当前位置:首页>文档>专题四 微重点1 球的切、接问题_02高考数学_2025年新高考资料_二轮复习_2025年高考数学大二轮_2025数学二轮专题复习学生用书Word版文档_专题复习_专题四 立体几何

专题四 微重点1 球的切、接问题_02高考数学_2025年新高考资料_二轮复习_2025年高考数学大二轮_2025数学二轮专题复习学生用书Word版文档_专题复习_专题四 立体几何

  • 2026-04-14 10:33:41 2026-04-14 10:33:41

文档预览

专题四 微重点1 球的切、接问题_02高考数学_2025年新高考资料_二轮复习_2025年高考数学大二轮_2025数学二轮专题复习学生用书Word版文档_专题复习_专题四 立体几何
专题四 微重点1 球的切、接问题_02高考数学_2025年新高考资料_二轮复习_2025年高考数学大二轮_2025数学二轮专题复习学生用书Word版文档_专题复习_专题四 立体几何
专题四 微重点1 球的切、接问题_02高考数学_2025年新高考资料_二轮复习_2025年高考数学大二轮_2025数学二轮专题复习学生用书Word版文档_专题复习_专题四 立体几何
专题四 微重点1 球的切、接问题_02高考数学_2025年新高考资料_二轮复习_2025年高考数学大二轮_2025数学二轮专题复习学生用书Word版文档_专题复习_专题四 立体几何
专题四 微重点1 球的切、接问题_02高考数学_2025年新高考资料_二轮复习_2025年高考数学大二轮_2025数学二轮专题复习学生用书Word版文档_专题复习_专题四 立体几何
专题四 微重点1 球的切、接问题_02高考数学_2025年新高考资料_二轮复习_2025年高考数学大二轮_2025数学二轮专题复习学生用书Word版文档_专题复习_专题四 立体几何
专题四 微重点1 球的切、接问题_02高考数学_2025年新高考资料_二轮复习_2025年高考数学大二轮_2025数学二轮专题复习学生用书Word版文档_专题复习_专题四 立体几何
专题四 微重点1 球的切、接问题_02高考数学_2025年新高考资料_二轮复习_2025年高考数学大二轮_2025数学二轮专题复习学生用书Word版文档_专题复习_专题四 立体几何
专题四 微重点1 球的切、接问题_02高考数学_2025年新高考资料_二轮复习_2025年高考数学大二轮_2025数学二轮专题复习学生用书Word版文档_专题复习_专题四 立体几何
专题四 微重点1 球的切、接问题_02高考数学_2025年新高考资料_二轮复习_2025年高考数学大二轮_2025数学二轮专题复习学生用书Word版文档_专题复习_专题四 立体几何

文档信息

文档格式
docx
文档大小
4.722 MB
文档页数
6 页
上传时间
2026-04-14 10:33:41

文档内容

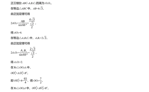
微重点 1 球的切、接问题 [考情分析] 空间几何体的外接球、内切球、截面问题是高中数学的重点、难点,也是高考命题的热点, 一般是通过对几何体的割补或寻找几何体外接球的球心求解外接球问题,利用等体积法求内切球半径等, 一般出现在压轴小题位置. 考点一 空间几何体的外接球 考向1 柱体的外接球 例1 已知三棱柱ABC-A B C 的侧棱垂直于底面,各顶点都在同一球面上.若该棱柱的体积为√3, 1 1 1 AB=2,AC=1,∠BAC=60°,则该外接球的表面积等于( ) A.8π B.9π C.10π D.11π 考向2 锥体的外接球 例2 已知四棱锥P-ABCD中,底面四边形ABCD为正方形,侧面PAD为正三角形,且侧面PAD⊥底 面ABCD,若PD=a,则该四棱锥外接球的表面积为( ) 7 A.πa2 B. πa2 3 7 C. πa2 D.5πa2 4 考向3 台体的外接球 例3 (2024·秦皇岛模拟)已知正三棱台ABC-A B C 的所有顶点都在表面积为65π的球O的球面上,且 1 1 1 AB=2A B =4√3,则正三棱台ABC-A B C 的体积为 . 1 1 1 1 1 考向4 可补成规则几何体的外接球 例4 在四棱锥P-ABCD中,PA⊥平面ABCD,四边形ABCD为正方形,PA=4,PC与平面ABCD所成 2√2 角的大小为θ,且tan θ= ,则四棱锥P-ABCD外接球的表面积为( ) 3 A.26π B.28π C.34π D.14π [规律方法] 求解空间几何体的外接球问题的策略 (1)定球心:球心到接点的距离相等且为半径. (2)作截面:选准最佳角度作出截面(要使这个截面尽可能多的包含球、几何体的各种元素以及体现这些元 素的关系),达到空间问题平面化的目的. (3)求半径下结论:根据作出截面中的几何元素,建立关于球的半径的方程,并求解. 跟踪演练1 (1)(2024·凉山模拟)已知在三棱锥P-ABC中,PA=√3,PB=PC=2,底面ABC是边长为1的 正三角形,则该三棱锥的外接球表面积为( )13π A.3π B. 3 C.4π D.6π (2)(2024·白山模拟)已知四面体ABCD中,∠BAC=∠DAC=∠DAB=90°,AB=AD=2AC=4,点E在线段 AB上,过点A作AF⊥DE,垂足为F,则当△CDF的面积最大时,四面体ACDE外接球的表面积与四 面体ABCD外接球的表面积之比为( ) 3 4 A. B. 5 5 37 13 C. D. 45 15 考点二 空间几何体的内切球 例5 (1)(2024·南通、扬州、泰州七市调研)已知一个正四棱台的上、下底面边长分别为2,8,侧棱长 为3√5,则该正四棱台内半径最大的球的表面积为( ) A.12π B.27π 64π 64π C. D. 9 3 (2)(多选)(2024·来宾模拟)下列物体中,能够被整体放入棱长为2的正四面体容器(容器壁厚度忽略不计) 内的有(参考数据:√6≈2.449,√3≈1.732)( ) A.底面直径为1,高为√3的圆锥 B.底面边长为1,高为0.8的正三棱柱 C.直径为0.8的球体 D.底面直径为0.5,高为0.9的圆柱体 [规律方法] 空间几何体的内切球问题,一是找球心,球心到切点的距离相等且为球的半径,作出截面, 在截面中求半径;二是利用等体积法直接求内切球的半径. 跟踪演练2 (1)(2024·常德模拟)如图,现有棱长为6 cm的正方体玉石缺失了一个角,缺失部分为正三 棱锥A -EFG,且E,F,G分别为棱A A,A B ,A D 靠近A 的四等分点,若将该玉石打磨成一个球形 1 1 1 1 1 1 1 饰品,则该球形饰品的体积的最大值为( ) 27√3π A. cm3 B.36π cm3 2 125√3π C. cm3 D.72π cm3 2 (2)(2024·宁波模拟)在正四棱台ABCD-A B C D 中,AB=4,A B =2,AA =√3,若球O与上底面A B C D 1 1 1 1 1 1 1 1 1 1 1 以及棱AB,BC,CD,DA均相切,则球O的表面积为( )A.9π B.16π C.25π D.36π答案精析 例1 A 例2 B 例3 21√3或28√3 解析 设点O ,O 分别是△A B C ,△ABC的外接圆的圆心,球O的半径为R,则4πR2=65π, 1 2 1 1 1 √65 解得R= ,且O ,O ,O三点共线, 2 1 2 正三棱台ABC-A B C 的高为O O , 1 1 1 1 2 在等边△ABC中,AB=4√3, 由正弦定理可得 4√3 AB 2AO = = √3 , 2 sin60° 2 得AO =4. 2 在等边△A B C 中,A B =2√3, 1 1 1 1 1 由正弦定理可得 2√3 A B 2A O = 1 1 = √3 , 1 1 sin60° 2 得A O =2. 1 1 在Rt△OO A 中, 1 1 OO2+A O2=R2, 1 1 1 65 7 即OO2 +4= ,得OO = , 1 4 1 2 在Rt△OO A中,OO2 +AO2 =R2, 2 2 2 65 1 即OO2 +16= ,得OO = , 2 4 2 2 7 1 如果三棱台的上下底面在球心O的同侧,如图1所示,则正三棱台的高为O O =OO -OO = - =3,此时正 1 2 1 2 2 2 三棱台ABC-A B C 的体积 1 1 1 1 [√3 √3 V = × ×(2√3) 2+ ×(4√3) 2 1 3 4 4 √√3 √3 ] + ×(2√3) 2× ×(4√3) 2 ×3 4 4=21√3. 7 1 如果三棱台的上下底面在球心O的两侧,如图2所示,则正三棱台的高为O O =OO +OO = + =4,此时 1 2 1 2 2 2 正三棱台ABC-A B C 的体积 1 1 1 1 [√3 √3 V = × ×(2√3) 2+ ×(4√3) 2+ 2 3 4 4 √√3 √3 ] ×(2√3) 2× ×(4√3) 2 ×4 4 4 =28√3. 综上,正三棱台ABC-A B C 的体积为21√3或28√3. 1 1 1 例4 C [如图,因为PA⊥平面ABCD,四边形ABCD为正方形, 所以可将四棱锥P-ABCD补成长方体PEFG-ABCD, 则四棱锥P-ABCD的外接球也是长方体PEFG-ABCD的外接球. 由PA⊥平面ABCD,所以∠PCA就是PC与平面ABCD所成的角θ, PA 4 2√2 则tan θ= = = , AC AC 3 所以AC=3√2, 设四棱锥P-ABCD的外接球的半径为R, 因为长方体PEFG-ABCD的对角线PC的长即为其外接球的直径, 所以PC=2R=√AC2+PA2=√(3√2) 2+42=√34, √34 所以R= ,所以四棱锥P-ABCD外接球的表面积为4πR2=34π.] 2 跟踪演练1 (1)B (2)C 例5 (1)D (2)BCD [对于正四面体ABCD,作AO⊥平面BCD,交平面BCD于点O,连接OD,且O为正三角形BCD 的中心,√3 又棱长为2,则正三角形BCD的内切圆半径r= , 3 2√6 正四面体的高AO=√AD2-OD2= ≈1.633. 3 设正四面体内切球半径为t, 1 则V=4× ×S ·t 3 △BCD 1 = ×S ×AO, 3 △BCD √6 则t= ≈0.408. 6 2√6 对于A,圆锥的高√3> ,所以不符合题意,故A错误; 3 对于B,底面边长为1,高为0.8的正三棱柱, 如图所示,当MO=0.8时,设△EFG内切圆的半径为r', r' AM 1.633-0.8 则 = ≈ r AO 1.633 ≈0.51, √3 则r'≈0.51× ≈0.294, 3 √3 而边长为1时的正三角形内切圆半径为 ≈0.289<0.294, 6 故满足题意,故B正确; 对于C,直径为0.8的球体,其半径为0.4<0.408,故满足题意,故C正确; 对于D,如图,当MO=0.9时,设△EFG内切圆的半径为r , 1 r AM 1.633-0.9 则 1= ≈ ≈0.449, r AO 1.633 √3 则r ≈0.449× ≈0.259>0.25,故满足题意,则D正确.] 1 3 跟踪演练2 (1)B (2) C