当前位置:首页>文档>专题一 微专题4 函数的极值、最值_02高考数学_2025年新高考资料_二轮复习_2025年高考数学大二轮_2025数学二轮专题复习学生用书Word版文档_专题强化练

专题一 微专题4 函数的极值、最值_02高考数学_2025年新高考资料_二轮复习_2025年高考数学大二轮_2025数学二轮专题复习学生用书Word版文档_专题强化练

  • 2026-04-14 08:42:05 2026-04-14 07:29:43

文档预览

专题一 微专题4 函数的极值、最值_02高考数学_2025年新高考资料_二轮复习_2025年高考数学大二轮_2025数学二轮专题复习学生用书Word版文档_专题强化练
专题一 微专题4 函数的极值、最值_02高考数学_2025年新高考资料_二轮复习_2025年高考数学大二轮_2025数学二轮专题复习学生用书Word版文档_专题强化练
专题一 微专题4 函数的极值、最值_02高考数学_2025年新高考资料_二轮复习_2025年高考数学大二轮_2025数学二轮专题复习学生用书Word版文档_专题强化练
专题一 微专题4 函数的极值、最值_02高考数学_2025年新高考资料_二轮复习_2025年高考数学大二轮_2025数学二轮专题复习学生用书Word版文档_专题强化练
专题一 微专题4 函数的极值、最值_02高考数学_2025年新高考资料_二轮复习_2025年高考数学大二轮_2025数学二轮专题复习学生用书Word版文档_专题强化练
专题一 微专题4 函数的极值、最值_02高考数学_2025年新高考资料_二轮复习_2025年高考数学大二轮_2025数学二轮专题复习学生用书Word版文档_专题强化练
专题一 微专题4 函数的极值、最值_02高考数学_2025年新高考资料_二轮复习_2025年高考数学大二轮_2025数学二轮专题复习学生用书Word版文档_专题强化练
专题一 微专题4 函数的极值、最值_02高考数学_2025年新高考资料_二轮复习_2025年高考数学大二轮_2025数学二轮专题复习学生用书Word版文档_专题强化练
专题一 微专题4 函数的极值、最值_02高考数学_2025年新高考资料_二轮复习_2025年高考数学大二轮_2025数学二轮专题复习学生用书Word版文档_专题强化练
专题一 微专题4 函数的极值、最值_02高考数学_2025年新高考资料_二轮复习_2025年高考数学大二轮_2025数学二轮专题复习学生用书Word版文档_专题强化练
专题一 微专题4 函数的极值、最值_02高考数学_2025年新高考资料_二轮复习_2025年高考数学大二轮_2025数学二轮专题复习学生用书Word版文档_专题强化练

文档信息

文档格式
docx
文档大小
4.069 MB
文档页数
7 页
上传时间
2026-04-14 07:29:43

文档内容

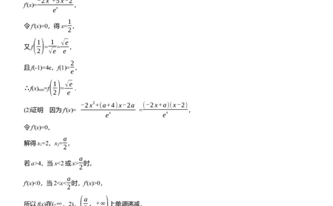
专题一 微专题 4 函数的极值、最值 (分值:100分) 一、单项选择题(每小题5分,共30分) 1.(2024·辽宁省部分重点中学协作体模拟)下列函数中,既是定义域上的奇函数又存在极小值的是( ) A.f(x)=xsin x 1 B.f(x)=x+ x 1 C.f(x)=ex+ ex D.f(x)=|x+1|-|x-1| x 2.(2024·西安模拟)函数f(x)= 在[-3,3]上的最大值和最小值分别是( ) x2+1 6 6 2 2 A. ,- B. ,- 13 13 5 5 3 3 1 1 C. ,- D. ,- 10 10 2 2 3.(2024·银川模拟)若函数f(x)=(x2-ax-2)ex在x=-2处取得极大值,则f(x)的极小值为( ) A.-6e2 B.-4e C.-2e2 D.-e 4.已知函数f(x)=ln x+ax存在最大值0,则a的值为( ) 1 A.-2 B.- e C.1 D.e 5.(2024·楚雄模拟)若a>b,则函数y=a(x-a)(x-b)2的图象可能是( ) a 6.(2024·咸阳模拟)已知函数f(x)=cos x+ x2,若x=0是函数f(x)的唯一极小值点,则a的取值范围为( ) 2 A.[1,+∞) B.(-1,1)C.[-1,+∞) D.(-∞,1] 二、多项选择题(每小题6分,共12分) 7.(2024·杭州模拟)已知函数f(x)=(x+1)ex,则下列结论正确的是( ) A.f(x)在区间(-2,+∞)上单调递增 1 B.f(x)的最小值为- e2 C.方程f(x)=2的解有2个 D.导函数f'(x)的极值点为-3 8.(2024·新课标全国Ⅱ)设函数f(x)=2x3-3ax2+1,则( ) A.当a>1时,f(x)有三个零点 B.当a<0时,x=0是f(x)的极大值点 C.存在a,b,使得x=b为曲线y=f(x)的对称轴 D.存在a,使得点(1,f(1))为曲线y=f(x)的对称中心 三、填空题(每小题5分,共10分) 9.(2024·宜宾模拟)已知函数f(x)=x3+ax2+bx+a2在x=-1处有极值8,则f(1)= . 10.如图所示为某“胶囊”形组合体,由中间是底面半径为1,高为2的圆柱,两端是半径为1的半球组成, 现欲加工成一个圆柱,使得圆柱的两个底面的圆周落在半球的球面上,则当圆柱的体积最大时,圆柱的底 面半径为 . 四、解答题(共31分) 2x2-ax+a 11.(14分)(2024·深圳模拟)已知函数f(x)= ,其中a∈R. ex (1)若a=1,求f(x)在[-1,1]上的最小值;(5分) (2)求证:f(x)的极大值恒为正数.(9分) 12.(17分)(2024·泸州模拟)已知函数f(x)=2x3-ax2+2(a>0). (1)求曲线y=f(x)在点(0,f(0))处的切线方程;(6分) (2)若在区间[-1,1]内存在x ,x ,使得f(x )f(x )≥9,求实数a的取值范围.(11分) 1 2 1 2( π) 13.(17分)[旋转函数]在平面直角坐标系中,如果将函数y=f(x)的图象绕坐标原点逆时针旋转α 0<α≤ 后, 2 所得曲线仍然是某个函数的图象,则称f(x)为“α旋转函数”. π (1)判断函数y=√3x是否为“ 旋转函数”,并说明理由;(5分) 6 (2)已知函数f(x)=ln(2x+1)(x>0)是“α旋转函数”,求tan α的最大值;(5分) x2 π (3)若函数g(x)=m(x-1)ex-xln x- 是“ 旋转函数”,求m的取值范围.(7分) 2 4答案精析 1.B 2.D 3.C 4.B 5.B 6.A 2√2 7.ABD 8.AD 9.-4 10. 3 11.(1)解 当a=1时, 2x2-x+1 f(x)= ,x∈[-1,1], ex -2x2+5x-2 f'(x)= , ex 1 令f'(x)=0,得x= , 2 (1) 1 √e 又f = = , 2 √e e 2 且f(-1)=4e,f(1)= , e (1) √e ∴f(x) =f = . min 2 e -2x2+(a+4)x-2a (-2x+a)(x-2) (2)证明 因为f'(x)= = , ex ex 令f'(x)=0, a 解得x =2,x = , 1 2 2 a 若a>4,当x<2或x> 时, 2 a f'(x)<0,当20, 2 (a ) 所以f(x)在(-∞,2), ,+∞ 上单调递减, 2 ( a) 在 2, 上单调递增, 2 a (a) 故极大值为f = a>0; 2 e2 若a=4,则f'(x)≤0, 所以函数f(x)在R上单调递减,无极大值; a a 若a<4,当x< 或x>2时,f'(x)<0,当 0, 2 2( a) 所以f(x)在 -∞, ,(2,+∞)上单调递减, 2 (a ) 在 ,2 上单调递增, 2 8-a 故极大值为f(2)= >0. e2 综上,f(x)的极大值恒为正数. 12.解 (1)因为f(x)=2x3-ax2+2(a>0), 所以f(0)=2, 又f'(x)=6x2-2ax, 所以f'(0)=0, 所以曲线y=f(x)在点(0,f(0))处的切线方程为y=2. (2)因为f'(x)=6x2-2ax ( a) =6x x- ,又a>0, 3 a 所以当0 时,f'(x)>0, 3 ( a) (a ) 所以f(x)在 0, 上单调递减,在(-∞,0), ,+∞ 上单调递增. 3 3 则在区间[-1,1]内存在x ,x ,使得f(x )f(x )≥9, 1 2 1 2 等价于在区间[-1,1]内存在x,使得[f(x)]2≥9, 等价于在区间[-1,1]内存在x,使得|f(x)|≥3, 等价于在区间[-1,1]内,|f(x)|的最大值不小于3. 不妨令g(x)=|f(x)|, a ①当 ≥1,即a≥3时,f(x)在[-1,0)上单调递增,在(0,1]上单调递减, 3 且f(-1)=-a≤-3,f(0)=2, f(1)=4-a≤1, 所以g(x) =|f(x)| =max{a,2,|4-a|}≥3,符合题意; max max a (a ] ( a) ②当0< <1,即00, 3 3 27 而f(-1)=-a∈(-3,0),f(0)=2,f(1)=4-a>0,所以g(x) =|f(x)| =max{a,2,|4-a|}, max max 要使g(x) ≥3,则必有4-a≥3, max 解得a≤1,故00)与函数y=kx+b的图象最多有1个交点,且k=tan -α , 2 所以ln(2x+1)=kx+b(x>0)最多有一个根, 即ln(2x+1)-kx=b(x>0)最多有一个根, 因此函数y=ln(2x+1)-kx(x>0)的图象与直线y=b(b∈R)最多有1个交点, 即函数y=ln(2x+1)-kx在 (0,+∞)上单调. 2 因为y'= -k, 2x+1 2 且x>0, ∈(0,2), 2x+1 2 2 所以y'= -k≤0,k≥ ,所以k≥2, 2x+1 2x+1 (π ) 1 即tan -α ≥2,tan α≤ , 2 2 1 即tan α的最大值为 . 2 x2 (3)由题意可得函数g(x)=m(x-1)ex-xln x- 与函数y=x+b的图象最多有1个交点, 2 x2 所以m(x-1)ex-xln x- =x+b, 2 x2 即m(x-1)ex-xln x- -x=b最多有一个根, 2 x2 所以函数y=m(x-1)ex-xln x- -x的图象与直线y=b(b∈R)最多有1个交点, 2 x2 即函数y=m(x-1)ex-xln x- -x在(0,+∞)上单调. 2y'=mxex-ln x-x-2, 当x→0时,y'→+∞, (lnx+x+2) 所以y'≥0 m≥ , xex max ⇒ lnx+x+2 令φ(x)= , xex (x+1)(-lnx-x-1) 则φ'(x)= , x2ex 因为t(x)=-ln x-x-1在(0,+∞)上单调递减, ( 1 ) 且t >0,t(1)<0, e2 ( 1 ) 所以存在x ∈ ,1 ,使t(x )=0, 0 e2 0 1 即ln x +x =-1 ln(x ex 0)=-1 x ex 0= , 0 0 0 0 e ⇒ ⇒ 所以φ(x)在(0,x )上单调递增, 0 在(x ,+∞)上单调递减, 0 ln x +x +2 1 0 0 所以φ(x) =φ(x )= = =e,即m≥e,故m的取值范围为[e,+∞). max 0 x ex 0 x ex 0 0 0