
专题07解三角形(面积问题(含定值,最值,范围问题))(典型题型归类训练)(解析版)_02高考数学_2025年新高考资料_专项复习_三角函数、平面向量及解三角形
专题07解三角形(面积问题(含定值,最值,范围问题))(典型题型归类训练)(解析版)_02高考数学_2025年新高考资料_专项复习_三角函数、平面向量及解三角形
专题07解三角形(面积问题(含定值,最值,范围问题))(典型题型归类训练)(解析版)_02高考数学_2025年新高考资料_专项复习_三角函数、平面向量及解三角形
专题07解三角形(面积问题(含定值,最值,范围问题))(典型题型归类训练)(解析版)_02高考数学_2025年新高考资料_专项复习_三角函数、平面向量及解三角形
专题07解三角形(面积问题(含定值,最值,范围问题))(典型题型归类训练)(解析版)_02高考数学_2025年新高考资料_专项复习_三角函数、平面向量及解三角形
专题07解三角形(面积问题(含定值,最值,范围问题))(典型题型归类训练)(解析版)_02高考数学_2025年新高考资料_专项复习_三角函数、平面向量及解三角形
专题07解三角形(面积问题(含定值,最值,范围问题))(典型题型归类训练)(解析版)_02高考数学_2025年新高考资料_专项复习_三角函数、平面向量及解三角形
专题07解三角形(面积问题(含定值,最值,范围问题))(典型题型归类训练)(解析版)_02高考数学_2025年新高考资料_专项复习_三角函数、平面向量及解三角形
专题07解三角形(面积问题(含定值,最值,范围问题))(典型题型归类训练)(解析版)_02高考数学_2025年新高考资料_专项复习_三角函数、平面向量及解三角形
专题07解三角形(面积问题(含定值,最值,范围问题))(典型题型归类训练)(解析版)_02高考数学_2025年新高考资料_专项复习_三角函数、平面向量及解三角形

文档信息

文档格式
docx
文档大小
1.841 MB
文档页数
36 页
上传时间
2026-04-09 13:28:54

文档内容

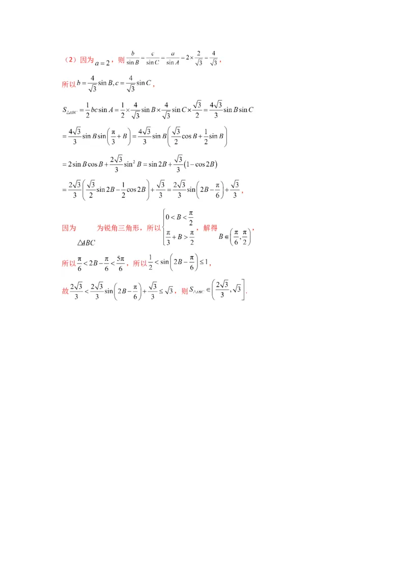
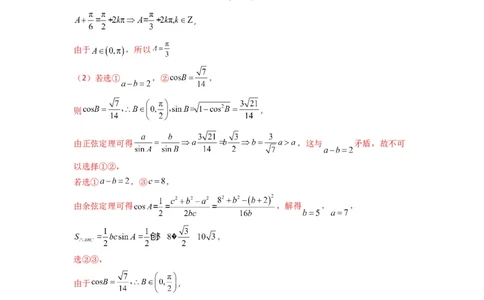
专题 07 解三角形面积问题问题 (含定值,最值,范围问题))(典型题型归类训练) 目录 一、必备秘籍..............................................1 二、典型题型..............................................2 题型一:求三角形面积(定值问题).......................2 题型二:求三角形面积(最值问题).......................6 题型三:求三角形面积(范围问题)......................11 题型四:四边形中面积问题..............................18 三、专项训练.............................................24 一、必备秘籍 基本公式1、正弦定理及其变形 基本公式2、余弦定理及其推论基本公式3、常用的三角形面积公式 1 (1)S = ×底×高; ΔABC 2 1 1 1 (2)S = absinC= bcsinA= casinB(两边夹一角); ΔABC 2 2 2 核心秘籍1、基本不等式 ① ② 核心秘籍2:利用正弦定理化角(如求三角形面积取值范围,优先考虑化角求范围) 利用正弦定理 , ,代入面积公式,化角,再结合辅助角公式, 根据角的取值范围,求面积的取值范围. 二、典型题型 题型一:求三角形面积(定值问题) 1.(23-24高二下·福建福州·期中)在 中,内角 所对的边分别为 ,且满 足 . (1)求角 的大小; (2)若 ,求 的面积. 【答案】(1) (2) ; 【分析】(1)由余弦定理求出即可. (2)利用边角转化求出角 ,进而由正弦定理求出 ,最后求出三角形面积.【详解】(1)在 中,由 ,则 , 由余弦定理知: , 因为 ,所以 . (2)因为 ,所以 ,即 , 由正弦定理 , 由 ,所以 , , 由 , ,解得: 或 , 即 或 , 当 时, , 在 中,由正弦定理 ,所以 , 所以 ; 当 时,三角形为等边三角形, , . 综上:当 时, ;当 时, . 2.(2024·北京丰台·二模)已知 满足 . (1)求 ; (2)若 满足条件①、条件②、条件③中的两个,请选择一组这样的两个条件,并求 的面积. 条件①: ;条件②: ;条件③: . 【答案】(1) (2)选①③,面积为 ,【分析】(1)根据辅助角公式可得 ,即可求解 , (2)选择①②,根据正弦定理可得 与 矛盾,即可求解,选择②③, 根据 ,故 , ,这与 矛盾,即可求解,选择①③,根据余弦 定理可得 , ,即可由面积公式求解. 【详解】(1)由 得 ,所以 , 由于 ,所以 (2)若选① ,② , 则 , 由正弦定理可得 ,这与 矛盾,故不可 以选择①②, 若选① ,③ , 由余弦定理可得 ,解得 , , , 选②③, 由于 , 又 ,故 , 而 ,故 ,这与 矛盾,因此不能选择②③ 3.(2024·北京西城·一模)在 中, . (1)求 的大小; (2)若 ,再从下列三个条件中选择一个作为已知,使 存在,求 的面积. 条件①: 边上中线的长为 ;条件②: ; 条件③: . 注:如果选择的条件不符合要求,第(2)问得0分;如果选择多个符合要求的条件分别解 答,按第一个解答计分. 【答案】(1) (2)答案见解析 【分析】(1)借助正弦定理计算即可得; (2)选条件①或③:借助余弦定理与面积公式计算即可得;不可选条件②,不存在这样的 . 【详解】(1)由 ,得 , 在 中,由正弦定理得 , 因为 ,所以 , 又 ,所以 ; (2)选条件①: 边上中线的长为 : 设 边中点为 ,连接 ,则 , 在 中,由余弦定理得 , 即 , 整理得 ,解得 或 (舍), 所以 的面积为 , 选条件③: : 在 中,由余弦定理得 ,即 , 整理得 ,解得 或 , 当 时, 的面积为 .当 时, 的面积为 . 不可选条件②,理由如下: 若 ,故 为钝角,则 , 则 , ,即 , 其与 为钝角矛盾,故不存在这样的 . 4.(2024·全国·模拟预测)在 中,内角 的对边分别为 ,已知 ,且 外接圆的面积为 . (1)求 . (2)若 ,求 的面积. 【答案】(1) (2) 【分析】(1)由已知结合正弦定理、 外接圆的半径以及两角和差的正弦公式求得结 果; (2)先求得 ,结合 的面积公式以及二倍角公式求得结果. 【详解】(1)由于 外接圆的面积为 ,故 外接圆的半径为1. 由正弦定理,得 ,则 . 又 , 所以 , 则 . 因为 ,所以 ,所以 . 又 ,所以 ; (2)由 ,得 , 结合 ,得 ,且 .由(1)知 ,所以 的面积 . 题型二:求三角形面积(最值问题) 1.(23-24高一下·浙江·期中)已知 的内角 所对的边分别为 且 与 垂直. (1)求 大小; (2)若 边上的中线长为 ,求 的面积的最大值. 【答案】(1) ; (2) . 【分析】(1)利用垂直的向量表示进行化简,再根据正弦定理结合条件即可得到结果; (2)利用余弦定理与 边上的中线有 进行化简,在利用基本不 等式即可得到结果. 【详解】(1)因为 , 垂直, 所以 . 由正弦定理,得 ,因为 , 所以 , , 所以 . (2)设 边上的中线为 , 在 中,由余弦定理得: , 即 ①. 在 和 中, ,所以 , 即 , , , 化简得 , 代入①式得, , 由基本不等式 , ∴ ,当且仅当 取到“ ”; 所以 的面积最大值为 . 2.(23-24高三下·全国·阶段练习) ABC中,a,b,c分别为角A,B,C的对边,且 . △ (1)求A; (2)若 ,求 ABC的面积S的最小值. △ 【答案】(1) ; (2) . 【分析】(1)结合已知条件,先利用 进行化简,再利用二倍角公式即可 求 ,从而可求A; (2)结合三角形面积公式 、基本不等式、余弦定理即可得到答案. 【详解】(1)由题意可得 , 因为 , 所以 . 因为 ,所以 , 即 , 因为 , 所以 , 所以 ,所以 , 可得 , 即 . (2)由(1)知 ;且 , 由余弦定理得 , 整理得 , 解得 或 (当 时, ,故舍去),(当且仅当 时 取等号). 从而 , 即△ABC面积S的最小值为 . 3.(23-24高二下·辽宁本溪·开学考试)在① ;② ;③ ;这三个条件中任选一个,补充在下面的问题 中,并解答问题(其中S为 的面积). 问题:在 中,角A,B,C的对边分别为a,b,c,且______. (1)求角B的大小; (2)AC边上的中线 ,求 的面积的最大值. 【答案】(1) (2) . 【分析】(1)若选①:根据正弦定理,化简得到 ,再由余弦定理得到 ,即可求解; 若选②:由三角形的面积公式和向量的数量积的运算公式,化简得到 ,得到 ,即可求解; 若选③:由正弦定理化简可得到 ,求得 ,即可求解.(2)根据向量的运算法则和基本不等式,化简得到 ,结合面积公式,即可求解. 【详解】(1)解:若选①:在 中,因为 , 由 , 可得 , 由正弦定理得 ,即 , 则 , 又因为 ,故 . 若选②:由 ,可得 ,所以 , 因为 ,所以 . 若选③:因为 , 正弦定理得 , 又因为 ,所以 , 即 , 因为 , ,所以 , 又因为 ,可得 ; 综上所述:选择①②③,都有 . (2)解:由 ,可得 , 所以 ,可得 ,当且仅当 时取等号, 则 ,当且仅当 时取等号, 则 的面积的最大值为 . 4.(23-24高一下·上海·阶段练习) 的内角A,B,C的对边分别为a,b,c,若 ;(1)求B; (2)若 ,试判断 的形状. (3)若 ,求 的面积的最大值. 【答案】(1) (2) 为等边三角形 (3) 【分析】(1)根据题意结合正弦定理分析求解; (2)根据题意结合余弦定理分析求解; (3)根据题意利用基本不等式可得 ,代入面积公式运算求解. 【详解】(1)因为 ,由正弦定理可得 , 因为 ,则 ,可得 , 即 ,所以 . (2)由(1)可知: , 由余弦定理可得: , 又因为 ,即 , 可得 ,整理得 ,即 , 所以 为等边三角形. (3)由(2)可知: ,即 , 当且仅当 时,等号成立, 所以 的面积的最大值为 . 5.(23-24高二上·云南·期末)在 中,角 、 、 所对的边分别为 、 、 ,且 满足 . (1)求角 ; (2)若 ,求 面积的最大值. 【答案】(1)(2) 【分析】(1)利用正弦定理结合两角和的正弦公式化简得出 的值,结合角 的取值 范围可得出角 的值; (2)利用余弦定理结合基本不等式可求得 的最大值,再结合三角形的面积公式可求得 面积的最大值. 【详解】(1)解:因为 , 由正弦定理可得 , 因为 、 ,则 ,可得 , 所以, ,故 . (2)解:由余弦定理可得 , 当且仅当 时,等号成立, 故 , 因此, 面积的最大值为 . 题型三:求三角形面积(范围问题) 1.(23-24高一下·广东·阶段练习)在锐角 中,内角 , , 所对边分别为 , , , . (1)求角 ; (2)设 是角 的平分线,与 边交于 ,若 , ,求 , ; (3)若 ,求 面积的取值范围. 【答案】(1) ; (2) , ; (3) . 【分析】(1)法一:利用余弦定理得到 ,再由余弦定理计算可得;法二: 利用正弦定理将边化角,再由两角和的正弦公式计算可得;(2)利用正弦定理及角平分线的性质得到 ,设 , ,再在 中利用余弦定理求出 ,即可得解; (3)首先得到 ,利用正弦定理得到 ,再根据 的范围及 正切函数的性质计算可得. 【详解】(1)法一:在锐角 中, , 由余弦定理得 ,化简得 , 可得 ,又 ,得 . 法二:在锐角 中, ,由正弦定理得 , 即 , 可得 , 又 , ,得 ,又 ,得 . (2)在 中,由正弦定理有 , 在 中,由正弦定理有 , 因为 是角 的平分线,故 , 又 ,故 , 所以 , 设 , , 在 中,由余弦定理,有 , 解得 ,所以 (负值舍去), 所以 , . (3)因为 , 由正弦定理 ,得 , 在锐角 中, , , , 即 ,可得 , 则有 , , , , 即 ,得 , 所以 面积的取值范围为 . 2.(2024·四川德阳·二模) 的内角 的对边分别为 ,已知 . (1)求 ; (2)若 为锐角三角形,且 ,求 面积的取值范围. 【答案】(1) (2) 【分析】(1)利用二倍角公式以及同角三角函数关系化简已知等式,可得 ,即 可求得答案; (2)利用正弦定理求出a的表达式,并结合恒等变换公式化简,利用 为锐角三角 形,求出角C的范围,即可求得a的取值范围,再利用三角形面积公式,即可求得答案. 【详解】(1)因为 中, ,即 , 而 ,故 , 故 ,又 ,则 ; (2)由(1)以及题设可得 ; 由正弦定理得 , 因为 为锐角三角形, , , 则 , 则 ,则 , 即 ,则 , 即 面积的取值范围为 . 3.(2024·山西·一模) 中角 所对的边分别为 ,其面积为 ,且 . (1)求 ; (2)已知 ,求 的取值范围. 【答案】(1) (2) 【分析】 (1)根据面积公式以及余弦定理即可求解 ,进而可求解 , (2)根据余弦定理结合不等式即可求解. 【详解】(1) 因为三角形的面积为 , 则 , 所以 ,又 ,则 ;(2)由于 ,所以 , 即 , 取等号, 故 , 故 4.(23-24高二上·河北秦皇岛·开学考试)在锐角 中,角A,B,C的对边分别为a, b,c,若 , . (1)求角B的大小和边长b的值; (2)求 面积的取值范围. 【答案】(1) , (2) 【分析】(1)利用两角和的正弦公式化简已知等式可得 ,结合B为锐角, 可得B的值,由正余弦定理化简已知等式即可求解b的值. (2)利用正弦定理,三角函数恒等变换的应用,三角形的面积公式可求 ,由题意可求范围 ,利用正弦函数的性质即可 求解其范围. 【详解】(1)∵ ,∴ , ∴ ,∴ , ∵B为锐角,∴ ,∵ , 由正余弦定理可得: , 整理可得 ,解得 . (2)∵ ,∴ , , ∴ , , ∵ , ,∴ , ∴ ,∴ , ∴ 5.(23-24高三上·湖南长沙·阶段练习) 的内角A,B,C所对边分别为a,b,c,点 O为 的内心,记 , , 的面积分别为 , , ,已知 , . (1)在① ;② ;③ 中选一个作 为条件,判断 是否存在,若存在,求出 的周长,若不存在,说明理由.(注: 如果选择多个条件分别解答,按第一个解答计分.) (2)若 为锐角三角形,求 面积的取值范围. 【答案】(1)见解析 (2) 【分析】(1)由题意,根据 的内切圆的性质可得 ,选①,根据余弦 定理可得 ,方程无解即△ABC不存在;选②,根据正弦定理可得 ,由 可得 ,方程无解即△ABC不存在;选③,根据三角恒等变换 可得 ,由(1)得 ,解得 ,可求出 的周长. (2)由三角形的面积可得 ,再由正弦定理和两角和的正弦公式可得 ,结合角C的取值范围即可求解. 【详解】(1)设 的内切圆半径为r,因为 , 所以 ,化简得: ,所以 ,因为 ,所以 , 选择①,因为 ,所以 , 因为 , ,所以 , 整理得 , 方程无实数解,所以 不存在. 选择②,因为 ,所以 , 因为 ,所以 ,所以 , 因为 , ,所以 , 整理得 ,方程无实数解,所以 不存在. 选择③,由 得: , 所以 ,即 ,所以 , 因为以 , , 所以 ,所以 ,解得 , 所以 存在且唯一, 的周长为 . (2)由(1)知, , 面积 , 因为 ,所以 , 因为 为锐角三角形, 所以 , ,解得: , 所以 ,所以 , , , 所以 的取值范围为 , 而 面积 .题型四:四边形中面积问题 1.(23-24高三上·湖南·阶段练习)如图,在平面四边形 中, . (1)若 ,求 的大小; (2)若 ,求四边形 面积的最大值. 【答案】(1) (2) 【分析】(1)在 中,先求出 ,再在 利用正弦定理求出 ,利用大 角对大边进行取舍; (2)把四边形 的面积用题干中给出的变量 进行表示,求解最值即可. 【详解】(1)解:由已知 ,得 , 所以 ,所以 . 在 中,因为 ,所以 ,又 , 由正弦定理得 ,得 , 因为 ,所以 ,所以 ,所以 . (2)在 中,由已知 , 所以 , 由余弦定理 , 在 中,因为 , 又 ,所以 所以 ,所以四边形 的面积 , 因为 ,所以 ,当 ,即 时, , 故四边形 面积的最大值为 . 2.(22-23高一下·广西南宁·期末)请从① ;② ;③ 这三个条件中任选一 个,补充在下面问题中,并加以解答(如未作出选择,则按照选择①评分.选择的编号请填 写到答题卡对应位置上). (1)求角C的大小; (2)若 ,D为 的外接圆上的点, ,求四边形ABCD面积的最大值. 【答案】(1) (2) 【分析】(1)选①,通过二倍角公式的化简求解;选②,通过余弦定理求解即可;选③, 通过边角互化求解即可; (2)将条件 转化为 ,然后结合基本不等式求取四边形面积的最大 值; 【详解】(1)选①: ,根据二倍角公式化简得: 即 因为 解得: 或 (舍去), 所以 ; 选② ,根据正弦定理得: 根据余弦定理得: 又因为 ,所以 ; 选③ ,根据正弦定理得: 因为 ,解得: ,所以 ; (2) ,根据数量积定义可知: 所以 ,则有: , 如图所示: , 根据正弦定理得: , 因为 根据基本不等式解得: ,当且仅当 时,等号成 立, 即 , 代入 , 解得: , 综上四边形ABCD面积的最大值为 . 3.(2023·云南保山·二模)如图,在平面四边形 中, , , .(1)当四边形 内接于圆O时,求角C; (2)当四边形 面积最大时,求对角线 的长. 【答案】(1) (2) . 【分析】(1)根据 ,结合余弦定理求解即可; (2)将四边形 的面积拆成两个三角形的面积之和,由余弦定理和三角形面积公式结 合三角函数的性质即可求解. 【详解】(1)由余弦定理可得: , , 所以 . 又四边形 内接于圆 , 所以 , 所以 , 化简可得 ,又 , 所以 . (2)设四边形 的面积为S, 则 , 又 , 所以 ,即 平方后相加得 ,即 , 又 , 所以 时, 有最大值,即S有最大值.此时, ,代入 得 . 又 ,所以 在 中,可得: ,即 . 所以,对角线 的长为 . 4.(22-23高三上·黑龙江牡丹江·期中)如图,在平面四边形ABCD中, , ,且 . (1)若 ,求 的值; (2)求四边形ABCD面积的最大值. 【答案】(1) ; (2) . 【分析】(1)由题可得 ,然后根据同角关系式及和差角公式求解; (2)根据余弦定理得到 ,然后根据三角形面积公式及三角恒等变换, 可得 ,再根据三角函数的性质求解. 【详解】(1)因为 , ,且 , 所以在 中, , , 所以 ;(2)设 , , 在 中,由余弦定理,得 , ∵ = ,又 , 当 时,四边形ABCD面积的最大值 . 5.(22-23高二上·陕西渭南·阶段练习)如图,已知圆 的半径为 ,点 在直径 的延 长线上, ,点 是圆 上半圆上的一个动点,以 为斜边做等腰直角三角形 ,且 与圆心分别在 两侧. (1)若 ,试将四边形 的面积 表示成 的函数; (2)求四边形 面积的最大值. 【答案】(1) ,其中 (2) 【分析】(1)利用余弦定理求出 ,求出 、 的面积关于 的表达式,相加 可得出四边形 的面积 表示成 的函数,并标出 的取值范围; (2)计算出 的取值范围,利用正弦型函数的基本性质可求得 的最大值. 【详解】(1)解:由余弦定理可得 , 因为 是以 为斜边的等腰直角三角形,则 , 所以,,其中 . (2)解:因为 ,则 ,故当 时,即当 时, 取最大值,即 . 因此,四边形 面积的最大值为 . 三、专项训练 1.(2024高三·全国·专题练习)在平面四边形 中,已知 四点共圆,且 . (1)求证: ; (2)若 ,求四边形 的面积. 【答案】(1)证明见解析 (2) 【分析】(1)分别在 和 中用正弦定理得到 ,然后根据 ,即可得到 ; (2)分别在 和 用余弦定理,再结合 ,得到 , ,最后利用三角形面积公式求面积即可. 【详解】(1)在 中,由正弦定理知 , 在 中,由正弦定理知 , 因为 , 所以 , , 所以 ; (2)在 中,由余弦定理知 ,在 中,由余弦定理知 , 因为 ,所以 , 即 ,解得 , 所以 ,所以 , 所以四边形 的面积: . 2.(2024高三下·全国·专题练习)如图,已知平面四边形 中, , , . (1)若 , , , 四点共圆,求 的面积; (2)求四边形 面积的最大值. 【答案】(1) (2) 【分析】(1)利用余弦定理写出 的表达式,结合A, , , 四点共圆求出 , 求出 的值,进而利用三角形的面积公式求解即可; (2)由(1)可得 ,表示出四边形 的面积S的表达式得 ,由题意,结合三角形内角的范围及余弦函数的性质即可求解. 【详解】(1)在 中,由余弦定理得 .① 在 中,由余弦定理得.② 因为A, , , 四点共圆,所以 ,因此 , 由①+②得 ,得 . 将 代入①,得 ,故 , 因此 . (2)由(1)可知 , 得 .③ 四边形 的面积 , 则 .④ 将③式两边同时平方,得 , 将④式两边同时平方,得 , 得 , 化简得 . 由于 , , 因此当 时, 取得最小值 , 此时四边形 的面积最大,且 ,得 , 故四边形 面积的最大值为 . 3.(23-24高一下·湖北·期中)在 中,角A,B,C的对边分别是a,b,c,且 . (1)求角 的大小; (2)若 , ,求 的面积. 【答案】(1) ; (2) .【分析】(1)由余弦定理得到 ,再根据题干中的关系可以得到 ,进而得到角 的大小; (2)根据 得到 ,从而确定 的值,由 得到 , 由正弦定理得到 ,从而由面积公式 得到 的面积. 【详解】(1)在 中,由余弦定理得 ,又 ,则 , 而 ,则 . (2)因为 ,所以 ,所以 ,从而 , , 由正弦定理 ,得 , 因此 . 4.(2024高一下·江苏·专题练习)已知 的内角 所对的边分别为 ,向量 与 平行. (1)求 ; (2)若 ,求 的面积. 【答案】(1) (2) 【分析】(1)由 ,得到 ,根据正弦定理求得 ,即可求解; (2)根据题意,利用余弦定理,列出方程,求得 ,结合三角形的面积公式,即可求 解. 【详解】(1)解:由向量 , , 因为 ,可得 , 又由正弦定理,可得 ,因为 ,可得 ,所以 ,即 , 又因为 ,所以 . (2)解:因为 且 , 由余弦定理得 ,即 , 可得 ,解得 或 (舍去), 所以 的面积为 . 5.(2024·全国·模拟预测)设 的内角A,B,C所对的边分别为a,b,c,且满足 , . (1)求 的周长的取值范围; (2)若 的内切圆半径 ,求 的面积S. 【答案】(1) (2) 【分析】(1)结合题意与余弦定理可得 ,结合正弦定理可将周长的范围转化为正弦型函 数的范围问题,计算即可得; (2)由三角形内切圆的性质可得 ,结合余弦定理计算即可 得,或由三角形内切圆中边长与圆相切,结合切线长定理,可得 的值,再由 计算即可得. 【详解】(1)由 及余弦定理得, ,即 , 所以 . 又 ,所以 , 所以由正弦定理得 , 所以 , ,则 , 又因为 ,所以 ,所以 , 即 ,即 , 故 的周长的取值范围为 ; (2)解法一: 由(1)得 ,因为 , , ,所以 , 由 得 , 从而 , 即 , 解得 或 (舍去), 所以 . 解法二: 如图,设圆O是 的内切圆,各切点分别为D,E,H. 由(1)知 ,所以 . 又因为 , 所以由切线长定理得 , 于是 , , 又 ,即 , 所以 .6.(2023·广东·二模)如图,在平面内,四边形 的对角线交点位于四边形内部, , , 为正三角形,设 . (1)求 的取值范围; (2)当 变化时,求四边形 面积的最大值. 【答案】(1) (2) 【分析】(1)由四边形可知 的取值范围,再在 余弦定理可得 且 ,解不等式可得 的取值范围; (2)在 由余弦定理可知 ,分别求 和 面积,可得四边形 面积的最值. 【详解】(1)因为四边形 的对角线交点位于四边形内部, 所以 ,又因为 为正三角形, ,所以 . 在 中,由余弦定理得 , 又因 , 将 , 代入并整理得 且 ,解得 , 所以 的取值范围是 ; (2)在 中,由余弦定理可得, ,由(1)知 ,所以 , 又因为 为正三角形,所以 , 又 , 所以 , 所以当 ,即 时,且 成立, 四边形 的面积取得最大值,最大值为 . 7.(23-24高三上·广西柳州·阶段练习)如图某公园有一块直角三角形 的空地,其中 长 千米,现要在空地上围出一块正三角形区域 建文化景 观区,其中 分别在 上.设 . (1)若 ,求 的边长; (2)求 的边长最小值. 【答案】(1) ; (2) 【分析】(1)根据几何关系列方程求解即可; (2)利用正弦定理和辅助角公式求解最小值即可. 【详解】(1)设 的边长为 千米,由 得 ,中, 为等边三角形, , 故 ,即 的边长为 . (2)设 的边长为 千米,所以 , 中, , 由正弦定理得, ,故 , 其中 ,当 时, 取得最小值 , 即 的边长最小值为 . 8.(2024·全国·模拟预测)记锐角三角形 的内角 , , 的对边分别为 , , ,已知 , . (1)求 . (2)求 面积的取值范围. 【答案】(1) ; (2) . 【分析】(1)方法一:由余弦定理角化边求解;方法二:由正弦定理边化角求解. (2)利用正弦定理得 ,结合 为锐角三角形, 求得 ,进而求得 ,即可求解. 【详解】(1)方法一:由余弦定理,得 ,解得 . 又 ,所以由正弦定理,得 . 又 为锐角三角形,所以 . 方法二:由题意知, . 由正弦定理得 ,所以 , 所以 ,即 ; 又因为 ,所以 ,又因为 ,所以 . (2)由正弦定理,得 ; 因为 为锐角三角形,所以 , 解得 ,所以 ,所以 . 因为 ,所以 ,所以 . 故 面积的取值范围为 . 9.(23-24高三上·云南昆明·阶段练习)在 中,角 , , 的对边分别为 , , , . (1)求 ; (2)若点 是 上的点, 平分 ,且 ,求 面积的最小值. 【答案】(1) (2) 【分析】(1)利用正弦定理边化角结合两角和的正弦公式,化简已知等式,可得 ,结合同角的三角函数关系,即可求得答案; (2)利用面积相等,即 ,推出 ,利用基本不等式结合三 角形面积公式,即可求得答案. 【详解】(1)由题意知 中, , 故 ,即 , 即 , 所以 ,而 , 故 ,即 ,又 ,故 ; (2)由于点 是 上的点, 平分 ,且 , 则 , 由 ,得 , 即 ,则 ,当且仅当 时取等号, 故 ,当且仅当 时取等号, 所以 , 即 面积的最小值为 . 10.(23-24高二上·黑龙江哈尔滨·开学考试)设 内角A,B,C所对的边分别为a, b,c,且 . (1)求角A的大小; (2)若 ,求锐角 的面积的取值范围. 【答案】(1) (2) 【分析】(1)利用正弦定理的边角变换,结合三角函数的和差公式求得 的值,从而 得解; (2)利用正弦定理和三角形面积公式,结合三角函数恒等变换得到 关于 的表达 式,再由锐角 得到 的取值范围,从而得解. 【详解】(1)因为 , 所以由正弦定理,得 . 又在 中, , 所以 ,则 , 又 ,则 ,所以 , 又 ,所以 .(2)因为 ,则 , 所以 , , 因为 为锐角三角形,所以 ,解得 , 所以 ,所以 , 故 ,则 .