当前位置:首页>文档>2025考研数学(二)真题试卷及解析详细版_27考研真题_考研数学一、二、三历年真题+考研数学资料(1994-2026)_考研数学真题(1987-2026)_考研数学真题(1987-2026)_数学二

2025考研数学(二)真题试卷及解析详细版_27考研真题_考研数学一、二、三历年真题+考研数学资料(1994-2026)_考研数学真题(1987-2026)_考研数学真题(1987-2026)_数学二

  • 2026-04-16 15:23:37 2026-04-16 14:44:56

文档预览

2025考研数学(二)真题试卷及解析详细版_27考研真题_考研数学一、二、三历年真题+考研数学资料(1994-2026)_考研数学真题(1987-2026)_考研数学真题(1987-2026)_数学二
2025考研数学(二)真题试卷及解析详细版_27考研真题_考研数学一、二、三历年真题+考研数学资料(1994-2026)_考研数学真题(1987-2026)_考研数学真题(1987-2026)_数学二
2025考研数学(二)真题试卷及解析详细版_27考研真题_考研数学一、二、三历年真题+考研数学资料(1994-2026)_考研数学真题(1987-2026)_考研数学真题(1987-2026)_数学二
2025考研数学(二)真题试卷及解析详细版_27考研真题_考研数学一、二、三历年真题+考研数学资料(1994-2026)_考研数学真题(1987-2026)_考研数学真题(1987-2026)_数学二
2025考研数学(二)真题试卷及解析详细版_27考研真题_考研数学一、二、三历年真题+考研数学资料(1994-2026)_考研数学真题(1987-2026)_考研数学真题(1987-2026)_数学二
2025考研数学(二)真题试卷及解析详细版_27考研真题_考研数学一、二、三历年真题+考研数学资料(1994-2026)_考研数学真题(1987-2026)_考研数学真题(1987-2026)_数学二
2025考研数学(二)真题试卷及解析详细版_27考研真题_考研数学一、二、三历年真题+考研数学资料(1994-2026)_考研数学真题(1987-2026)_考研数学真题(1987-2026)_数学二
2025考研数学(二)真题试卷及解析详细版_27考研真题_考研数学一、二、三历年真题+考研数学资料(1994-2026)_考研数学真题(1987-2026)_考研数学真题(1987-2026)_数学二
2025考研数学(二)真题试卷及解析详细版_27考研真题_考研数学一、二、三历年真题+考研数学资料(1994-2026)_考研数学真题(1987-2026)_考研数学真题(1987-2026)_数学二
2025考研数学(二)真题试卷及解析详细版_27考研真题_考研数学一、二、三历年真题+考研数学资料(1994-2026)_考研数学真题(1987-2026)_考研数学真题(1987-2026)_数学二
2025考研数学(二)真题试卷及解析详细版_27考研真题_考研数学一、二、三历年真题+考研数学资料(1994-2026)_考研数学真题(1987-2026)_考研数学真题(1987-2026)_数学二
2025考研数学(二)真题试卷及解析详细版_27考研真题_考研数学一、二、三历年真题+考研数学资料(1994-2026)_考研数学真题(1987-2026)_考研数学真题(1987-2026)_数学二
2025考研数学(二)真题试卷及解析详细版_27考研真题_考研数学一、二、三历年真题+考研数学资料(1994-2026)_考研数学真题(1987-2026)_考研数学真题(1987-2026)_数学二
2025考研数学(二)真题试卷及解析详细版_27考研真题_考研数学一、二、三历年真题+考研数学资料(1994-2026)_考研数学真题(1987-2026)_考研数学真题(1987-2026)_数学二
2025考研数学(二)真题试卷及解析详细版_27考研真题_考研数学一、二、三历年真题+考研数学资料(1994-2026)_考研数学真题(1987-2026)_考研数学真题(1987-2026)_数学二
2025考研数学(二)真题试卷及解析详细版_27考研真题_考研数学一、二、三历年真题+考研数学资料(1994-2026)_考研数学真题(1987-2026)_考研数学真题(1987-2026)_数学二
2025考研数学(二)真题试卷及解析详细版_27考研真题_考研数学一、二、三历年真题+考研数学资料(1994-2026)_考研数学真题(1987-2026)_考研数学真题(1987-2026)_数学二
2025考研数学(二)真题试卷及解析详细版_27考研真题_考研数学一、二、三历年真题+考研数学资料(1994-2026)_考研数学真题(1987-2026)_考研数学真题(1987-2026)_数学二
2025考研数学(二)真题试卷及解析详细版_27考研真题_考研数学一、二、三历年真题+考研数学资料(1994-2026)_考研数学真题(1987-2026)_考研数学真题(1987-2026)_数学二
2025考研数学(二)真题试卷及解析详细版_27考研真题_考研数学一、二、三历年真题+考研数学资料(1994-2026)_考研数学真题(1987-2026)_考研数学真题(1987-2026)_数学二
2025考研数学(二)真题试卷及解析详细版_27考研真题_考研数学一、二、三历年真题+考研数学资料(1994-2026)_考研数学真题(1987-2026)_考研数学真题(1987-2026)_数学二
2025考研数学(二)真题试卷及解析详细版_27考研真题_考研数学一、二、三历年真题+考研数学资料(1994-2026)_考研数学真题(1987-2026)_考研数学真题(1987-2026)_数学二
2025考研数学(二)真题试卷及解析详细版_27考研真题_考研数学一、二、三历年真题+考研数学资料(1994-2026)_考研数学真题(1987-2026)_考研数学真题(1987-2026)_数学二
2025考研数学(二)真题试卷及解析详细版_27考研真题_考研数学一、二、三历年真题+考研数学资料(1994-2026)_考研数学真题(1987-2026)_考研数学真题(1987-2026)_数学二
2025考研数学(二)真题试卷及解析详细版_27考研真题_考研数学一、二、三历年真题+考研数学资料(1994-2026)_考研数学真题(1987-2026)_考研数学真题(1987-2026)_数学二

文档信息

文档格式
pdf
文档大小
1.717 MB
文档页数
21 页
上传时间
2026-04-16 14:44:56

文档内容

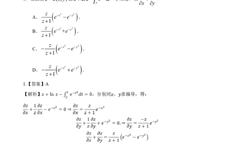
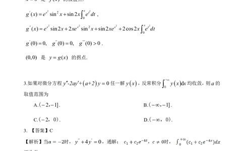
2025 考研数学(二) 真题 试卷及解析 一、选择题:1~10小题,每小题5分,共50分.下列每题给出的四个选项中,只有一个选 项是符合题目要求的. 1. 设函数z  z(x,y)由zlnz x et2 dt 0确定,则 z  z  y x y z   A. ex2 ey2 . z1 z   B. ex2 +ey2 . z1 z   C. ex2 ey2 . z1 z   D. ex2 ey2 . z1 1.【答案】A 【解析】 ,分别对 求偏导,得: 2.已知函数 f  x   x et2 sintdt ,g  x   x et2 dtsin2x,则 0 0 A.x0是 f  x 的极值点,也是g  x 的极值点. B.x0是 f  x 的极值点, 0,0 是曲线y  g  x 的拐点. C.x0是 f  x 的极值点, 0,0 是曲线y  f  x 的拐点. 数学试题及解析 第1页(共3页) 更多资料关注微信公众号:考研文库D. 0,0 是曲线 y  f  x 的拐点, 0,0 也是曲线 y  g  x 的拐点. 【答案】B 【解析】 f(x)ex2 sinx, f(x)2xex2 sinxex2 cosx f(0)0, f(0)10. x0 是 f(x) 的极值点. g(x)ex2 sin2xsin2x x et2 dt , 0 g(x)ex2 sin2x2xex2 sin2xsin2xex2 2cos2x x et2 dt 0 g(0)0, g(0)0, g(0)0 . (0,0) 是 y  g(x) 的拐点. + 3.如果对微分方程y-2ay+  a+2  y 0任一解y  x ,反常积分 y  x  dx均收敛,则a的 0 取值范围为 A.(2,1]. B.(,1]. C. (2,0) . D. (,0) . 3. 【答案】C 【解析】当 时,y 4y 0,通解: , 时, 不收敛. 故B、D排除. 当 时, ,通解: 收敛. 数学试题 第2页(共3页) 更多资料关注微信公众号:考研文库4.设函数 f  x ,g  x 在x0某去心邻域内有定义且恒不为0,若x0时,f  x 是g  x  的高阶无穷小,则当x0时 A. f  x g  x o g  x  . B. f  x  g  x o f 2 x  . C. f  x o  egx 1  . D. f  x o g2 x  . 4.【答案】C 【解析】由题易知, 时, 是 高阶无穷小. 则有 及 , . 又 , 在 某去心邻域内有定义且不恒等于0. 故对于 选项,等式两端同除 得: 取极限得 即 ,显然A不成立. 对于B选项,等式两端同除 得 两端取极限得 , 即 ,显然不成立. 对于C选项,等式两端同除 得 数学试题 第3页(共3页) 更多资料关注微信公众号:考研文库取极限得 显然有 ,故 正确. 对于D等式两端同除 得 取极限得 ,显然不成立. 综上选C. 5.设函数 f(x,y)连续,则 2 dx 4 f  x,y  dy  2 4x2 A. 4    4y f  x,y  dx 2 f  x,y  dx   dy . 0  2 4y  B. 4    4y f  x,y  dx 2 f  x,y  dx   dy . 0  2 4y  C. 4     4y f  x,y  dx 4y f  x,y  dx   dy . 0  2 2  D.2 4 dy 2 f  x,y  dx. 0 4y 【答案】A 【解析】由题易知,此二重积分积分区域为 数学试题 第4页(共3页) 更多资料关注微信公众号:考研文库  D (x,y) 4x2 y4,2 x2 ,对应图像为上图所示。     记D  (x,y) 4x2 y4,2 x0 ,D  (x,y) 4x2 y4,0 x2 ,且 1 2 I= 2 dx 4 f  x,y  dy ,则I= f  x,y  d f  x,y  d,交换积分次序得 2 4x2 D D 1 2 I= 4 dy  4y f  x,y  dx  4 dy 2 f  x,y  dx 0 2 0 4y   4   4y f  x,y  dx 2 f  x,y  dx  dy   0  2 4y  故A正确。 6. 设单位质点P,Q分别位于点(0,0)和(0,1)处,P从点(0,0)出发沿x轴正向移动,记G为 引力常量,则当质点P移动到点(l,0)时,克服质点Q的引力所做的功为( )  l G dx  l Gx dx A. 0 x2 1 B. 0 (x2 1) 3 2 l G l G(x1)  dx  dx C. 0 (x2 1) 3 2 D. 0 (x2 1) 3 2 【答案】A 【解析】由题可知,其对应如图所示. 单位质点P与单位质点Q之间的引力为 数学试题 第5页(共3页) 更多资料关注微信公众号:考研文库其中 为两质点间的距离. 旦由图可知 又引力F在 方向上的力投影为 . 故克服引力做功为: 1 1 G x 1 Gx W  Fdx dx dx 0 x 0(x2 1) 1x2 0 3 (1x2)2 7.设函数 f(x)连续,给出下列4个条件: f(x)  f(0) ①lim 存在; x0 x f(x) f(0) ②lim 存在; x0 x f(x) ③lim 存在; x0 x f(x) f(0) ④lim 存在. x0 x 其中可得到“ f(x)在x0处可导”的条件个数为 A.1. B.2. C.3. D.4. 7.【答案】B 【解析】① . 或 为正. 数学试题 第6页(共3页) 更多资料关注微信公众号:考研文库若 为正,则当x0时. 有 .则  若 , f x lim  A x0 x ,则 存在,若 ,则 不存在.  f x lim  A x0 x ②由 ,则 若 ,则 若 ,则 从而②成立. ③由 存在,则 . 则同①,从而③错. ④ 存在,则 在 处可导 在 处可导,④正确. 从而①③错误,②④正确,选B. 1 2 0   8.设矩阵 2 a 0 有一个正特征值和两个负特征值,则( )     0 0 b A.a 4,b0 B.a4,b0 C.a 4,b0 D.a4,b0 【答案】D 【解析】 数学试题 第7页(共3页) 更多资料关注微信公众号:考研文库1 2 0   令A 2 a 0 ,为实对称矩阵,对应二次型为 f  x ,x ,x x2ax2bx24x x ,   1 2 3 1 2 3 1 2   0 0 b 则用配方法将其化为标准型,f  x ,x ,x  x 2x 2(a4)x2bx2。已知A有一正两 1 2 3 1 2 2 3 负特征值,则 a40 a4   ,故选D.  b0 b0 1 1 0 1   9.下列矩阵中,可以经过若干初等行变换得到矩阵 0 0 1 2 的是     0 0 0 0 1 1 0 1 1 1 0 1     1 2 1 3 . 1 1 2 5 .         2 3 1 4 1 1 1 3 A. B. 1 0 0 1 1 1 2 3     0 1 0 3 . 1 2 2 3 .         0 1 0 0 2 3 4 6 B. D. 9.【答案】B 【解析】 A选项: B选项: C选项: 数学试题 第8页(共3页) 更多资料关注微信公众号:考研文库D选项: 数学试题 第9页(共3页) 更多资料关注微信公众号:考研文库A,B r(AB)=r(BA)+1, 10.设3阶矩阵 满足 则 (A+B)x = 0 A.方程组 只有零解. B.方程组Ax =0与方程组Bx =0均只有零解. C.方程组Ax =0与方程组Bx =0没有公共非零解. D.方程组ABAx =0与方程组BABx =0有公共非零解. 【答案】D 【解析】 取 ,则 , . , .排除B,C. , 排除A,故选D. 二、填空题:11~16小题,每小题5分,共30分.  a 11.设 dxln2,则a  ______. 1 x  2xa  【解析】a 2. 数学试题 第10页(共3页) 更多资料关注微信公众号:考研文库原式  a  a   dx lnxln(2x a)    dx lnxln(2x a)  1 x(2xa) 1 1 x(2xa) 1 x 1 x  lim ln ln  lim ln(2a) x 2xa 2a x xa 1 ln ln(2a)ln2 2 ln(2a)2ln2a2 12.曲线 y  3 x33x2 1的渐近线方程为______. 【解析】 可得无水平渐近线、铅直渐近线,故求斜渐近线即可. 故 1  1 2 n1 13.lim  ln 2ln  n1  ln  ______ . nn2  n n n  【解析】 数学试题 第11页(共3页) 更多资料关注微信公众号:考研文库数学试题 第12页(共3页) 更多资料关注微信公众号:考研文库xln  12t  ,  dy 14.已知函数 y  y  x 由 确定,则  ______. 2t yt2 eu2 du 0 dx t0  1 【解析】 由②两边关于 求导,则 当 时, 则 . 15.微分方程 2y3x  dx 2x5y  dy 0满足条件 y  1 1的解为______. 【答案】3x2 4xy5y2 4 【解析】 解: (2y3x)dx(2x5y)dy=0 2ydx2xdy3xdx5ydy=0 3 5 d(2xy)d( x2)d( y2)=0 2 2 即 3 5 d(2xy x2 y2)=0 2 2 3 5 2xy x2 y2 c 2 2 数学试题 第13页(共3页) 更多资料关注微信公众号:考研文库又因为 y(1)1 则 3 5 2  c,c2 2 2 即 3 5 2xy x2 y2 2 2 2 3x2 4xy5y2 4 2x 2011x2 则所求方程为 y  . 5 16.设矩阵 A a ,a ,a ,a  ,若 a ,a ,a 线性无关,且 a a a a ,则方程组 1 2 3 4 1 2 3 1 2 3 4 Ax a 4a 的通解为x  ______. 1 4  1  1     1 0     【答案】 k  ,k为任意常数 1 0     1 4 【解析】由于   ,故,,, 线性相关;且已知,,线性无关, 1 2 3 4 1 2 3 4 1 2 3 1 1     0 0 则 r  A 3 。那么 Ax4 等价于 ,,,     4 ,故   是 1 4 1 2 3 4 0 1 4 0     4 4 Ax4 的一个特解。又因为   ,即   0 ,则 1 4 1 2 3 4 1 2 3 4  1   1      1 1 ,,,    0 。由s nr  A  431可得,   是Ax0的一个基础解 1 2 3 4 1 1     1 1 数学试题 第14页(共3页) 更多资料关注微信公众号:考研文库系,故Ax4的通解为 1 4  1  1     1 0     k  ,其中k为任意常数。 1 0     1 4 数学试题 第15页(共3页) 更多资料关注微信公众号:考研文库三、解答题:17~22小题,共70分.解答应写出文字说明、证明过程或演算步骤. 17.(本题满分10分) 1 1 计算 dx. 0 x1  x2 2x2  17.解: 1 1 1 A BxC   dx    dx 0 (x1)  x22x2  0 x1 x22x2  1 1 3   x   1 5 3 5     dx 0 x1 x22x2    1 1 1 1 1 2 3 1  ln|1x|  ln x22x2  arctan(x1)  ln2 π. 5 10 5 0 10 1 0 0 0 18.(本题满分12分) xf  x e2sinx 1 设函数 f  x 在x 0处连续,且lim 3. x0 ln  1x ln  1x  证明 f  x 在x 0处可导,并求 f 0  . 18 解: 已知ln(1x)ln(1x) x 1 x2o  x2 x 1 x2o  x2  x2o  x2  2 2 e2sinx 12sinx 1 (2sinx)2 o  x2  12sinx2sin2 xo  x2  2 xf(x)e2sinx 1 xf(x)  12sinx2sin2xo  x2 1 因此,3lim lim x0 x2 x0 x2 xf(x)2sinx 2sin2 x lim lim x0 x2 x0 x2 数学试题 第16页(共3页) 更多资料关注微信公众号:考研文库xf(x)2  x 1 x3o  x3  xf(x)2sinx  6  可以得出lim 5,lim 5 , x0 x2 x0 x2 xf(x)2x f(x)2 进一步可以得出lim 5,以及lim 5, x0 x2 x0 x f(x)2 lim[f(x)2]0,可得lim f(x)2 f(0),故 f(0)lim 5。 x0 x0 x0 x 数学试题 第17页(共3页) 更多资料关注微信公众号:考研文库19.(本题满分12分) 设函数 f  x,y  可微,且满足 df  x,y 2xeydxey  x2  y1  dy, f  0,0 2, 求 f  x,y ,并求 f  x,y 的极值. 19. 解: f f 2xey  f(x,y)x2ey (y). 则  x2ey (y)eyx2(y1)ey x y 则 (y)(y1)ey (y)(y2)ey C 则 f(x,y)x2ey (y2)ey C 又f(0,0)2 ,C0 则 f(x,y)x2ey (y2)ey. ì ¶f ï =-2xe-y =0 ¶x ì x=0 Þ ï ï ¶f =e-y(x2 - y-1)=0 ïîy=-1 î¶y 则驻点(0,-1) f = -2e-y, f = 2xe-y, f =e-y(x2- y -1)-e-y =e-y(x2- y) xx xy yy 在点(0,-1)处A= -2e,B = 0,C = -e 则AC - B2 >0,A< 0,从而 f (x,y)在(0,-1)处有极大值,且极大值为 f (0,-1)=e 20.(本题满分12分) 数学试题 第18页(共3页) 更多资料关注微信公众号:考研文库已知平面有界区域D   x,y  |x2  y2 4x,x2  y2 4y  ,计算  x y 2 dxdy. D 16 【答案】 12 3 由题可知,积分区域D   (x,y∣)(x2)2 y2 22,x2(y2)2 22 对应图形为右图所示, 显然积分区域关于 y  x对称 记D   (x,y∣) x2(y2)2 22,yx  1 D   (x,y∣)(x2)2 y2 22,yx  2 故I  (x y)2dxdy  (x y)2dxdy(x y)2dxdy D D D 1 2 2(x y)2dxdy D 1 0r4cos  令xrcos.y rsin 则在积分区域D 上有   1 0    4  则(x y)2dxdy   x2  y2 2xy  dxdy  4d 4cos r2 2r2cossin  rdr 0 0 D D 1 1    4d 4cos r32r3cossin  dr  6 8 0 0 3 8 16 故I 2(6 )12 . 3 3 21.(本题满分12分) 设函数 f  x 在区间 a,b 内可导.证明导函数 f x 在 a,b 内严格单调增加的充分必要条 件是: 数学试题 第19页(共3页) 更多资料关注微信公众号:考研文库f  x  f  x  f  x  f  x  对 a,b 内任意的x ,x ,x ,当x  x  x 时, 2 1  3 2 . 1 2 3 1 2 3 x x x x 2 1 3 2 解: 充分性:若对(a,b)内任意的x ,x ,x ,当x  x  x 时,都有 1 2 3 1 2 3 f  x  f  x  f  x  f  x  2 1  3 2 x x x x 2 1 3 2 (a,b)内取任意的x  x  x  x  x ,有 则在 1 2 3 4 5 f  x  f  x  f  x  f  x  f  x  f  x  f  x  f  x  2 1  3 2  4 3  5 4 x x x x x x x x 2 1 3 2 4 3 5 4 f  x  f  x  f  x  f  x  x  x,得 在 2 1  3 2 两边同时令 2 1 x x x x 2 1 3 2 f  x  f  x  x  x ,得 f  x  f  x  f  x  3 1 ,两边同时令 2 3 3 1  f  x  ,即  1 x x x x  3 3 1 3 1 f  x  f  x  f  x  f  x  f  x  3 1  f   x  ,同理可得 f  x  3 1  f   x  .因为  1 x x  3  3 x x  5 3 1 3 1 f  x  f  x  f  x  f  x  f  x  f  x  .由x ,x 的任意性,可得 f x 在 3 1  5 3 ,所以  1  5 1 5 x x x x 3 1 5 3   a,b 内严格单调递增,充分性得证。 f x  单调递增,在  x ,x  ,  x ,x  上分别使用拉格朗日中值定理, 再证必要性,即已知 1 2 2 3 知存在 x ,x  ,  x ,x  ,使 1 1 2 2 2 3 f  x  f  x  f  x  f  x  f 2 1 , f 3 2 , 1 x x 2 x x 2 1 3 2 f x  单调递增,且  知, f f ,即 又由 1 2 1 2 ,必要性得证。 f  x  f  x  f  x  f  x  2 1  3 2 x x x x 2 1 3 2 数学试题 第20页(共3页) 更多资料关注微信公众号:考研文库综上所述,充要条件得证。 22.(本题满分12分)  4 1 2 k 0 0     已知矩阵A 1 1 1 与B  0 6 0 合同.       2 1 a    0 0 0  (1)求a的值及k 的取值范围; (2)若存在正交矩阵Q,使得QTAQ B,求k 及Q. (1)A与B合同知,二者有相同的正负惯性指数 显然,B的特征值为 K、6、0,故 有特征值0.故 . 计算得 ,即有 . 此时 . 知 的特征值为3、6、0. P=2. 故k>0. (2)由 ,知 . 故 、 相似,特征值相同,故 .对A: 时,解 , , 时,解 , 时,解 再单位化得: . 数学试题 第21页(共3页) 更多资料关注微信公众号:考研文库