当前位置:首页>文档>微专题03三角形内的动点问题(专项训练)(解析版)_北师大初中数学_8下-北师大版初中数学_2026春新版_第二套-东方_02.北师大数学8下试题+复习26春_专项训练

微专题03三角形内的动点问题(专项训练)(解析版)_北师大初中数学_8下-北师大版初中数学_2026春新版_第二套-东方_02.北师大数学8下试题+复习26春_专项训练

  • 2026-04-14 08:11:24 2026-04-14 03:16:13

文档预览

微专题03三角形内的动点问题(专项训练)(解析版)_北师大初中数学_8下-北师大版初中数学_2026春新版_第二套-东方_02.北师大数学8下试题+复习26春_专项训练
微专题03三角形内的动点问题(专项训练)(解析版)_北师大初中数学_8下-北师大版初中数学_2026春新版_第二套-东方_02.北师大数学8下试题+复习26春_专项训练
微专题03三角形内的动点问题(专项训练)(解析版)_北师大初中数学_8下-北师大版初中数学_2026春新版_第二套-东方_02.北师大数学8下试题+复习26春_专项训练
微专题03三角形内的动点问题(专项训练)(解析版)_北师大初中数学_8下-北师大版初中数学_2026春新版_第二套-东方_02.北师大数学8下试题+复习26春_专项训练
微专题03三角形内的动点问题(专项训练)(解析版)_北师大初中数学_8下-北师大版初中数学_2026春新版_第二套-东方_02.北师大数学8下试题+复习26春_专项训练
微专题03三角形内的动点问题(专项训练)(解析版)_北师大初中数学_8下-北师大版初中数学_2026春新版_第二套-东方_02.北师大数学8下试题+复习26春_专项训练
微专题03三角形内的动点问题(专项训练)(解析版)_北师大初中数学_8下-北师大版初中数学_2026春新版_第二套-东方_02.北师大数学8下试题+复习26春_专项训练
微专题03三角形内的动点问题(专项训练)(解析版)_北师大初中数学_8下-北师大版初中数学_2026春新版_第二套-东方_02.北师大数学8下试题+复习26春_专项训练
微专题03三角形内的动点问题(专项训练)(解析版)_北师大初中数学_8下-北师大版初中数学_2026春新版_第二套-东方_02.北师大数学8下试题+复习26春_专项训练
微专题03三角形内的动点问题(专项训练)(解析版)_北师大初中数学_8下-北师大版初中数学_2026春新版_第二套-东方_02.北师大数学8下试题+复习26春_专项训练
微专题03三角形内的动点问题(专项训练)(解析版)_北师大初中数学_8下-北师大版初中数学_2026春新版_第二套-东方_02.北师大数学8下试题+复习26春_专项训练
微专题03三角形内的动点问题(专项训练)(解析版)_北师大初中数学_8下-北师大版初中数学_2026春新版_第二套-东方_02.北师大数学8下试题+复习26春_专项训练
微专题03三角形内的动点问题(专项训练)(解析版)_北师大初中数学_8下-北师大版初中数学_2026春新版_第二套-东方_02.北师大数学8下试题+复习26春_专项训练
微专题03三角形内的动点问题(专项训练)(解析版)_北师大初中数学_8下-北师大版初中数学_2026春新版_第二套-东方_02.北师大数学8下试题+复习26春_专项训练
微专题03三角形内的动点问题(专项训练)(解析版)_北师大初中数学_8下-北师大版初中数学_2026春新版_第二套-东方_02.北师大数学8下试题+复习26春_专项训练
微专题03三角形内的动点问题(专项训练)(解析版)_北师大初中数学_8下-北师大版初中数学_2026春新版_第二套-东方_02.北师大数学8下试题+复习26春_专项训练
微专题03三角形内的动点问题(专项训练)(解析版)_北师大初中数学_8下-北师大版初中数学_2026春新版_第二套-东方_02.北师大数学8下试题+复习26春_专项训练
微专题03三角形内的动点问题(专项训练)(解析版)_北师大初中数学_8下-北师大版初中数学_2026春新版_第二套-东方_02.北师大数学8下试题+复习26春_专项训练
微专题03三角形内的动点问题(专项训练)(解析版)_北师大初中数学_8下-北师大版初中数学_2026春新版_第二套-东方_02.北师大数学8下试题+复习26春_专项训练
微专题03三角形内的动点问题(专项训练)(解析版)_北师大初中数学_8下-北师大版初中数学_2026春新版_第二套-东方_02.北师大数学8下试题+复习26春_专项训练
微专题03三角形内的动点问题(专项训练)(解析版)_北师大初中数学_8下-北师大版初中数学_2026春新版_第二套-东方_02.北师大数学8下试题+复习26春_专项训练
微专题03三角形内的动点问题(专项训练)(解析版)_北师大初中数学_8下-北师大版初中数学_2026春新版_第二套-东方_02.北师大数学8下试题+复习26春_专项训练
微专题03三角形内的动点问题(专项训练)(解析版)_北师大初中数学_8下-北师大版初中数学_2026春新版_第二套-东方_02.北师大数学8下试题+复习26春_专项训练
微专题03三角形内的动点问题(专项训练)(解析版)_北师大初中数学_8下-北师大版初中数学_2026春新版_第二套-东方_02.北师大数学8下试题+复习26春_专项训练
微专题03三角形内的动点问题(专项训练)(解析版)_北师大初中数学_8下-北师大版初中数学_2026春新版_第二套-东方_02.北师大数学8下试题+复习26春_专项训练
微专题03三角形内的动点问题(专项训练)(解析版)_北师大初中数学_8下-北师大版初中数学_2026春新版_第二套-东方_02.北师大数学8下试题+复习26春_专项训练
微专题03三角形内的动点问题(专项训练)(解析版)_北师大初中数学_8下-北师大版初中数学_2026春新版_第二套-东方_02.北师大数学8下试题+复习26春_专项训练
微专题03三角形内的动点问题(专项训练)(解析版)_北师大初中数学_8下-北师大版初中数学_2026春新版_第二套-东方_02.北师大数学8下试题+复习26春_专项训练
微专题03三角形内的动点问题(专项训练)(解析版)_北师大初中数学_8下-北师大版初中数学_2026春新版_第二套-东方_02.北师大数学8下试题+复习26春_专项训练
微专题03三角形内的动点问题(专项训练)(解析版)_北师大初中数学_8下-北师大版初中数学_2026春新版_第二套-东方_02.北师大数学8下试题+复习26春_专项训练
微专题03三角形内的动点问题(专项训练)(解析版)_北师大初中数学_8下-北师大版初中数学_2026春新版_第二套-东方_02.北师大数学8下试题+复习26春_专项训练
微专题03三角形内的动点问题(专项训练)(解析版)_北师大初中数学_8下-北师大版初中数学_2026春新版_第二套-东方_02.北师大数学8下试题+复习26春_专项训练
微专题03三角形内的动点问题(专项训练)(解析版)_北师大初中数学_8下-北师大版初中数学_2026春新版_第二套-东方_02.北师大数学8下试题+复习26春_专项训练
微专题03三角形内的动点问题(专项训练)(解析版)_北师大初中数学_8下-北师大版初中数学_2026春新版_第二套-东方_02.北师大数学8下试题+复习26春_专项训练
微专题03三角形内的动点问题(专项训练)(解析版)_北师大初中数学_8下-北师大版初中数学_2026春新版_第二套-东方_02.北师大数学8下试题+复习26春_专项训练
微专题03三角形内的动点问题(专项训练)(解析版)_北师大初中数学_8下-北师大版初中数学_2026春新版_第二套-东方_02.北师大数学8下试题+复习26春_专项训练
微专题03三角形内的动点问题(专项训练)(解析版)_北师大初中数学_8下-北师大版初中数学_2026春新版_第二套-东方_02.北师大数学8下试题+复习26春_专项训练
微专题03三角形内的动点问题(专项训练)(解析版)_北师大初中数学_8下-北师大版初中数学_2026春新版_第二套-东方_02.北师大数学8下试题+复习26春_专项训练
微专题03三角形内的动点问题(专项训练)(解析版)_北师大初中数学_8下-北师大版初中数学_2026春新版_第二套-东方_02.北师大数学8下试题+复习26春_专项训练
微专题03三角形内的动点问题(专项训练)(解析版)_北师大初中数学_8下-北师大版初中数学_2026春新版_第二套-东方_02.北师大数学8下试题+复习26春_专项训练
微专题03三角形内的动点问题(专项训练)(解析版)_北师大初中数学_8下-北师大版初中数学_2026春新版_第二套-东方_02.北师大数学8下试题+复习26春_专项训练
微专题03三角形内的动点问题(专项训练)(解析版)_北师大初中数学_8下-北师大版初中数学_2026春新版_第二套-东方_02.北师大数学8下试题+复习26春_专项训练
微专题03三角形内的动点问题(专项训练)(解析版)_北师大初中数学_8下-北师大版初中数学_2026春新版_第二套-东方_02.北师大数学8下试题+复习26春_专项训练
微专题03三角形内的动点问题(专项训练)(解析版)_北师大初中数学_8下-北师大版初中数学_2026春新版_第二套-东方_02.北师大数学8下试题+复习26春_专项训练
微专题03三角形内的动点问题(专项训练)(解析版)_北师大初中数学_8下-北师大版初中数学_2026春新版_第二套-东方_02.北师大数学8下试题+复习26春_专项训练
微专题03三角形内的动点问题(专项训练)(解析版)_北师大初中数学_8下-北师大版初中数学_2026春新版_第二套-东方_02.北师大数学8下试题+复习26春_专项训练
微专题03三角形内的动点问题(专项训练)(解析版)_北师大初中数学_8下-北师大版初中数学_2026春新版_第二套-东方_02.北师大数学8下试题+复习26春_专项训练
微专题03三角形内的动点问题(专项训练)(解析版)_北师大初中数学_8下-北师大版初中数学_2026春新版_第二套-东方_02.北师大数学8下试题+复习26春_专项训练
微专题03三角形内的动点问题(专项训练)(解析版)_北师大初中数学_8下-北师大版初中数学_2026春新版_第二套-东方_02.北师大数学8下试题+复习26春_专项训练
微专题03三角形内的动点问题(专项训练)(解析版)_北师大初中数学_8下-北师大版初中数学_2026春新版_第二套-东方_02.北师大数学8下试题+复习26春_专项训练
微专题03三角形内的动点问题(专项训练)(解析版)_北师大初中数学_8下-北师大版初中数学_2026春新版_第二套-东方_02.北师大数学8下试题+复习26春_专项训练
微专题03三角形内的动点问题(专项训练)(解析版)_北师大初中数学_8下-北师大版初中数学_2026春新版_第二套-东方_02.北师大数学8下试题+复习26春_专项训练
微专题03三角形内的动点问题(专项训练)(解析版)_北师大初中数学_8下-北师大版初中数学_2026春新版_第二套-东方_02.北师大数学8下试题+复习26春_专项训练
微专题03三角形内的动点问题(专项训练)(解析版)_北师大初中数学_8下-北师大版初中数学_2026春新版_第二套-东方_02.北师大数学8下试题+复习26春_专项训练
微专题03三角形内的动点问题(专项训练)(解析版)_北师大初中数学_8下-北师大版初中数学_2026春新版_第二套-东方_02.北师大数学8下试题+复习26春_专项训练
微专题03三角形内的动点问题(专项训练)(解析版)_北师大初中数学_8下-北师大版初中数学_2026春新版_第二套-东方_02.北师大数学8下试题+复习26春_专项训练
微专题03三角形内的动点问题(专项训练)(解析版)_北师大初中数学_8下-北师大版初中数学_2026春新版_第二套-东方_02.北师大数学8下试题+复习26春_专项训练
微专题03三角形内的动点问题(专项训练)(解析版)_北师大初中数学_8下-北师大版初中数学_2026春新版_第二套-东方_02.北师大数学8下试题+复习26春_专项训练
微专题03三角形内的动点问题(专项训练)(解析版)_北师大初中数学_8下-北师大版初中数学_2026春新版_第二套-东方_02.北师大数学8下试题+复习26春_专项训练

文档信息

文档格式
docx
文档大小
3.129 MB
文档页数
55 页
上传时间
2026-04-14 03:16:13

文档内容

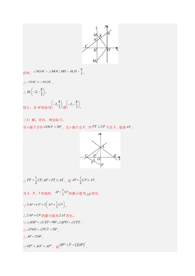
微专题 03 三角形内的动点问题 题型 1 特殊三角形存在性问题 存在性问题:判断或求解动点位置使特定条件成立 定义:动点运动过程中,是否存在某一位置,使得形成的图形(如等腰三角形、直角三角形、全等三角 形)满足题目给定的条件。 常见场景: 等腰三角形存在性:动点运动过程中,是否存在点P,使得△PBC为等腰三角形(如PA=PB、PA= AB、PB=AB); 直角三角形存在性:动点运动过程中,是否存在点P,使得△PBC为直角三角形(如∠P=90°、∠B= 90°、∠C=90°); 全等三角形存在性:两个动点运动过程中,是否存在某一时刻,使得两个三角形全等(如对应边相等、 对应角相等)。 解题方法: 分类讨论:根据等腰三角形的“腰”或直角三角形的“直角顶点”进行分类(如等腰三角形的三种情 况:PA=PB、PA=AB、PB=AB); 建立方程:利用勾股定理、全等三角形的性质建立方程,求解动点的位置(如时间t); 验证合理性:检查解是否在动点的运动范围内(如t≥0且不超过边的长度除以速度)。 1.(25-26八年级下·全国·课后作业)如图,直线 与 轴、 轴分别交于点 , , .(1)求点 的坐标和 的值. (2)若 是第一象限内的直线 上的一个动点,当 的面积是 时, 轴上是否存在一 点 ,使得 是等腰三角形?若存在,请求出满足条件的所有点 的坐标;若不存在,请说明理由. 【答案】(1) , (2)存在, 的坐标为 或 或 或 . 【分析】(1)先求得直线 与 轴的交点,即可求出点 的坐标,从而得到 的长度;结合 已知 可得 ,进而求得点 的坐标,将点 的坐标代入解析式中,即可求得 的值; (2)以 、 、 分别是等腰三角形的顶角顶点分三种情况进行讨论,利用等腰三角形的性质即可求 解. 【详解】(1)解:把 代入 ,得 , 点 的坐标为 , . , , 点 的坐标为 . 把 代入 ,得 , 解得 . (2)解:存在.由题意,得点 的坐标为 , ,解得 ,此时 , 点 的坐标为 , 由勾股定理,得 . 分以下三种情况讨论: ①当 是等腰三角形 的顶角顶点时, , 点 的坐标为 或 ; ②当 是等腰三角形 的顶角顶点时, ,点 与点 关于过点 且与 轴垂直的直线对称, 点 的坐标为 ; ③当 是等腰三角形 的顶角顶点时, . 设点 的坐标为 . , 由勾股定理,得 , 解得 ,则点 的坐标为 . 综上所述,满足条件的点 的坐标为 或 或 或 . 【点睛】本题主要考查的是一次函数的综合应用、解答本题主要应用了待定系数法求函数的解析式、 等腰三角形的判定,分类讨论是解题的关键. 2.(25-26八年级上·山东济南·期中)平面直角坐标系中,直线 交x轴于点 ,交y轴于点 ,a、b满足 .(1)求A、B两点的坐标; (2)在射线 上是否存在点D,使 为等腰三角形?若存在,请直接写出点D的坐标,若不存在, 请说明理由; (3)如图2,点B、Q关于x轴对称,M为x轴上A点右侧一点,过点M作 交直线 于点N, 是否存在点M,使 ,若存在,求点M的坐标,若不存在,请说明理由. 【答案】(1) , (2) 或 或 (3) 【分析】本题考查了平面直角坐标系、等腰三角形的性质、相似三角形的判定与性质以及三角形面积 的计算,熟练运用坐标运算、分类讨论思想和相似三角形的性质是解答本题的关键. (1)利用二次根式的被开方数非负性求出 , 的值,进而确定A、B两点的坐标; (2)设出点D的坐标,根据等腰三角形的三种分类( 、 、 ),结合两点间 距离公式求解; (3)先求出直线 的解析式,设出点M的坐标,通过证明三角形全等得到线段关系,再结合三角形 面积公式列出方程求解. 【详解】(1)解:∵a、b满足 , ∴ , ∴ , ,∴ , ; (2)解:存在点D,使 为等腰三角形. ∵ , , ∴在 中,由勾股定理可得 , ∵在射线 上存在点D,使 为等腰三角形, ①若 , ∴ , ∵此时点D在 轴负半轴, ∴ ; ②若 ,则点D与点 重合, ∴ ; ③若 ,则 , ∴ ; 综上所述, 或 或 . (3)解:存在,理由如下: 过点 作 轴,交 轴于点 ,如图: ∵ , , ∴ , ∵ ,∴ , ∵点 、 关于 轴对称, ∴ , , ∵ , ∴ , ∵ 轴, ∴ 为等腰直角三角形, ∴ , ∵ , ∴ , ∴ , 由对称性质可知: , , , ∴ , ∵ , ∴ , ∴ , ∵ , ∴ , ∴ , ∴ , ∴ , 在 和 中, , ∴ , ∴ ,∴ . 3.(2025八年级上·江苏泰州·专题练习)如图,直线 与x轴、y轴分别交于A,B两点,其中 点C,D分别为直线l: 与x轴、y轴的交点. (1)求A点的坐标和k的值; (2)在直线l上存在一点P,使得 求点P的坐标. (3)点M是直线l上的一个动点,那么在x轴上是否存在点N,使得 为等腰直角三角形?若存在, 请直接写出点M以及对应的点N的坐标;若不存在,请说明理由. 【答案】(1) , (2)点P坐标为 或 . (3)存在,① 或 ,② 或 ,③ , 或 , ; 【分析】本题主要考查一次函数与几何综合,等腰三角形的性质和判定; (1)求出点B坐标,根据 ,推出点A坐标,把 代入直线 即可解决问题. (2)设 .分两种情形①当P在 上方时,根据 计算即可. ②当P在 下方,与C重合时,满足(3)存在,分三种情形讨论即可:①作 的平分线交 于点M,易知 ,作 交 x轴于N,作 于 ,则 是等腰直角三角形; 是等腰直角三角形.②当点M与 D重合时,在x轴上截取 ,此时 是等腰直角三角形, 是等腰直 角三角形,③作 平分 交 于M.易知 ,作 轴于N,作 交 于 ,则 是等腰直角三角形, 是等腰直角三角形. 【详解】(1)解:直线 与y轴交于B点, ∴ , ∴ , ∵ , ∴ , ∴ , 把 代入直线 得到 , ∴ . ∴ , . (2)解:如下图中,设 . ①当P在 上方时,∵ , ∴ , 解得 ,此时点P坐标为 . ②当P在 下方,与C重合时, 满足 , 此时点P坐标为 . (3)解:存在.理由如下: ①如下图中,作 的平分线交 于点M,易知 ,作 交x轴于N,作 于 . 则 是等腰直角三角形, , 是等腰直角三角形, . ②如下图中,当点M与D重合时,在x轴上截取 , 此时 是等腰直角三角形,此时 , 是等腰直角三角形,此时 .③如下图中,作 平分 交 于M.易知 ,作 轴于N,作 交 于 . 则 是等腰直角三角形, , ; 是等腰直角三角形, , . 4.(25-26八年级上·广西柳州·期中)定义:我们将形如 的函数称为一次函数 的“伴随函数”,例如: 是一次函数 的“伴随函数”. (1)如图1,若一次函数 的图象与 轴, 轴分别交于 两点,其中 .求此一 次函数的“伴随函数”表达式; (2)若(1)中“伴随函数”的图象交 轴于点 ,取线段 中点 ,过点 作直线 轴,在直线 上是否存在点 ,使得 ?若存在,请求出点 的坐标并说明理由;(3)在线段 上取一点 ,使得 的值最小.将点 向右平移一个单位长度得到点 ,连接 ,在直线 上是否存在点 ,使得 是以 为腰的等腰三角形?若存在,请求出点 的坐标 并说明理由. 【答案】(1) (2)存在, 或 (3)存在, 或 或 【分析】本题考查了待定系数法求函数解析式、一次函数图象与坐标轴交点,等腰三角形的定义,相 似三角形的判定和性质,直角三角形的性质和勾股定理,熟练掌握相关知识,并运用数形结合的思想 分析问题进行分类讨论是解题的关键. (1)直接利用待定系数法求出一次函数表达式,再写出其“伴随函数”的表达式即可; (2)设直线l交x轴于点H, 交 于点K,根据中点坐标公式求出点N的坐标,证明 后,根据 的性质求出一个坐标,再根据轴对称的性质求另一种情况即可; (3)在x轴下方作 ,交y轴于点F,作 于点T,连接 ,当A、P、T共线时, 的最小值为 的长,可得 的最小值为 的长,利用直角三角形的性质结合勾股 定理可求得点P的坐标为 ,求出直线 的解析式为 ,可得 ,分两种情况讨 论即可. 【详解】(1)解:把 代入 ,得 , 解得 , ∴一次函数的表达式为 , ∴此一次函数的“伴随函数”表达式为 ; (2)解:存在,理由如下:设直线l交x轴于点H, 交 于点K, 令 ,则 , ∴ ,即 , ∵ ,取线段 中点 , ∴ , , ∴ , ∵ , , ∴ , ∴ , ∴ , ∴ , ∵ , ∴ , ∴ ,即 , ∴ , ∴ ; 作点M关于x轴的对称点 ,如图,此时, , ∴ , ∴ ; 综上,点M坐标为 或 ; (3)解:存在,理由如下: 在x轴下方作 ,交y轴于点F,作 于点T,连接 , ∴ ,即 , 当A、P、T共线时, 的最小值为 的长, ∵ , ∴ 的最小值为 的长, ∵ , ∴ , ∴ , ∵ ,即 ,∴ , ∴ , ∵将点 向右平移一个单位长度得到点 , ∴ , 设直线 的解析式为 , ∴ ,解得 , ∴直线 的解析式为 , ∵点Q在直线 上, ∴ , ∵ , ∴ , 当 即 时, ∴ ,解得 , ∴ , ∴点Q的坐标为 或 ; 当 即 时,∴ ,解得 或 (舍), ∴ , ∴点Q的坐标为 ; 综上,点Q的坐标为 或 或 . 5.(24-25八年级下·河北邯郸·期中)定义:如果一个三角形中有两个内角 满足 ,那么 我们称这个三角形为“近直角三角形”. (1)在 中, ,则 ___________“近直角三角形”(填“是”或“不 是”); (2)如图①,若 是“近直角三角形”, , ,则 ___________; (3)如图②,在 中, ,在 的延长线上是否存在点 ,使得 是“近直角三角形”?若存在,求出 的长;若不存在,请说明理由. 【答案】(1)是 (2) (3)存在, 的长为3 【分析】本题是三角形的综合题,主要考查了直角三角形的性质,三角形的内角和定理,等腰三角形 的判定和性质等知识,正确的理解“近直角三角形”是解题的关键. (1)先根据三角形的内角和定理可得 ,再根据“近直角三角形”即可作判断; (2)根据“近直角三角形”的定义列等式即可解答; (3)根据 是“近直角三角形”,由新定义可得两种情况: 或 ,即可求解. 【详解】(1)解: , , , ,三角形 是“近直角三角形”; 故答案为:是; (2)解: , 不可能是 或 , 当 时, , ,不成立; 当 时, , ,则 , ; 故答案为: ; (3)解:存在, 如图, , , , , , , 是“近直角三角形”, 或 , ①当 时, , , , , ; ②当 时, , , , , ; 综上, . 6.(25-26八年级上·陕西咸阳·月考)如图,在平面直角坐标系中,函数 的图象为直线 ,函数的图象为直线 ,直线 交 轴于点 ,交直线 于点 . (1)求点 的坐标和直线 的函数表达式; (2)请判断 是否为直角三角形?并说明理由; (3)直线 上是否存在一点 ,使得 ?若存在,求出点 的坐标,若不存在,请说明理由. 【答案】(1) ;直线 的函数表达式为 (2) 是直角三角形,理由见解析 (3) 或 【分析】本题主要考查了一次函数与几何综合,求一次函数解析式,两点间距离公式和勾股定理的逆 定理,正确求出直线 的函数表达式是解题的关键. (1)把点M的坐标代入正比例函数解析式中求出点M的坐标,再利用待定系数法求出直线 的函数表 达式,则可求出点C的坐标; (2)利用两点间距离公式求出 的三边长的平方,再利用勾股定理的逆定理求解即可; (3)求出 的面积,则可得到 的面积,根据三角形面积计算公式求出点P的纵坐标即可 得到答案. 【详解】(1)解:把 代入 得 ,解得 , ∴ , 把 代入 得 ,解得 , ∴直线 的函数表达式为 , 在 中,当 时, ,∴ ; (2)解: 是直角三角形,理由如下: 由(1)得 , , ∴ , , , ∴ , ∴ 是直角三角形; (3)解:由(1)得 , , ∴ , ∴ , ∴ , ∴ , ∴ , ∴ , 在 中,当 时, ,当 时, , ∴点P的坐标为 或 . 题型 2 动点求值问题 求值问题:计算具体的数量(如时间、长度、角度): 定义:动点运动过程中,求某一时刻的时间、线段的长度或角度的大小。 常见场景:求时间:动点P从A出发沿AB运动,求某个三角形为等腰三角形时的时间t; 求长度:动点P从A出发沿AB运动,求某条线段的长度(用含t的代数式表示); 求角度:动点P从A出发沿AB运动,求某个角的大小(用含t的代数式表示)。 解题方法: 用t表示线段长度:根据动点的速度和时间,用含t的代数式表示线段长度; 利用几何性质:利用三角形的内角和、勾股定理、全等三角形的性质建立方程,求解t或长度; 代入计算:将t代入方程,计算出具体的长度或角度。 1.(25-26八年级上·浙江金华·期中)如图,直线 , 平分 ,过点 作 交 于点 ;动点 、 同时从 点出发,其中动点 以 的速度沿射线 方向运动,动点 以 的速度沿射线 上运动;已知 ,设动点 , 的运动时间为 . (1)试求 的度数; (2)若 ,试求动点 , 的运动时间 的值; (3)试问当动点 , 在运动过程中,是否存在某个时间 ,使得 与 全等?若存在,请求 出时间 的值;若不存在,请说出理由. 【答案】(1) (2) (3)存在, 【分析】本题是三角形综合题,考查等腰直角三角形的性质、角平分线的性质定理、全等三角形的判 定和性质、三角形的面积等知识,解题的关键是学会构建方程解决问题. (1)根据直线 , 平分 ,得出 ,结合 即可得出 的度数; (2)作 ,则 ,根据 可得 的值,分别用 表示 , 即可求得 的值,即可解题; (3)当 点在 点上方时,易得 时, ,分别用 表示 , 即可求得 的 值; 【详解】(1)解: , 平分 , ,, , ; (2)作 , , ∵ 平分 ,则 , , , , , , 解得: ; 当 点在 点右侧时, , ,解得 . (3) , , 当 时, , 即 ,或 , 解得: 或 舍弃 , 答: , . 2.(25-26八年级上·吉林长春·期末)【问题发现】如图 ,点 为等边 边 上一动点,以 为边作等边 ,连接 ,猜想 与 的数量关系为______, ______. 【类比探究】 和 均为等腰直角三角形, ,如图 ,若点 为线段 上一动点,试判断 、 、 存在什么数量关系,并说明理由. 【拓展延伸】在(2)的基础上,若点 为线段 延长线上一动点,如图 ,当 , , 则 的值是______.【答案】【问题发现】 , ;【类比探究】 ,理由见解析;【拓展延伸】 【分析】本题主要考查了等边三角形的性质,等腰直角三角形的性质,全等三角形的判定和性质,勾 股定理.熟练掌握以上知识是解题的关键. (1)根据等边三角形的性质结合角的等量代换可证得 ,由全等三角形的性质即可 得出结论. (2)根据等腰直角三角形的性质结合角的等量代换可证得 ,可得 , ,从而可证得 ,在 中,由勾股定理即可得出结论. (3)连接 ,根据等腰直角三角形的性质结合角的等量代换可证得 ,可得 , ,从而可证得 ,在 中,由勾股定理即可得解. 【详解】解:【问题发现】 和 都是等边三角形, , , , ,即 , 在 和 中, , , , . 故答案为: , . 【类比探究】 ,理由如下: 和 均为等腰直角三角形, ,, , , , 即 , 在 和 中, , , , ; ; 在 中,由勾股定理,得: , ; 【拓展延伸】如图所示,连接 , , ,即 , 在 和 中, , , , , , , , ,在 中,由勾股定理,得: . 故答案为: . 3.(24-25八年级上·广东广州·期中)如图,直线 , 平分 ,过点 作 交 于点C.动点D,E同时从点A出发,其中动点E以 的速度沿射线 运动,动点 以 的速 度在直线 上运动.已知 ,设动点D,E的运动时间为 . (1) 的度数为________; (2)当点D沿射线 运动时,若 ,求t的值; (3)当动点D在直线 上运动时,是否存在某个时间t,使得 与 全等?若存在,请求出时 间t的值;若不存在,请说出理由. 【答案】(1) (2) 或4 (3)2或6 【分析】(1)根据角平分线的定义、直角三角形的锐角互余即可解决问题; (2)作 于 , 于 .由 平分 ,推出 ,由 , , ,可得 ,解方程即可解决问题. (3)存在.由 , ,可知当 时, ,列出方程即可解 决问题. 【详解】(1)解:如图1中,, , 平分 , , , , , 故答案为: ; (2)解:如图2中, ①当 在线段 上时,作 于 , 于 . 平分 , , , , , , ; ②当点 运动到 延长线上,同法可得 时,也满足条件, 当 或4时,满足 ; (3)解:存在某个时间 ,使得 与 全等;理由如下:由(1)知 , , 是等腰直角三角形, , , 当 时, , , , 时, 当 在 延长线上时, , 解得: , 综上所述,满足条件的 的值为2或6, 故答案为:2或6. 【点睛】此题是三角形综合题,主要考查了等腰直角三角形的性质,全等三角形的判定和性质,角平 分线的性质,三角形的面积等知识,解题的关键是学会构建方程解决问题,属于中考常考题型. 4.(24-25八年级上·广东肇庆·期中)综合与探究:在 中, ,点 从点 出发 以 的速度沿线段 向点 运动. (1)如图1,设点 的运动时间为 ,当 ______ 时, 是直角三角形; (2)如图2,若另一动点 从点 出发,沿线段 向点 运动,如果动点 , 都以 的速度同时 出发,设运动时间为 ,求当 为何值时, 是直角三角形; (3)如图3,若另一动点 从点 出发,沿射线 方向运动,连接 交 点 ,且动点 , 都以 的速度同时出发. ①设运动时间为 ,那么当 为______ 时, 是等腰三角形? ②如图4,连接 在点 , 的运动过程中,请证明 和 的面积始终相等.【答案】(1) (2)当 为 或 时, 是直角三角形 (3)① ;②见解析 【分析】(1)由题意可得 是等边三角形,推出当 为 的中点时, ,此时 是 直角三角形,得到 ,即可求解; (2)根据题意可得: , ,进而得到 ,由 是等边三角形,可得 , 分两种情况:当 时,当 时,根据含 角的直角三角形的性质,列出关于 的方程即 可求解; (3)①根据三角形的外角性质可得 ,推出 是等腰三角形,此时只能使 , 然后证明 是直角三角形,再列出关于 的方程即可求解;②过点 作 交 于点 ,过 点 作 于点 ,可得 是等边三角形,推出 ,证明 ,得 到 ,即可证明. 【详解】(1)解: , 是等边三角形, 当 为 的中点时, ,此时 是直角三角形, , , 故答案为: ; (2)根据题意可得: , , , 是等边三角形, , 当 时, ,, , , 解得: ; 当 时, , , ,即 , 解得: ; 综上所述,当 为 或 时, 是直角三角形; (3)① 是等边三角形, , , 是等腰三角形,此时只能使 , , , , , , , , 解得: , 当 为 时, 是等腰三角形, 故答案为: ;②证明:如图,过点 作 交 于点 ,过点 作 于点 , 是等边三角形, , 是等边三角形, , , , 在 和 中, , , , 和 的高均为 , , . 【点睛】本题考查了全等三角形的判定与性质,等腰三角形的判定与性质,含 角的直角三角形的性 质,等边三角形的判定与性质,三角形的外角性质,解题的关键是灵活运用相关知识. 5.(24-25八年级上·河北唐山·月考)如图,射线 , 平分 ,过点 作 交 于点 ;动点 、 同时从 点出发,其中动点 以 的速度沿射线 方向运动,动点 以 的速度在射线 上运动;已知 ,设动点 , 的运动时间为 .(1) 的度数为________; (2)若 ,试求动点 、 的运动时间 的值; (3)试问当动点 、 在运动过程中,存在某个时间 ,使得 ,直接写出 的值. 【答案】(1) (2)当 或12时, (3) 【分析】(1)根据 , 平分 ,得出 ,根据 ,得出 ; (2)分两种情况分别讨论,①当点 在线段 上时,②当点 运动到点 的右侧时; (3)先证明 ,得出 ,说明当 在线段 上,且 时, ,得出 ,求出t的值即可. 【详解】(1)解:∵ , ∴ , ∵ 平分 , ∴ , ∵ , ∴ , ∴ ; (2)解:①当点 在线段 上时,过 作 于 , 于 ,如图所示:∵ 平分 , ∴ , 由题意得, , , ∵ , ∴ , ∴ , ∴ ; ②当点 运动到点 的右侧时, , 解得: , 综上分析可知:当 或12时, . (3)解:∵ , 平分 , ∴ , ∵ , ∴ , ∴ , ∴ , ∴ , ∴当 在线段 上,且 时, , ∴ , 解得: ,∴当 时, . 【点睛】本题主要考查了角平分线的性质,全等三角形的判定与性质,等腰三角形的判定和性质,以 及一元一次方程的应用,进行分类讨论是解答本题的关键. 6.(24-25八年级下·山东青岛·期中)如图, 为等腰三角形, , 动点 从点 出发,沿 方向匀速运动,速度为 ;动点 同时从点 出发,沿 方向匀速运 动,速度为 .连接 、 ,设运动时间为 ,请解答下列问题: (1)当 时,求t的值; (2)设 的面积为 ,求 与t之间的函数关系式; (3)是否存在某一时刻t,使得 为等腰三角形?若存在,请直接写出t的值;若不存在,请说明理 由. 【答案】(1) (2) (3) 或 或 【分析】本题是三角形的综合题,考查了等腰三角形的判定与性质,勾股定理,含 度角的直角三角 形的性质,三角形的面积等知识,根据题意作出辅助线,构造出直角三角形是解题的关键. (1)根据等腰三角形三线合一的性质可得 ,再列方程即可解答; (2)过点 作 于 , 过点 作 于 , 过点 作 于 , 根据 即可解答;(3)分三种情况: ①如图 , ,过点 作 于 , ②如图 , ③如 图 , ,过点 作 于 ,根据 列方程即可解答. 【详解】(1)解:∵ , , , ∴ , ∴ , 解得 ; (2)∵ , , ∴ , 如图 , 过点 作 于 , 过点 作 于 , 过点 作 于 , ∴ , 由题意得: , , , 由(1)同理得: , 在 中, , 由勾股定理得: , ,; (3)存在,分三种情况: ①如图 , 过点 作 于 , , 在 中, , , ∵ , , ; ②如图 , , ∵ , ∴ , ∴ ; ③如图 , ,过点 作 于 , ∴ , ∵ , , ,, , , , , 综上, 的值是 或 或 题型 3 定值问题 定值问题:证明或计算恒定不变的数量: 定义:动点运动过程中,某一数量(如角度、线段长度的比值)始终保持不变,证明其定值或计算其 值。 常见场景: 角度定值:动点P在BC上运动,证明两角和为定值(利用三角形内角和); 线段比值定值:动点P在BC上运动,证明两条线段比值为定值(利用整式的乘除进行化简)。 解题方法: 寻找不变量:在动点运动过程中,某些量是不变的(如等边三角形的内角60°、等腰三角形的腰长); 利用几何定理:利用三角形内角和、全等三角形的性质证明定值; 特殊值验证:取动点运动过程中的特殊位置(如中点、端点),计算定值,再推广到一般情况。 1.(24-25八年级上·河南周口·期末)(1)如图1, 为等边三角形,动点D在边 上,动点E在 边 上.若这两点分别从点B,A同时出发,以相同的速度分别由点B向点A和由点A向点C运动, 连接 交于点P,则在动点D,E的运动过程中, 与 之间的数量关系是 ______________________.(2)如图2,若把(1)中的“动点D在边 上,动点E在边 上”改为“动点D在射线 上运 动,动点E在射线 上运动”,其他条件不变,上述结论还成立吗?请说明理由. (3)如图3,若把(1)中的“动点D在边 上”改为“动点D在射线 上运动”,连接 ,交 于点M,其他条件不变,则在动点D,E的运动过程中, 与 之间存在怎样的数量关系?请 写出简要的证明过程. 【答案】(1) ;(2)成立,理由见解析;(3) ,证明见详解 【分析】本题考查全等三角形的判定和性质、等边三角形的性质,掌握全等三角形的判定定理和性质 定理是解题的关键. (1)根据题意得 , 和 ,即可证明 ,则有 ; (2)由题意得, ,进一步得 ,结合等边三角形的性质即可证明 ,有 ; (3)作 交 于H,则 , , ,有 为等 边三角形,进一步得 ,即可证明 ,则 . 【详解】解:(1)∵ 是等边三角形, ∴ , , 由题意得, , 在 和 中, , ∴ , ∴ ; (2) 成立, 理由如下:由题意得, ,∵ , , ∴ , 在 和 中, , ∴ , ∴ , (3) , 理由如下:作 交 于H,如图, ∵ 为等边三角形, , ∴ , , , ∴ 为等边三角形, ∴ , ∵ , ∴ , 在 和 中, , ∴ , ∴ . 2.(25-26八年级上·江苏苏州·月考)如图,在平面直角坐标系中,直线 的解析式为 ,直线 与 交于点 ,与 轴交于点 ,且 .(1)求直线 的解析式; (2)线段 上是否存在点P,使得 将 的面积分为 两部分.若存在,请求出点P的坐标; 若不存在,请说明理由; (3)射线 上是否存在点M,使得 ?若存在,求出点M的坐标;若不存在,请说 明理由. 【答案】(1) (2)存在, 或 ,理由见解析 (3)存在, 或 ,理由见解析 【分析】(1)根据非负数的性质,解方程 ,求出a和b,再用待定系数法求直线 的解析式; (2)设 ,由 将 的面积分为 两部分,得到 或 ,再列方程求解即 可; (3)先进行分类讨论,当点M在y轴右侧时,在x正半轴上取点E,使得 ,连接 ,过 点E作 的垂线,交 于点F,作 轴,垂足为G,设点E坐标为 ,点F坐标为 . 不难得出, 是等腰直角三角形.根据等腰直角三角形的性质,可以证出 ,由全等的性质,计算出点E的坐标,直线 与 的交点即为点M,利用一次函数计算即可.当点M在 y轴左侧时,容易得出此时直线 与直线 关于y轴对称,利用对称性算出点M的坐标. 【详解】(1)解: , ∴ , , , , 设直线 的解析式为 , 把 , 代入 , 得 , 解得 , 直线 的解析式为 ; (2)解:存在,理由如下: 设 ,则 , , , 若 将 的面积分为 两部分,则 或 , 即 或 , ∴ 或 , ∴ 或 ,∴ 或 ; (3)解:存在,理由如下: ①当点M在y轴右侧时, 如图,在x正半轴上取点E,使得 ,连接 ,过点E作 的垂线,交 于点F,作 轴,垂足为G,设点E坐标为 ,点F坐标为 . 由题意可知,直线 与 的交点即为所求的点M. ∵ , , ∴ 是等腰直角三角形, ∴ , , ∵ 轴, ∴ , ∵ , , ∴ , 在 和 中, , ∴ , ∴ , ,∵点E坐标为 ,点F坐标为 ,点B坐标为 ∴ , , , , ∴ , 解得, , ∴点E坐标为 , 设直线 的函数解析式为 , 将 , 代入得, , 解得, , ∴直线 的函数解析式为 , 联立方程 , 解得, , ∴点M坐标为 , ②当点M在y轴左侧时, 如图,作点E关于y轴的对称点H,连接 ,由对称的性质可得, ,点H坐标为 , 由①可知, , ∴ , ∴直线 与与 的交点即为所求的点M. 设直线 的函数解析式为 , 将 , 代入得, , 解得, , ∴直线 的函数解析式为 , 联立方程 , 解得, , ∴点M坐标为 ,综上所述,点M的坐标为 或 . 【点睛】本题考查了一次函数与角度相关的综合问题,一次函数与面积的相关问题,用待定系数法求 一次函数的解析式,等腰直角三角形的性质,全等三角形的判定与性质,构造等腰直角三角形解题是 关键. 3.(25-26八年级上·四川达州·月考)如图,在平面直角坐标系中,直线 的解析式为 ,直线 与 交于点 ,与y轴交于点 . (1)求直线 的解析式; (2)点 为直线 的动点,若 ,请求出点 的坐标; (3)直线 上是否存在一个点 ,使得 ?若存在,请直接写出点 的坐标;若不 存在,请说明理由. 【答案】(1) (2)点 的坐标为 或 (3)存在, 【分析】(1)将 代入 得出 ,进而根据 、 待定系数法求解析式, 即可求解;(2)根据 得出 或 ,分别代入 的解析式为 ,求得纵坐标,即可 求解; (3)先求得直线 交 轴于点 ,作点 关于 轴的对称点 ,连接 ,以 为直 角边向 下方作等腰 ,使 ,过点 作 轴于 ,再证得 ,可求得 ,运用待定系数法求得直线 和 的解析式,联立 的解析式即可求得点M的坐标. 【详解】(1)解:∵ 在 上, ∴ 设 , 将 、 代入表达式得 ,解得 , 直线 的解析式为 ; (2)解:设 , ∵ 、 ∴ ∵ ∴ ∴ 或当 时, 当 时, ∴点 的坐标为 或 (3)解:存在. 理由如下: 由(1)知直线 的解析式为 , 当 时, ,解得 , ∴直线 交 轴于点 , 作点 关于 轴的对称点 ,连接 ,以 为直角边向 下方作等腰 ,使 ,过点 作 轴于 ,如图所示: 是等腰直角三角形, , , , , 在 和 中, , ∴ ,, , ∴ , 设直线 的解析式为 , 将 、 代入解析式得, , 解得 , ∴直线 的解析式为 , 直线 的解析式为 , 联立得 , 解得 , ∴ . 【点睛】本题考查了待定系数法求一次函数解析式、一次函数的图象和性质、坐标系中求三角形面积、 等腰直角三角形的判定和性质、全等三角形的判定和性质等,熟练掌握待定系数法求函数解析式,数 形结合是解题的关键. 4.(23-24八年级下·四川成都·期末)如图,在 中, , 于点 M,D是线段 上的动点,F是线段 上的动点(点D不与点M重合),运动过程中D始终为 中点.(1)求证: ; (2)将线段 绕点D逆时针旋转 得到线段 ,连接 , ,试判断 与 的位置关系,并 说明理由; (3)将“D是线段 上的动点,F是线段 上的动点(点D不与点M重合)”条件变为“D是线段 上的动点,F是射线 上的动点(点D不与点M重合)”,其余条件不变.在(2)的条件下, 若直线 与 互相垂直,垂足为H.当 时,求 的值. 【答案】(1)证明见解析 (2) ,理由见解析 (3) 的值为 或 【分析】(1)根据 可得 为等腰三角形, ,再根据 可得点M是 中 点,结合 始终为 中点, ,即可证得 ; (2)延长 至 ,使得 ,连接 , ,利用三角形中位线性质得到 ,且 ,利用旋转的性质得到 , ,证明 ,得到 ,利用等腰三角形三线合一即可说明 与 的位置关系; (3)根据D是线段 上的动点,F是射线 上的动点(点D不与点M重合),分以下两种情况讨 论,①当F在 左侧时,根据题意作 交 于点 ,②当F在 右侧时,根据题意作 交 于点 ,连接 , , ,延长 至 ,使得 ,连接 , ,由 (2)同理可得 ,由①同理可得 ,根据这两种情况结合直角三角形性质,三角形外 角性质和勾股定理求解,即可解题. 【详解】(1)证明: , 为等腰三角形, ,, 点M是 中点, , 始终为 中点, , , , , ; (2)解: ,理由如下: 延长 至 ,使得 ,连接 , , D始终为 中点, ,且 , 由旋转性质可知, , , , , , , , , , , , ; (3)解:①当F在 左侧时, 根据题意作 交 于点 ,, , , , 解得 , , , , , , , , , , , , 设 ,则 , , , , , , , ,, , ; ②当F在 右侧时, 根据题意作 交 于点 , 连接 , , ,延长 至 ,使得 ,连接 , , 由(2)同理可得 ,由①同理可得 , 由题可得 , , , , 解得 , , , , , , , 设 ,则 , , , ,, , , , ; 综上所述, 的值为 或 . 【点睛】本题考查了等腰三角形的判断与性质,勾股定理,直角三角形性质,全等三角形的性质与判 断,三角形外角性质,三角形中位线定理,解题的关键是熟练掌握相关性质定理并灵活应用. 5.(24-25八年级上·辽宁铁岭·期末)在等边 中,线段 为 边上的中线.动点D在直线 上时,以 为一边在 的下方作等边 ,连接 . (1)若点D在线段 上时(如图①),则 ____ (填“>”“<”或“=”), _____度; (2)设直线 与直线 的交点为O. ①当动点D在线段 的延长线上时(如图②),试判断 与 的数量关系,并说明理由; ②当动点D在线段 的延长线上时(如图②),求 的度数; ③当动点D在直线 上时,试判断 是否为定值?若是,请直接写出 的度数. 【答案】(1) , (2)① ,理由见解析;② ;③ 为定值 ,理由见解析 【分析】本题主要考查了等边三角形的性质,全等三角形的判定和性质,解题的关键是熟练掌握等边 三角形三边相等,三个角都是 ,以及全等三角形对应边相等,对应角相等.(1)根据等边三角形的性质可得 ,即可得出 ,根据 即可证 明 ,即可得出 ;根据“三线合一”即可求出 的度数; (2)①用和(1)相同的方法,证明 即可得出结论;②根据 可得 ,在 中,根据直角三角形两个锐角互余,即可得出结论;③分点D在线段 上,点D在线段 的延长线上,点D在线段 的延长线上,三种情况讨论,同理②即可得出 结论. 【详解】(1)解:∵ 和 是等边三角形, ∴ , , , ∴ ,即 , 在 和 中, , ∴ , ∴ ; ∵线段 为 边上的中线, 是等边三角形, ∴ . 故答案为:=, . (2)解:① ,理由见解析; ∵ 和 是等边三角形, ∴ , , , ∴ ,即 , 在 和 中, , ∴ , ∴ ; ②∵线段 为 边上的中线, 是等边三角形,∴ , , ∵ , ∴ , 在 中, ; ③ 为定值,理由如下: 情况一:当点D在线段 上时,如图: ∵线段 为 边上的中线, 是等边三角形, ∴ , , ∵ , ∴ , 在 中, , 情况二:当点D在线段 的延长线上时,由②知 ; 情况三,当点D在线段 的延长线上时,如图: ∵ 和 是等边三角形, ∴ , , , ∴ ,即 , 在 和 中, ,∴ , ∴ , ∴ ∵线段 为 边上的中线, 是等边三角形, ∴ , , ∴ , 在 中, , ∴ 的值为定值, . 6.(2025八年级上·全国·专题练习)已知 为等边三角形 的角平分线,动点E在直线 上(不与 点A重合),连接 ,以 为一边在 的下方作等边三角形 ,连接 . (1)如图①,若点E在线段 上,且 ,则 _; (2)如图②,若点E在 的反向延长线上,且直线 相交于点M. ①求 的度数; ②若 的边长为8,P,Q为直线 上的两个动点,且 ,连接 ,判断 的面 积是否为定值.若是,请直接写出这个定值;若不是,请说明理由. 【答案】(1) (2)① ;② 的面积是定值,定值为20 【分析】(1)利用等边三角形的性质得出角的度数,并判定出 为等腰直角三角形,得出 ,利用角的和差进行求解即可; (2)①根据等边三角形的性质证明 ,得出 ,然后利用角的和差进行求 解即可; ②过点B作 于点H,利用含 角的直角三角形的性质求出三角形的高,即可得出结论. 【详解】(1)解:∵ 为等边三角形,∴ , ∵ 为等边三角形, 平分 , ∴ , ∵ , ∴ 为等腰直角三角形, ∴ , ∴ , 故答案为: ; (2)解:① 都是等边三角形, , , , . ∵ 为等边三角形, 平分 , , , , . , ; ② 的面积是定值,定值为20.理由如下: 如图,过点B作 于点H. 在 中, ,, . 【点睛】本题主要考查了等边三角形的性质,等腰直角三角形的判定和性质,全等三角形的判定和性 质,含 角的直角三角形的性质,解题的关键是熟练掌握以上性质.