当前位置:首页>文档>信息必刷卷01(广东专用)参考答案_02高考数学_2025年新高考资料_2025考前信息卷_2025年高考数学考前信息必刷卷(广东专用)3430962

信息必刷卷01(广东专用)参考答案_02高考数学_2025年新高考资料_2025考前信息卷_2025年高考数学考前信息必刷卷(广东专用)3430962

  • 2026-04-14 23:50:47 2026-04-14 23:50:47

文档预览

信息必刷卷01(广东专用)参考答案_02高考数学_2025年新高考资料_2025考前信息卷_2025年高考数学考前信息必刷卷(广东专用)3430962
信息必刷卷01(广东专用)参考答案_02高考数学_2025年新高考资料_2025考前信息卷_2025年高考数学考前信息必刷卷(广东专用)3430962
信息必刷卷01(广东专用)参考答案_02高考数学_2025年新高考资料_2025考前信息卷_2025年高考数学考前信息必刷卷(广东专用)3430962
信息必刷卷01(广东专用)参考答案_02高考数学_2025年新高考资料_2025考前信息卷_2025年高考数学考前信息必刷卷(广东专用)3430962
信息必刷卷01(广东专用)参考答案_02高考数学_2025年新高考资料_2025考前信息卷_2025年高考数学考前信息必刷卷(广东专用)3430962
信息必刷卷01(广东专用)参考答案_02高考数学_2025年新高考资料_2025考前信息卷_2025年高考数学考前信息必刷卷(广东专用)3430962
信息必刷卷01(广东专用)参考答案_02高考数学_2025年新高考资料_2025考前信息卷_2025年高考数学考前信息必刷卷(广东专用)3430962
信息必刷卷01(广东专用)参考答案_02高考数学_2025年新高考资料_2025考前信息卷_2025年高考数学考前信息必刷卷(广东专用)3430962
信息必刷卷01(广东专用)参考答案_02高考数学_2025年新高考资料_2025考前信息卷_2025年高考数学考前信息必刷卷(广东专用)3430962
信息必刷卷01(广东专用)参考答案_02高考数学_2025年新高考资料_2025考前信息卷_2025年高考数学考前信息必刷卷(广东专用)3430962
信息必刷卷01(广东专用)参考答案_02高考数学_2025年新高考资料_2025考前信息卷_2025年高考数学考前信息必刷卷(广东专用)3430962
信息必刷卷01(广东专用)参考答案_02高考数学_2025年新高考资料_2025考前信息卷_2025年高考数学考前信息必刷卷(广东专用)3430962

文档信息

文档格式
docx
文档大小
0.407 MB
文档页数
8 页
上传时间
2026-04-14 23:50:47

文档内容

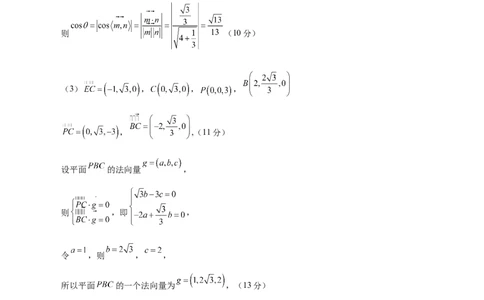
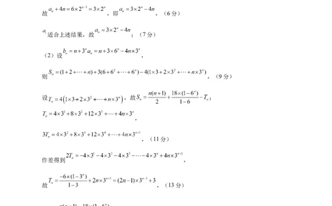
2025 年高考考前信息必刷卷 01(广东专用) 数 学·参考答案 一、单项选择题:本题共8小题,每小题5分,共40分.在每小题给出的四个选项中,只有一项是符合题 目要求的. 1 2 3 4 5 6 7 8 B C B C D C B B 二、多项选择题:本题共3小题,每小题6分,共18分.在每小题给出的选项中,有多项符合题目要求, 全部选对的得6分,部分选对的得部分分,有选错的得0分. 9 10 11 AD ABD ACD 三、填空题:本题共3小题,每小题5分,共15分. 12. 13. 14. 四、解答题:本题共5小题,共77分.解答应写出文字说明、证明过程或演算步骤. 15.(13分) 【解析】(1) 人中可有 男 女和 男 女(2分) 故所求概率 ;(5分) (2)由题意 可取 ,(6分) 则 , , , ,(10分) 所以X的分布列为:所以 .(13分) 16.(15分) 【解析】(1)由题意知数列 满足: , , 则 (3分) , ,故 为首项是6,公比为2的等比数列,(5分) 故 ,即 ,(6分) 适合上述结果,故 ;(7分) (2)设 , 则 ,(9分) 设 ,故 ; , ,(11分) 作差得到 , 故 ,(13分) , 故 .(15分) 17.(15分) 【解析】(1)如图,连接 与 交点为 ,因为 , , , , 由 ,得 , , , 所以 , , 所以 , 由 , , 所以 ,(2分) 因为 底面ABCD, 平面 , 因为 , 平面 , 平面 ,又因为 平面 , 所以 .(4分) (2)因为 , , 两两垂直,故以 为原点,建立如图空间直角坐标系 , 则 , , , , (5分) 设平面 的法向量 , 则 ,即 ,令 ,则 , , 所以平面 的一个法向量为 ,(7分) 平面 的一个法向量为 (8分) 设平面PEC与平面BEC的夹角为 , 则 (10分) (3) , , , , ,(11分) 设平面 的法向量 , 则 ,即 , 令 ,则 , , 所以平面 的一个法向量为 ,(13分) 设直线 与平面 的夹角为 , .(15分) 18.(17分) 【解析】(1)依题意 ,因为 ,所以 ,将 代入椭圆方程得 ,(2分) 解得 所以椭圆E的方程为 .(4分) (2)由(1)知 ,设A(x ,y ),B(x ,y ), , 1 1 2 2 由 知, , 即 ,即 ,(6分) ①当直线l垂直x轴时, 且 , 故 ,故 或 (舍去),此时点O到l的距离为 ;(8分) ②当直线l的斜率存在时,设 , 联立方程 得 , 由 得 ,且 , ,(10分) 由 ,得 ,(11分) 将 , 代入上式可得 , 即 ,所以 ,所以 (舍去)或 ,(13分) 显然 ,则点O到l的距离 .(16分) 综上,点O到l的距离最大值为 .(17分)19.(17分) 【解析】(1)证明:当 时,函数 , 所以 , 所以 ,即 ,(2分) 又函数 在R上处处相依, 所以导函数 在(0,1)上有零点;(4分) (2)因为 , 所以 ,(6分) 因为函数 在(0,+∞)上处处相依, 所以存在 , ,使得 , 故由题意存在 ,使得 恒成立即 恒成立, 所以 恒成立,(8分) 又 ,所以 .所以实数 的取值范围为 .(9分) (3)当 时, ,则 ,(10分) 因为 为函数 在 的相依区间, 所以 ,则 ,(12分) 因为 , 单调递减; , 单调递增; 所以 ,则 , 要证 ,即证 ,即证 ,即证 , ,(13 分) 令 , 则 , 令 , 则 ,(15分) 因为 , , , 所以 ,故函数 在(0,1)上单调递减,所以 , 所以φ'(x)<0,故函数φ(x)在(0,1)上单调递减,所以 , 所以 在(0,1)上恒成立,即证得 , , 从而 得证.(17分)