当前位置:首页>文档>字节精准教育联盟2025-2026学年高三上学期1月期末地理试卷(含答案)_全国高考模拟卷_2026年2月_260205四川省字节精准教育联盟2026届高三上学期1月期末综合能力调查

字节精准教育联盟2025-2026学年高三上学期1月期末地理试卷(含答案)_全国高考模拟卷_2026年2月_260205四川省字节精准教育联盟2026届高三上学期1月期末综合能力调查

  • 2026-04-15 12:51:43 2026-04-15 12:43:01

文档预览

字节精准教育联盟2025-2026学年高三上学期1月期末地理试卷(含答案)_全国高考模拟卷_2026年2月_260205四川省字节精准教育联盟2026届高三上学期1月期末综合能力调查
字节精准教育联盟2025-2026学年高三上学期1月期末地理试卷(含答案)_全国高考模拟卷_2026年2月_260205四川省字节精准教育联盟2026届高三上学期1月期末综合能力调查
字节精准教育联盟2025-2026学年高三上学期1月期末地理试卷(含答案)_全国高考模拟卷_2026年2月_260205四川省字节精准教育联盟2026届高三上学期1月期末综合能力调查
字节精准教育联盟2025-2026学年高三上学期1月期末地理试卷(含答案)_全国高考模拟卷_2026年2月_260205四川省字节精准教育联盟2026届高三上学期1月期末综合能力调查
字节精准教育联盟2025-2026学年高三上学期1月期末地理试卷(含答案)_全国高考模拟卷_2026年2月_260205四川省字节精准教育联盟2026届高三上学期1月期末综合能力调查
字节精准教育联盟2025-2026学年高三上学期1月期末地理试卷(含答案)_全国高考模拟卷_2026年2月_260205四川省字节精准教育联盟2026届高三上学期1月期末综合能力调查
字节精准教育联盟2025-2026学年高三上学期1月期末地理试卷(含答案)_全国高考模拟卷_2026年2月_260205四川省字节精准教育联盟2026届高三上学期1月期末综合能力调查
字节精准教育联盟2025-2026学年高三上学期1月期末地理试卷(含答案)_全国高考模拟卷_2026年2月_260205四川省字节精准教育联盟2026届高三上学期1月期末综合能力调查
字节精准教育联盟2025-2026学年高三上学期1月期末地理试卷(含答案)_全国高考模拟卷_2026年2月_260205四川省字节精准教育联盟2026届高三上学期1月期末综合能力调查
字节精准教育联盟2025-2026学年高三上学期1月期末地理试卷(含答案)_全国高考模拟卷_2026年2月_260205四川省字节精准教育联盟2026届高三上学期1月期末综合能力调查
字节精准教育联盟2025-2026学年高三上学期1月期末地理试卷(含答案)_全国高考模拟卷_2026年2月_260205四川省字节精准教育联盟2026届高三上学期1月期末综合能力调查

文档信息

文档格式
docx
文档大小
1.173 MB
文档页数
7 页
上传时间
2026-04-15 12:43:01

文档内容

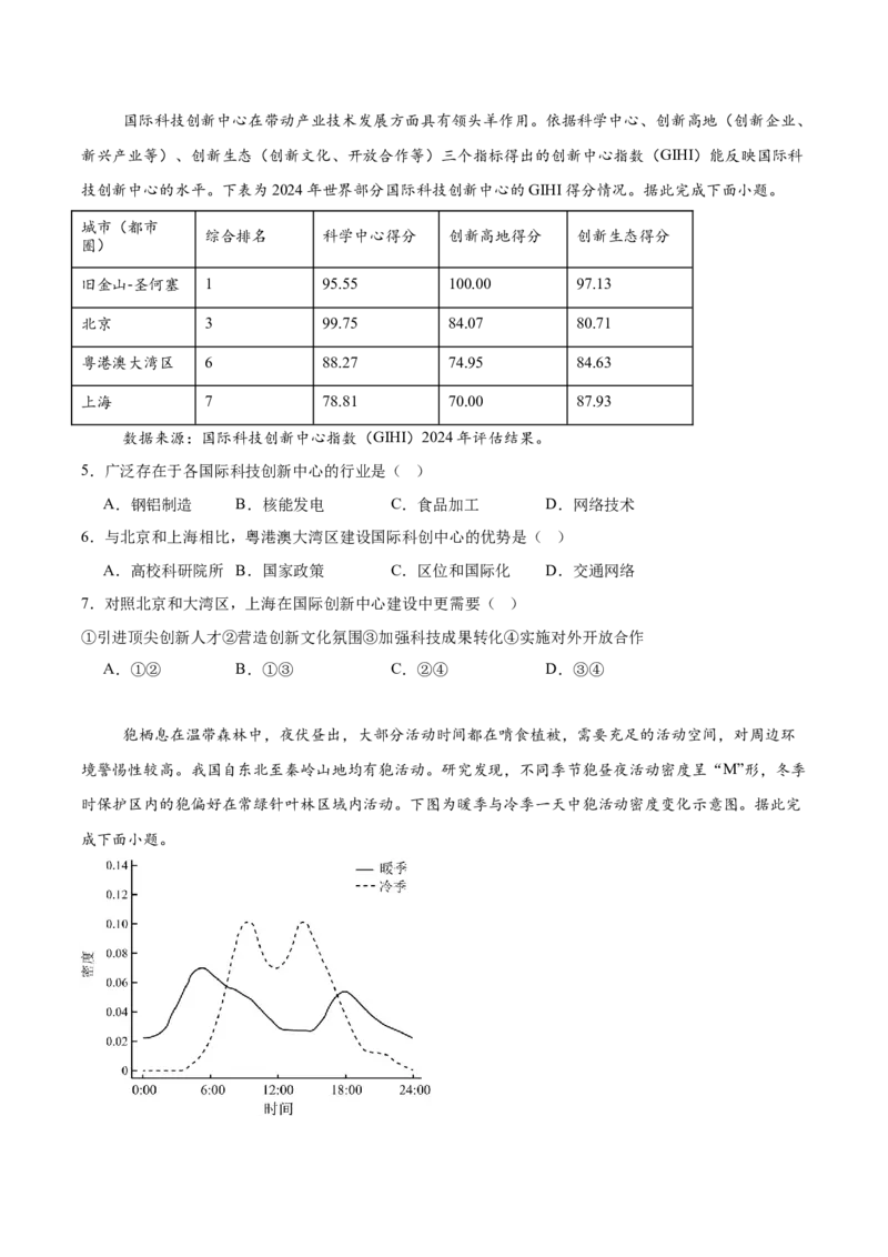
四川省字节精准教育联盟2025-2026学年高三上学期1月期末地理试题 一、单选题 如图为水循环示意图,其中土壤在自然环境中起到重要作用。完成下面小题。 1.土壤有机质主要来源于( ) A.风化壳 B.生物圈 C.岩石圈 D.水圈 2.土壤直接影响的水循环环节是( ) A.水汽输送量 B.降水量 C.植被蒸腾量 D.下渗量 下图为某研究小组绘制的某城市产业转型演变图。据此完成下面小题。 3.图中支撑性服务业主要有( ) ①科技服务②物流仓储③养老服务④餐饮服务 A.①② B.①③ C.②③ D.②④ 4.路径②所示的产业转型方式及其主要目的分别是( ) A.产业升级降低生产成本 B.产业集群加强上下游联系 C.产业更新提高产品竞争力 D.产业延伸促进集聚效益国际科技创新中心在带动产业技术发展方面具有领头羊作用。依据科学中心、创新高地(创新企业、 新兴产业等)、创新生态(创新文化、开放合作等)三个指标得出的创新中心指数(GIHI)能反映国际科 技创新中心的水平。下表为2024年世界部分国际科技创新中心的GIHI得分情况。据此完成下面小题。 城市(都市 综合排名 科学中心得分 创新高地得分 创新生态得分 圈) 旧金山-圣何塞 1 95.55 100.00 97.13 北京 3 99.75 84.07 80.71 粤港澳大湾区 6 88.27 74.95 84.63 上海 7 78.81 70.00 87.93 数据来源:国际科技创新中心指数(GIHI)2024年评估结果。 5.广泛存在于各国际科技创新中心的行业是( ) A.钢铝制造 B.核能发电 C.食品加工 D.网络技术 6.与北京和上海相比,粤港澳大湾区建设国际科创中心的优势是( ) A.高校科研院所 B.国家政策 C.区位和国际化 D.交通网络 7.对照北京和大湾区,上海在国际创新中心建设中更需要( ) ①引进顶尖创新人才②营造创新文化氛围③加强科技成果转化④实施对外开放合作 A.①② B.①③ C.②④ D.③④ 狍栖息在温带森林中,夜伏昼出,大部分活动时间都在啃食植被,需要充足的活动空间,对周边环 境警惕性较高。我国自东北至秦岭山地均有狍活动。研究发现,不同季节狍昼夜活动密度呈“M”形,冬季 时保护区内的狍偏好在常绿针叶林区域内活动。下图为暖季与冷季一天中狍活动密度变化示意图。据此完 成下面小题。8.与冷季相比,暖季狍日活动节律特点为( ) A.上午活动时间延迟 B.下午活动时间提前C.全天活动时间集中 D.全天活动 时间较长 9.与东北山地相比,狍在秦岭山地的分布高度及主导因素分别是( ) A.较高气温 B.较高降水 C.较低降水 D.较低气温 10.冬季狍偏好在常绿针叶林区域内活动,最主要的原因是林内( ) A.食物更丰富 B.活动空间更广 C.隐蔽性更好 D.气温相对更高 下图为长白山自然保护区西坡垂直自然带谱分布图,近年来森林带草本植被上侵高山苔原带,形成 初具规模的高山草甸带。该坡海拔从530m至2500m的年降水量由750mm增至1340mm。研究发现,图示 区域植被带下的土壤含水量随着海拔升高逐渐增加,但是岳桦林带土壤含水量高于高山草甸带。据此完成 下面小题。 11.促使森林带草本植被上侵形成高山草甸带的主导因素是( ) A.土壤 B.降水 C.热量 D.光照 12.土壤含水量大致表现为随着海拔升高而逐渐增加,其主要影响因素是( ) A.山地坡度 B.植被生物量 C.大气降水 D.平均气温 13.与高山草甸带相比,岳桦林带土壤含水量较高,最主要是因为岳桦林带( ) A.消耗水分少 B.地表蒸发弱 C.年降水量多 D.畜牧业发达 嶂石岩地区为太行山中段中生代造山运动中先折后断的抬升区,嶂石岩是由岩性坚硬、节理发育的 红色石英砂岩(下伏相对软弱的泥、页岩,下图)受外力作用形成的赤壁悬崖,因像一道顶天立地的石头屏障而得名。大部分悬崖分成三层绝壁,它每层高度在100米至150米之间,陡崖与陡崖之间是自然形成 的平台。尤其是当日出日落的阳光照射在崖壁上时,绝美壮观。据此,完成下面小题。 14.嶂石岩的形成首先得益于( ) A.流水侵蚀 B.岩浆活动 C.褶皱隆起 D.风化作用 15.据图分析,三层绝壁形成和退缩的直接原因是( ) A.流水侵蚀 B.地壳运动 C.风力作用 D.重力崩塌 16.春分日傍晚,旅游者在甲地欣赏绝壁美景时,其看到的日落方位是( ) A.正西 B.西南 C.西北 D.正北 二、综合题 17.阅读图文材料,完成下列要求。 最近几年,南疆地区农民利用房前屋后自家庭院,搭建拱棚,种植蔬菜,足不出户,增收致富。这 些大棚里生产出来的新鲜蔬菜,不仅满足了本地需要,而且还跨越天山南北,被端上全疆千家万户的餐桌。 目前,在政府、企业和农户的共同参与下,南疆地区设施蔬菜种植得到快速发展,面积由过去占全疆的四 成提高到近八成,成为新疆最重要的设施蔬菜生产基地。图示意该地区蔬菜大棚。 (1)描述南疆地区蔬菜种植面临的自然条件。 (2)自然条件不算优越的南疆缘何能成为新疆最重要的设施蔬菜生产基地,请说明理由。(3)简述利用房前屋后搭建拱棚种植蔬菜对农民的好处。 18.阅读图文材料,回答下列问题。 艾草是一种多年生草本植物,对环境适应性强,向阳而排水顺畅的地方都能够生长,但以湿润、肥 沃的土壤生长较好。艾叶具有祛湿、散寒、驱邪毒等功效。我国民间自古就有食艾、悬艾、饮艾、熏艾的 习俗。 南阳市(下图)位于河南省西南部,地处三面环山、南部开口的盆地。该市是我国目前最大的优质 艾草种植基地和集散地。近年来,南阳把发展艾草产业作为全市大健康产业的重点。科研部门培育出了含 绒量更高、药用价值更好的艾草新品种,取代了野生艾草。自带绿色生态属性的艾草,是发展扶贫产业的 “最佳拍档”,农民可在家门口实现就业。依托艾草种植,当地企业生产的艾条、艾绒、艾叶精油等产品 大量销往各地。据统计,艾草亩均年效益可达3000多元。 (1)结合材料分析南阳市发展艾草种植的有利自然条件。 (2)分析近年来南阳市艾草种植大面积增加的主要社会经济原因。 (3)分析南阳市把艾草产业定位为扶贫产业对当地产生的效益。 19.阅读材料,完成下列要求。 2025年秋季,我国北方(华北、黄淮、陕北等)遭遇历史罕见的持续性强秋雨,同期400毫米等降 水量线较常年明显北移西扩,原本位于半干旱区的部分区域出现短期湿润化特征。 气象监测显示,2024~2025年厄尔尼诺事件衰减期与印度洋正相位偶极子共同影响,导致西太平洋 副热带高压强度偏强,持续引导南海与孟加拉湾的暖湿气流北上;同时秋季北方冷空气活动频繁,与暖湿 气流在北方地区长时间对峙。北方多山地地形进一步加剧了降水强度。此次异常秋雨对北方地区产生显著 影响,河北、山东部分低洼农田出现次生盐碱化,小麦锈病等喜湿病害频发;北京、太原等地地下水水位较往年同期回升明显,干涸多年的小型湖泊重新蓄水。 (1)结合材料,分析2025年我国北方异常秋雨的形成原因。 (2)分析此次异常秋雨对北方农业生产的影响。 (3)说明400毫米等降水量线北移西扩和北方半干旱区向半湿润区转型现象不会永久持续的理由。参考答案 1.B 2.D 3.A 4.C 5.D 6.C 7.B 8.D 9.A 10.A 11.C 12.C 13.B 14.C 15.D 16.B 17.(1)南疆地区光热资源充足;昼夜温差大;冬季气温低;全年降水较少;土地面积广大,但存在土地盐 碱化的问题。 (2)政策支持;冷藏保鲜技术的进步,农业生产技术的进步;农户素质的提高,龙头企业的引领;市场需求 量大。 (3)提高庭院土地利用率;庭院小拱棚投入小、生产灵活;满足自家蔬菜的需求;足不出户就可以增加经济 收入。 18.(1)三面环山,盆地向南开口,多向阳坡地,光照、热量丰富,且利于排水;地处季风气候区,受夏季 风影响大,加之山地抬升,降水丰富;北部地势较高,受寒潮影响小,利于艾草越冬和春季生长;盆地地 形,土层深厚,土壤肥沃。 (2)人们对健康生活追求提高,艾草新品种质量好,市场需求量不断增加;交通条件不断改善,利于艾草产 品集散;艾草种植既利于环保,又利于脱贫致富,政策支持力度加大;经济收益好,农民生产积极性提高。 (3)延长了产业链,增加产品附加值;增加就业,增加了农民的收入;艾草的用途广,经济效益好。 19.(1)副热带高压偏强且稳定偏北,持续输送暖湿气流,与频繁南下的冷空气长期对峙,形成稳定降水系 统;厄尔尼诺衰减期与印度洋正相位偶极子共同作用,干扰大气环流,为暖湿气流北上提供有利条件;太 行山、黄土高原等地形对暖湿气流阻挡抬升,促进水汽凝结,增强降水强度。 (2)有利:部分干旱区土壤水分改善,利于冬小麦播种出苗。 不利:持续降雨导致农田积水,地下水水位上升,土壤通气性变差,同时引发次生盐碱化,破坏土壤肥力; 病害频发,影响农作物生长发育,导致减产;不利于农作物收割和晾晒。 (3)400毫米等降水量线北移是短期海气活动异常的结果,属于极端气候事件引发的暂时性波动,区域气候 类型转型需具备长期稳定的降水、蒸发等气候指标变化;北方地区降水年际变化大,此次秋雨的异常特征 不具备持续性,未来仍可能回归常年降水格局。