当前位置:首页>文档>专题四 微创新 立体几何与其他知识的综合问题_02高考数学_2025年新高考资料_二轮复习_2025年高考数学大二轮_2025数学二轮专题复习教师用书Word版文档_专题四 立体几何

专题四 微创新 立体几何与其他知识的综合问题_02高考数学_2025年新高考资料_二轮复习_2025年高考数学大二轮_2025数学二轮专题复习教师用书Word版文档_专题四 立体几何

  • 2026-04-14 10:33:21 2026-04-14 10:33:21

文档预览

专题四 微创新 立体几何与其他知识的综合问题_02高考数学_2025年新高考资料_二轮复习_2025年高考数学大二轮_2025数学二轮专题复习教师用书Word版文档_专题四 立体几何
专题四 微创新 立体几何与其他知识的综合问题_02高考数学_2025年新高考资料_二轮复习_2025年高考数学大二轮_2025数学二轮专题复习教师用书Word版文档_专题四 立体几何
专题四 微创新 立体几何与其他知识的综合问题_02高考数学_2025年新高考资料_二轮复习_2025年高考数学大二轮_2025数学二轮专题复习教师用书Word版文档_专题四 立体几何
专题四 微创新 立体几何与其他知识的综合问题_02高考数学_2025年新高考资料_二轮复习_2025年高考数学大二轮_2025数学二轮专题复习教师用书Word版文档_专题四 立体几何
专题四 微创新 立体几何与其他知识的综合问题_02高考数学_2025年新高考资料_二轮复习_2025年高考数学大二轮_2025数学二轮专题复习教师用书Word版文档_专题四 立体几何
专题四 微创新 立体几何与其他知识的综合问题_02高考数学_2025年新高考资料_二轮复习_2025年高考数学大二轮_2025数学二轮专题复习教师用书Word版文档_专题四 立体几何
专题四 微创新 立体几何与其他知识的综合问题_02高考数学_2025年新高考资料_二轮复习_2025年高考数学大二轮_2025数学二轮专题复习教师用书Word版文档_专题四 立体几何
专题四 微创新 立体几何与其他知识的综合问题_02高考数学_2025年新高考资料_二轮复习_2025年高考数学大二轮_2025数学二轮专题复习教师用书Word版文档_专题四 立体几何
专题四 微创新 立体几何与其他知识的综合问题_02高考数学_2025年新高考资料_二轮复习_2025年高考数学大二轮_2025数学二轮专题复习教师用书Word版文档_专题四 立体几何
专题四 微创新 立体几何与其他知识的综合问题_02高考数学_2025年新高考资料_二轮复习_2025年高考数学大二轮_2025数学二轮专题复习教师用书Word版文档_专题四 立体几何
专题四 微创新 立体几何与其他知识的综合问题_02高考数学_2025年新高考资料_二轮复习_2025年高考数学大二轮_2025数学二轮专题复习教师用书Word版文档_专题四 立体几何
专题四 微创新 立体几何与其他知识的综合问题_02高考数学_2025年新高考资料_二轮复习_2025年高考数学大二轮_2025数学二轮专题复习教师用书Word版文档_专题四 立体几何
专题四 微创新 立体几何与其他知识的综合问题_02高考数学_2025年新高考资料_二轮复习_2025年高考数学大二轮_2025数学二轮专题复习教师用书Word版文档_专题四 立体几何
专题四 微创新 立体几何与其他知识的综合问题_02高考数学_2025年新高考资料_二轮复习_2025年高考数学大二轮_2025数学二轮专题复习教师用书Word版文档_专题四 立体几何
专题四 微创新 立体几何与其他知识的综合问题_02高考数学_2025年新高考资料_二轮复习_2025年高考数学大二轮_2025数学二轮专题复习教师用书Word版文档_专题四 立体几何
专题四 微创新 立体几何与其他知识的综合问题_02高考数学_2025年新高考资料_二轮复习_2025年高考数学大二轮_2025数学二轮专题复习教师用书Word版文档_专题四 立体几何
专题四 微创新 立体几何与其他知识的综合问题_02高考数学_2025年新高考资料_二轮复习_2025年高考数学大二轮_2025数学二轮专题复习教师用书Word版文档_专题四 立体几何
专题四 微创新 立体几何与其他知识的综合问题_02高考数学_2025年新高考资料_二轮复习_2025年高考数学大二轮_2025数学二轮专题复习教师用书Word版文档_专题四 立体几何
专题四 微创新 立体几何与其他知识的综合问题_02高考数学_2025年新高考资料_二轮复习_2025年高考数学大二轮_2025数学二轮专题复习教师用书Word版文档_专题四 立体几何

文档信息

文档格式
docx
文档大小
19.891 MB
文档页数
15 页
上传时间
2026-04-14 10:33:21

文档内容

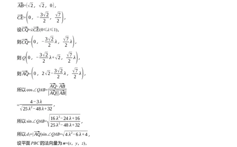
微创新 立体几何与其他知识的综合问题 [考情分析] 随着高考改革的不断推进,近期各地的模拟题呈现的考查方向百花齐放,在立体几何中以空 间图形为背景的试题,其考查的知识内容和范围,涉及代数、几何、三角、向量、新定义等学科分支,对 综合运用各种知识技能解题的灵活性要求有所加强,应予以重视. 考点一 立体几何与其他知识的交汇问题 例1 三棱锥P-ABC的底面是以AC为底边的等腰直角三角形且AC=2√2,各侧棱的长均为3,点E为 棱PA的中点,点Q是线段CE上的动点. (1)求点E到平面ABC的距离; (2)设点Q到平面PBC的距离为d ,点Q到直线AB的距离为d ,求d +d 的最小值. 1 2 1 2 解 (1)取AC中点O,连接PO,BO,如图所示. 因为PA=PC=3,AC=2√2, 所以PO⊥AC,且PO=√32-2=√7, 因为△ABC是等腰直角三角形, 所以BO⊥AC,且BO=√2,又PB=3, 满足PB2=PO2+BO2, 所以PO⊥BO,因为AC∩BO=O,AC 平面ABC,BO 平面ABC, 所以PO⊥平面ABC, ⊂ ⊂ 1 √7 因为点E为棱PA的中点,所以E到平面ABC的距离为 PO= . 2 2 (2)如图,以O为原点建立空间直角坐标系,连接AQ,则C(0,√2,0), ( √2 √7) E 0,- , ,P(0,0,√7),A(0,-√2,0),B(√2,0,0), 2 2 则⃗PB=(√2,0,-√7),⃗PC=(0,√2,-√7), ⃗AB=(√2,√2,0), ( 3√2 √7) ⃗CE= 0,- , , 2 2 设⃗CQ=λ⃗CE(0≤λ≤1), ( 3√2 √7 ) 则⃗CQ= 0,- λ, λ , 2 2 ( 3√2 √7 ) 则Q 0,- λ+√2, λ , 2 2 ( 3√2 √7 ) 则⃗AQ= 0,2√2- λ, λ , 2 2 ⃗AQ·⃗AB 所以cos∠QAB= |⃗AQ||⃗AB| 4-3λ = , √25λ2-48λ+32 √16λ2-24λ+16 所以sin∠QAB= , 25λ2-48λ+32 所以d =|⃗AQ|sin∠QAB=√4λ2-6λ+4, 2 设平面PBC的法向量为n=(x,y,z), {n·⃗PB=0, 则 n·⃗PC=0, {√2x-√7z=0, 即 √2y-√7z=0, 令x=√7,可得n=(√7,√7,√2), |⃗CQ·n| √14 则d = = λ, 1 |n| 4 √14 所以d +d =f(λ)=√4λ2-6λ+4+ λ,0≤λ≤1, 1 2 44λ-3 √14 所以f'(λ)= + , √4λ2-6λ+4 4 2 令f'(λ)=0,解得λ= , 5 4λ-3 √14 令g(λ)=f'(λ)= + , √4λ2-6λ+4 4 7 则g'(λ)= >0, (4λ2-6λ+4)√4λ2-6λ+4 所以g(λ),即f'(λ)在[0,1]上单调递增, ( 2) 所以当λ∈ 0, 时,f'(λ)<0,f(λ)单调递减, 5 (2 ) 当λ∈ ,1 时,f'(λ)>0,f(λ)单调递增, 5 (2) √14 √14 所以f(λ) =f = ,即d +d 的最小值为 . min 5 2 1 2 2 [规律方法] 将立体几何与解析几何巧妙结合,是考核的创新.点、线、面的变化必然导致位置关系或一些 量的变化,在具体问题中,让变量变化,考虑由此变化所引发的其他量的变化,构建目标函数,则可将立 体几何问题用代数方法解决. 跟踪演练1 (2024·柳州模拟)如图,在四棱锥P-ABCD中,AB∥DC,E为PD的中点,且满足AE∥平 面PBC, (1)证明:DC=2AB; (2)若PA⊥平面ABCD,AB⊥AD,PA=AB=AD=2,点M在四棱锥P-ABCD的底面内,且在以A,B为焦 √7 点,并满足MA+MB=4的椭圆弧上.若二面角M-PB-A的余弦值为 ,求直线PM与平面ABCD所成角 7 的正切值. (1)证明 取PC的中点F,连接EF,BF,在△PCD中,EF为中位线,所以EF∥DC,且DC=2EF, 因为AB∥DC,所以EF∥AB,所以A,B,F,E四点共面, 又因为AE∥平面PBC,AE 平面ABFE,且平面ABFE∩平面PBC=BF,所以AE∥BF, 所以四边形ABFE为平行四⊂边形,所以AB=EF,所以DC=2AB.(2)解 如图,PA⊥平面ABCD,取AB中点O为坐标原点,以AB所在直线为x轴, 在平面ABCD内过点O且垂直于AB的直线为y轴,建立空间直角坐标系Oxyz, 则A(-1,0,0),B(1,0,0),P(-1,0,2). 因为MA+MB=4>AB=2,所以点M的轨迹是以AB为焦距的椭圆在梯形ABCD内的部分, x2 y2 OA=OB=1,所以点M的轨迹为椭圆 + =1在梯形ABCD内的部分, 4 3 m2 n2 设点M(m,n,0)(在梯形ABCD内),则 + =1. ① 4 3 设平面MPB的法向量为n =(x,y,z), 1 ⃗PB=(2,0,-2),⃗BM=(m-1,n,0), {n ·⃗PB=0, { 2x-2z=0, 1 则 ⇒ ⇒n =(n,1-m,n). n ·⃗BM=0 (m-1)x+ny=0 1 1 因为y轴⊥平面PBA,故平面PBA的一个法向量为n =(0,1,0), 2 设二面角M-PB-A的平面角为θ, 则cos θ=|cos〈n ,n 〉|= |n 1 ·n 2 | = √7 ,θ∈ ( 0, π) ,得 (m-1) 2 = 1 , 1 2 |n ||n | 7 2 (m-1) 2+2n2 7 1 2 整理得3(m-1)2=n2. ② 8 联立①②,解得m=0或m= . 5 过点B作BH∥AD交DC于点H,则BH=AD,BH⊥平面PBA, 所以平面HPB⊥平面PBA,H的坐标为(1,-2,0), π 8 二面角H-PB-A为 ,当m= >1时,二面角M-PB-A的平面角为钝角,不符合题意,所以m=0. 2 5 此时M(0,-√3,0),经检验,M在梯形ABCD内, PA=MA=2,因为PA⊥平面ABCD, 所以直线PM与平面ABCD所成的角为∠AMP, PA 在Rt△PAM中,tan∠AMP= =1, MA 故所求线面角的正切值为1. 考点二 立体几何中的新定义、新情境问题 例2 [球面几何]球面几何学是在球表面上的几何学,也是非欧几何的一个例子.如图1,对于半径为R 的球O,过球面上一点A作两条大圆的弧A´B,A´C,它们构成的图形叫做球面角,记作∢BAC(或∢A),其值为二面角B-AO-C的大小,点A称为球面角的顶点,大圆弧A´B,A´C称为球面角的边.如图2,不 在同一大圆上的三点A,B,C,可以得到经过这三点中任意两点的大圆的劣弧A´B,B´C,C´A,这三 条劣弧组成的图形称为球面△ABC,这三条劣弧称为球面△ABC的边,A,B,C三点称为球面△ABC 的顶点;三个球面角∢A,∢B,∢C称为球面△ABC的三个内角. 已知球心为O的单位球面上有不同在一个大圆上的三点A,B,C. π (1)球面△ABC的三条边长相等(称为等边球面三角形),若∢A= ,求球面△ABC的内角和; 2 (2)类比二面角,我们称从点P出发的三条射线PM,PN,PQ组成的图形为三面角,记为P-MNQ.其中 点P称为三面角的顶点,PM,PN,PQ称为它的棱,∠MPN,∠NPQ,∠QPM称为它的面角. 若三面 √3 √2 √6 角O-ABC的三个面角的余弦值分别为 , , . 3 2 3 ①求球面△ABC的三个内角的余弦值; ②求球面△ABC的面积. 解 (1)将球面几何问题转化为立体几何问题,如图在三棱锥O-ABC中,OA=OB=OC=1, 因为在球面△ABC中,劣弧A´B=B´C=A´C,则在△ABC中,AB=BC=AC,且∠AOB=∠BOC=∠AOC.过B作 BE⊥OA,交OA于E,连接CE,则△COE≌△BOE,所以CE⊥AO, π 所以∠BEC是二面角B-AO-C的平面角,即∠BEC=∢A= ,设∠AOB=θ,θ∈(0,π), 2 θ 则BE=CE=sin θ,BC=2sin , 2 θ 由BE2+CE2=BC2 2sin2θ=4sin2 , 2 ⇒ π 解得cos θ=0,所以θ= , 2 所以OA,OB,OC两两垂直(点E和O重合),π 从而∢A=∢B=∢C= , 2 3π 所以球面△ABC的内角和是 . 2 √3 (2)①由已知条件,可设cos∠BOC= , 3 √2 √6 cos∠COA= ,cos∠AOB= . 2 3 如图,以O为原点,OA所在直线为x轴,△OAB所在平面为Oxy平面,构建空间直角坐标系,则O(0, 0,0), (√6 √3 ) A(1,0,0),B , ,0 . 3 3 设C(p,q,r),则由OA=OB=OC=1可知, √2 =cos∠COA=⃗OA·⃗OC=p, 2 √3 √6 √3 =cos∠BOC=⃗OB·⃗OC= p+ q, 3 3 3 1=|⃗OC|2=p2+q2+r2, √2 (√3 √6 ) 1 故p= ,q=√3 - p =0,r2=1-p2-q2= , 2 3 3 2 √2 (√2 √2) 不妨设r>0,则r= ,所以C ,0, . 2 2 2 设平面OBC,OCA,OAB的法向量分别为n ,n ,n ,并设n=(u,v,w)(i=1,2,3), 1 2 3 i i i i { ⃗OB·n =⃗OC·n =0, 1 1 则 ⃗OC·n =⃗OA·n =0, 2 2 ⃗OA·n =⃗OB·n =0, 3 3 √6 √3 √2 √2 { u + v = u + w =0, 3 1 3 1 2 1 2 1 √2 √2 即 u + w =u =0, 2 2 2 2 2 √6 √3 u = u + v =0, 3 3 3 3 3{√2u +v =u +w =0, 1 1 1 1 从而 u =w =0, 2 2 u =v =0, 3 3 {n =(-1,√2,1), 1 故可以取 n =(0,1,0), 2 n =(0,0,1). 3 |n ·n | 所以我们有cos∢A=|cos〈n ,n 〉|= 2 3 =0, 2 3 |n ||n | 2 3 |n ·n| 1 cos∢B=|cos〈n ,n 〉|= 3 1 = , 3 1 |n ||n| 2 3 1 |n ·n | √2 cos∢C=|cos〈n ,n 〉|= 1 2 = . 1 2 |n||n | 2 1 2 1 √2 故球面△ABC的三个内角的余弦值分别为0, , . 2 2 ②先证明一个引理. ( π] 引理:若球面△ABC的三个球面角∢A,∢B,∢C∈ 0, , 2 设该球面△ABC的面积为 , 则 =∢A+∢B+∢C-π, 引理的证明: 记球O的表面积为S,则S=4π. 设A,B,C的对径点分别为A',B',C',则A´C所在的大圆和A´B所在的大圆将球面分成了四个部分,其中 ∢A 面积较小的两个部分的面积之和S 等于球的表面积S的 倍, 1 π ∢A 即S = S,类似可定义S ,S , 1 π 2 3 ∢B ∢C 且同理有S = S,S = S. 2 π 3 π 而根据球面被这三个大圆的划分情况,又有S +S +S =(S-2S )+6S . 1 2 3 △^ABC △^ABC 所以S +S +S =S+4 , 1 2 31 S(∢A ∢B ∢C ) + + -1 故 =4(S 1 +S 2 +S 3 -S)=4 π π π (∢A ∢B ∢C ) =π + + -1 =∢A+∢B+∢C-π. π π π 引理得证. π π π 回到原题,根据①的结论,有∢A= ,∢B= ,∢C= . 2 3 4 π π π π 再由引理知球面△ABC的面积 =2+3+4-π=12. [规律方法] 通过给出一个新概念,或约定一种新运算,或给出几个新模型来创设全新的问题情景,要求 考生在阅读理解的基础上,依据题目提供的信息,联系所学的知识和方法,实现信息的迁移,达到灵活解 题的目的.遇到新定义问题,应耐心读题,分析新定义的特点,弄清新定义的性质,按新定义的要求,“照 章办事”,逐条分析、验证、运算,使问题得以解决. 跟踪演练2 [空间三面角余弦定理]类比于平面三角形中的余弦定理,我们得到三维空间中的三面角余 弦定理:如图1,由射线PA,PB,PC构成的三面角P-ABC,∠APC=α,∠BPC=β,∠APB=γ,二面角 A-PC-B的大小为θ,则cos γ=cos αcos β+sin αsin βcos θ. (1)如图2,四棱柱ABCD-A B C D 中,平面AA C C⊥平面ABCD,∠A AC=60°,∠BAC=45°,求 1 1 1 1 1 1 1 ∠A AB的余弦值; 1 ( π) (2)当α,β∈ 0, 时,证明上述三面角余弦定理; 2 (3)如图3,已知三棱锥O-ABC,OA=a,OB=b,OC=c,侧面OAB,OAC,OBC的面积分别为S , △OAB S ,S ,以OA,OB,OC为棱的二面角分别为θ ,θ ,θ ,试猜想正弦定理在三维空间中推广的 △OAC △OBC 1 2 3 结论,并证明. (1)解 由平面AA C C⊥平面ABCD,得二面角A -AC-B的大小为90°, 1 1 1 由三面角余弦定理得cos∠A AB=cos∠A AC×cos∠CAB, 1 1 因为∠A AC=60°,∠BAC=45°, 1 1 √2 √2 所以cos∠A AB= × = . 1 2 2 4 (2)证明 过射线PC上一点H,作MH⊥PC交PA于M点, 作NH⊥PC交PB于N点,连接MN,如图所示,则∠MHN是二面角A-PC-B的平面角, 在△MNP中,由余弦定理得 MN2=MP2+NP2-2MP·NPcos γ, 在△MNH中,由余弦定理得 MN2=MH2+NH2-2MH·NHcos θ, 两式相减得 MP2-MH2+NP2-NH2-2MP·NPcos γ+2MH·NHcos θ=0, 则2MP·NPcos γ=2PH2+2MH·NHcos θ, 两边同除以2MP·NP, 得cos γ=cos αcos β+sin αsin βcos θ. aS bS cS (3)解 猜想 △OBC = △OAC = △OAB . sin θ sin θ sin θ 1 2 3 证明 在OA上取点P,使得PO=1,过P作PP'⊥平面OBC,P'C'⊥OC,P'B'⊥OB,如图. 设∠BOC=α,∠AOC=β,∠AOB=γ, 则PB'=POsin γ=sin γ, PP'=PB'sin θ =sin γsin θ , 2 2 同理PP'=PC'sin θ =sin βsin θ , 3 3 所以sin γsin θ =sin βsin θ , 2 3 sinβ sinγ 即 = , sin θ sin θ 2 3 sinα sinβ 同理可证 = , sin θ sin θ 1 2 sinα sinβ sinγ 所以 = = , sin θ sin θ sin θ 1 2 3 1 又因为S = absin γ, △OAB 22S 所以sin γ= △OAB, ab 2S 2S 同理sin β= △OAC,sin α= △OBC, ac bc 2S 2S 2S △OBC △OAC △OAB 所以 bc = ac = ab , sin θ sin θ sin θ 1 2 3 aS bS cS △OBC △OAC △OAB 化简得 = = . sin θ sin θ sin θ 1 2 3 专题强化练 (分值:51分) 1.(17分)[柯西不等式]柯西不等式在数学的众多分支中有精彩应用,柯西不等式的n元形式为:设a, i n n n b∈R(i=1,2,…,n),a不全为0,b不全为0,则 Σ a2 Σ b2 ≥( Σ ab)2,当且仅当存在一个数k,使 i i i i i i i i=1 i=1 i=1 得a=kb时,等号成立. i i (1)请你写出柯西不等式的二元形式;(3分) (2)设P是棱长为√2的正四面体ABCD内的任意一点,点P到四个面的距离分别为d ,d ,d ,d ,求d2 +d2 1 2 3 4 1 2 +d2+d2的最小值;(5分) 3 4 (3)已知无穷正数数列{a }满足: n ①存在m∈R,使得a≤m(i=1,2,…,n); i 1 ②对任意正整数i,j(i≠j)(j=1,2,…,n),均有|a-a|≥ . i j i+ j 求证:对任意n≥4,n∈N*,恒有m≥1.(9分) (1)解 柯西不等式的二元形式为:设a ,a ,b ,b ∈R,a ,a 不全为0,b ,b 不全为0, 1 2 1 2 1 2 1 2 则(a2 +a2 )(b2 +b2 )≥(a b +a b )2, 1 2 1 2 1 1 2 2 当且仅当a b =a b 时,等号成立. 1 2 2 1 (2)解 正四面体ABCD的体积等于以P为顶点,四个面为底面的三棱锥体积之和, 即V =V +V +V +V . 正四面体ABCD 三棱锥P-ABC 三棱锥P-DBC 三棱锥P-CDA 三棱锥P-DAB √2 1 √3 所以 (√2)3= × (√2)2(d +d +d +d ), 12 3 4 1 2 3 4 2√3 因此d +d +d +d = . 1 2 3 4 3 由柯西不等式得(d2 +d2 +d2 +d2 )(1+1+1+1)≥(d ·1+d ·1+d ·1+d ·1)2, 1 2 3 4 1 2 3 41 从而d2 +d2 +d2 +d2≥ , 1 2 3 4 3 √3 当且仅当d =d =d =d = 时,等号成立. 1 2 3 4 6 1 因此d2 +d2 +d2 +d2 的最小值为 . 1 2 3 4 3 (3)证明 对n≥4,记k ,k ,…,k 是1,2,…,n的一个排列,且满足0a -a =(a -a )+(a -a )+…+(a -a ) k k k k k k k k k n n 1 n n-1 n-1 n-2 2 1 1 1 1 ≥ + +…+ . k +k k +k k +k n n-1 n-1 n-2 2 1 由柯西不等式得 ( 1 1 1 ) + +…+ [(k +k )+(k +k )+…+(k +k )]≥(n-1)2, k +k k +k k +k n n-1 n-1 n-2 2 1 n n-1 n-1 n-2 2 1 1 1 1 (n-1) 2 所以 + +…+ ≥ k +k k +k k +k (k +k )+(k +k )+…+(k +k ) n n-1 n-1 n-2 2 1 n n-1 n-1 n-2 2 1 (n-1) 2 = 2(k +k +…+k )-k -k 1 2 n 1 n (n-1) 2 (n-1) 2 = ≥ n2+n-k -k n2+n-3 1 n 3n-4 =1- , n2+n-3 3n-4 从而对任意n≥4,n∈N*,都有m≥1- , n2+n-3 3n-4 当n≥4时,1- <1,故m≥1. n2+n-3 2.(17分)(2024·南昌模拟)如图所示,用一个不平行于圆柱底面的平面,截该圆柱所得的截面为椭圆面,得 到的几何体称之为“斜截圆柱”.图1与图2是完全相同的“斜截圆柱”,AB是底面圆O的直径, π AB=2BC=2,椭圆所在平面垂直于平面ABCD,且与底面所成的二面角为 ,图1中,点P是椭圆上的动 4 点,点P在底面上的投影为点P ,图2中,椭圆上的点E(i=1,2,3,…,n)在底面上的投影分别为F, 1 i i 且F均在直径AB的同一侧. i2π (1)当∠AOP = 时,求PP 的长度;(6分) 1 3 1 (2)①当n=6时,若图2中,点F ,F ,…,F 将半圆平均分成7等份,求(E F -2)·(E F -2)·(E F -2);(4分) 1 2 6 1 1 2 2 3 3 ②证明: ·E F + ·E F +…+ ·E F + ·BC<2π.(7分) 1 1 2 2 n n (1)解 如图,取CD中点M,过点M作与该斜截圆柱的底面平行的平面,交DA于点G,交BC延长线于 点H,与PP 交于点I,连接IM, 1 π 因为MH=MG=1,∠CMH=∠DMG= , 4 所以DG=HC=1,AG=2,过点M作GH的垂线,交圆M于J,K两点. 过点I作IN⊥JK,交JK于点N,又由PI⊥圆M,JK 圆M,则PI⊥JK, 又因为PI∩IN=I,PI,IN 平面PIN,所以JK⊥平面⊂PIN , 因为PN 平面PIN,所以⊂PN⊥JK,所以∠PNI为椭圆面与圆M所在平面所成的二面角,也是椭圆面与底 面所成的⊂角, π 所以∠PNI= ,则△PNI为等腰直角三角形,PI=IN. 4 设∠AOP =θ,如图作圆M所在平面的平面图,则∠GMI=θ, 1 由GH⊥JK,IN⊥JK,得GH∥IN, 则有∠NIM=∠GMI=θ,所以IN=MIcos θ=cos θ, 所以PP =IP +PI=IP +IN=2+cos θ, 1 1 1 2π 2π 3 当θ= 时,PP =2+cos = . 3 1 3 2 π (2)①解 当n=6时,∠AOF = , 1 72π 3π ∠AOF = ,∠AOF = , 2 7 3 7 π 2π 由(1)知E F =2+cos ,E F =2+cos , 1 1 7 2 2 7 3π E F =2+cos , 3 3 7 所以(E F -2)·(E F -2)·(E F -2) 1 1 2 2 3 3 π 2π 3π =cos cos cos 7 7 7 2π 4π 6π sin sin sin 7 7 7 = × × π 2π 3π 2sin 2sin 2sin 7 7 7 2π 3π π sin sin sin 7 7 7 1 = × × = . π 2π 3π 8 2sin 2sin 2sin 7 7 7 ②证明 由(1)知PP =2+cos θ,即PP 是关于θ的函数, 1 1 将斜截圆柱的侧面沿着AD展开,其椭圆面的轮廓线即为函数y=2+cos x的图象, 如图,将E F ,E F ,…,E F ,BC绘制于函数y=2+cos x(0≤x≤π)的图象上, 1 1 2 2 n n 并以EF,F F(i=2,3,…,n)为边作矩形,则该矩形的面积等于 ·EF的值, i i i-1 i i i 所以 ·E F + ·E F +…+ ·E F + ·BC即为这些矩形的面积之和. 1 1 2 2 n n 而两个该斜截圆柱可拼成一个底面半径为1,高为4的圆柱, 1 因此该斜截圆柱的侧面积为 ×2π×4=4π, 2 1 所以函数y=2+cos x(0≤x≤π)与坐标轴围成的面积为 ×4π=2π, 2 又因为无论点F(i=1,2,3,…,n-1)是否均匀分布在半圆弧AB上, i 这些矩形的面积之和都小于函数y=2+cos x(0≤x≤π)与坐标轴围成的面积, 所以 ·E F + ·E F +…+ ·E F + ·BC<2π. 1 1 2 2 n n3.(17分)(2024·济南模拟)在空间直角坐标系Oxyz中,任何一个平面的方程都能表示成Ax+By+Cz+D=0,其 中A,B,C,D∈R,A2+B2+C2≠0,且n=(A,B,C)为该平面的法向量.已知集合P={(x,y,z)||x|≤1,|y| ≤1,|z|≤1},Q={(x,y,z)||x|+|y|+|z|≤2},T={(x,y,z)||x|+|y|≤2,|y|+|z|≤2,|z|+|x|≤2}. (1)设集合M={(x,y,z)|z=0},记P∩M中所有点构成的图形的面积为S ,Q∩M中所有点构成的图形的面积 1 为S ,求S 和S 的值;(4分) 2 1 2 (2)记集合Q中所有点构成的几何体的体积为V ,P∩Q中所有点构成的几何体的体积为V ,求V 和V 的值; 1 2 1 2 (7分) (3)记集合T中所有点构成的几何体为W. ①求W的体积V 的值;(3分) 3 ②求W的相邻(有公共棱)两个面所成二面角的大小,并指出W的面数和棱数.(3分) 解 (1)集合M={(x,y,z)|z=0}表示Oxy平面上所有的点, P={(x,y,z)||x|≤1,|y|≤1,|z|≤1}表示(±1,±1,±1)这八个顶点形成的正方体内所有的点, 而P∩M可以看成正方体在Oxy平面上的截面内所有的点, 发现它是边长为2的正方形,因此S =4. 1 对于Q={(x,y,z)||x|+|y|+|z|≤2},当x,y,z>0时, x+y+z=2表示经过(2,0,0),(0,2,0),(0,0,2)的平面在第一象限的部分. 由对称性可知Q表示(±2,0,0),(0,±2,0),(0,0,±2)这六个顶点形成的正八面体内所有的点. 而Q∩M可以看成正八面体在Oxy平面上的截面内所有的点. 它是边长为2√2的正方形,因此S =8. 2 (2)集合Q的子集Q'={(x,y,z)|x+y+z≤2,x≥0,y≥0,z≥0}, Q'中所有点构成的几何体为三个坐标平面与平面x+y+z=2围成的四面体. 四面体四个顶点分别为(0,0,0),(2,0,0),(0,2,0),(0,0,2), 1 (1 ) 4 此四面体的体积为V = ×2× ×2×2 = , Q' 3 2 3 32 由对称性知,V =8V = . 1 Q' 3 集合P的子集P'={(x,y,z)|0≤x≤1,0≤y≤1,0≤z≤1},P'中所有点构成的几何体为棱长为1的正方体, 显然P'∩Q'中所有点构成的几何体为两个几何体的公共部分, 记Q (1,1,0),Q (1,0,1),Q (0,1,1),Q (1,1,1). 1 2 3 4 容易验证Q ,Q ,Q 在平面x+y+z=2上,同时也在P'中所有点构成的正方体的底面上. 1 2 3 则P'∩Q'为此正方体截去三棱锥Q -Q Q Q 所剩下的部分. 4 1 2 3 1 1 1 此正方体的体积V P' =1×1×1=1,三棱锥Q 4 -Q 1 Q 2 Q 3 的体积V 三棱锥Q 4 -Q 1 Q 2 Q 3 = 3 ×1× 2 ×(1×1)= 6 , 1 5 故P'∩Q'中所有点构成的几何体的体积V =V -V =1- = , P'∩Q' P' 三棱锥Q 4 -Q 1 Q 2 Q 3 6 620 由对称性知,V =8V = . 2 P'∩Q' 3 (3)①如图所示,即为T所构成的图形, 其中正方体ABCD-LIJM即为集合P所构成的区域.E-ABCD构成了一个正四棱锥, 1 4 其中E到平面ABCD的距离为1,V = ×1×2×2= , 四棱锥E-ABCD 3 3 4 V =V +6V =8+6× =16. 3 P 四棱锥E-ABCD 3 ②由题意令平面EBC的方程为x+z-2=0,由题干定义知该平面的一个法向量为n =(1,0,1). 1 令平面ECD的方程为y+z-2=0,由题干定义知该平面的一个法向量为n =(0,1,1), 2 n ·n 1 1 2 故cos〈n ,n 〉= = . 1 2 |n ||n | 2 1 2 2π 由图知两个相邻的面所成的角为钝角,故几何体W的相邻两个面所成的角为 . 3 由图可知共有12个面、24条棱.