当前位置:首页>文档>第一周 周四_2025年新高考资料_二轮复习_2025年高考数学大二轮_2025数学二轮专题复习教师用书Word版文档_每日一练_第一周

第一周 周四_2025年新高考资料_二轮复习_2025年高考数学大二轮_2025数学二轮专题复习教师用书Word版文档_每日一练_第一周

  • 2026-04-20 23:06:44 2026-04-20 23:06:44

文档预览

第一周 周四_2025年新高考资料_二轮复习_2025年高考数学大二轮_2025数学二轮专题复习教师用书Word版文档_每日一练_第一周
第一周 周四_2025年新高考资料_二轮复习_2025年高考数学大二轮_2025数学二轮专题复习教师用书Word版文档_每日一练_第一周
第一周 周四_2025年新高考资料_二轮复习_2025年高考数学大二轮_2025数学二轮专题复习教师用书Word版文档_每日一练_第一周
第一周 周四_2025年新高考资料_二轮复习_2025年高考数学大二轮_2025数学二轮专题复习教师用书Word版文档_每日一练_第一周
第一周 周四_2025年新高考资料_二轮复习_2025年高考数学大二轮_2025数学二轮专题复习教师用书Word版文档_每日一练_第一周
第一周 周四_2025年新高考资料_二轮复习_2025年高考数学大二轮_2025数学二轮专题复习教师用书Word版文档_每日一练_第一周
第一周 周四_2025年新高考资料_二轮复习_2025年高考数学大二轮_2025数学二轮专题复习教师用书Word版文档_每日一练_第一周
第一周 周四_2025年新高考资料_二轮复习_2025年高考数学大二轮_2025数学二轮专题复习教师用书Word版文档_每日一练_第一周

文档信息

文档格式
docx
文档大小
0.044 MB
文档页数
4 页
上传时间
2026-04-20 23:06:44

文档内容

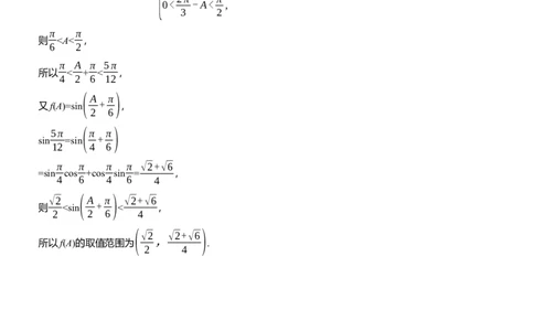
周四 y2 1.(2024·丽水、湖州、衢州模拟)双曲线x2- =1(m>0)的渐近线方程为y=±2x,则m等于( ) m2 1 √2 A. B. 2 2 C.√2 D.2 答案 D |m| 解析 由题意可得 =2,又m>0,故m=2. 1 2.(2024·赣州适应性考试)由0和1组成的序列称为0-1序列,序列中数的个数称为这个序列的长度,如 01011是一个长度为5的0-1序列,在长度为8的0-1序列中,所有1互不相邻的序列个数为( ) A.20 B.54 C.55 D.280 答案 C 解析 设长度为n的0-1序列中任何两个1不相邻的序列有c 个,考虑最后一个数: n 如果最后一位是0,只要前(n-1)位任何两个1不相邻即可,则满足要求的序列有c 个;若最后一位是1, n-1 倒数第二位是0,于是只要前(n-2)位任何两个1不相邻即可,则满足要求的序列有c 个, n-2 由分类加法计数原理得c =c +c (n≥3),显然,c =2,c =3, n n-2 n-1 1 2 则c =c +c =2+3=5,c =c +c =3+5=8,c =c +c =5+8=13,c =c +c =8+13=21,c =c +c =13+21=34, 3 1 2 4 2 3 5 3 4 6 4 5 7 5 6 c =c +c =21+34=55, 8 6 7 所以在长度为8的0-1序列中,所有1互不相邻的序列有55个. 3.(多选)(2024·辽宁教研教改联合体联考)已知函数f(x)=|ex-a|-aln x,则下列说法正确的有( ) A.若a<0,则f(x)的值域为R B.若a=1,则过原点有且仅有一条直线与曲线y=f(x)相切 C.存在a>0,使得f(x)有三个零点 D.若f(x)≥0,则a的取值范围为[0,e] 答案 ABD 解析 A选项,若a<0,则ex-a>0, 故f(x)=|ex-a|-aln x=ex-a-aln x,x>0, 当x趋近于0时,-aln x趋近于负无穷,此时f(x)=ex-a-aln x趋近于负无穷, 当x趋近于正无穷时,-aln x和ex都趋近于正无穷,函数值趋近于正无穷, 因此函数f(x)的值域为R,A正确; B选项,函数定义域为(0,+∞),当a=1时,f(x)=|ex-1|-ln x,因为当x>0时,ex-1>0,故f(x)=ex-1-ln x, 1 则f'(x)=ex- ,设切点坐标为(x ,y ), x 0 0 1 故f'(x )=ex 0- , 0 x 0 则在x=x 处,y=f(x)的切线方程为 0 y-(ex 0-1-ln x 0 )= ( ex 0- x 1 ) (x-x 0 ), 0 把点(0,0)代入切线方程得-(ex 0-1-ln x 0 )= ( ex 0- x 1 ) (0-x 0 ), 0 化简得ln x =(1-x )ex 0, 0 0 当01时,ln x >0>(1-x )ex 0,此方程无解, 0 0 0 当x =1时,ln x =0=(1-x )ex 0,且函数y=ln x-(1-x)ex为增函数, 0 0 0 故方程ln x =(1-x )ex 0只有x =1这1个解, 0 0 0 即过原点有且仅有一条直线与曲线y=f(x)相切,B正确; C选项,a>0,当0ln a时,ex-a>0,f(x)=ex-a-aln x, a 则f'(x)=ex- ,显然这是一个增函数, x 要想函数f(x)的零点尽可能多,则需存在一个x >ln a,使得f'(x )=0成立, 1 1 此时f(x)在(ln a,x )上单调递减,在(x ,+∞)上单调递增, 1 1 若f(x)在(0,ln a)上存在一个零点,则f(ln a)<0, 故此时f(x)在(ln a,+∞)上只存在一个零点,此时函数一共有两个零点,不符合要求, 若f(x)在(0,ln a)上不存在零点,则f(ln a)>0, 又f(x)在(ln a,x )上单调递减,在(x ,+∞)上单调递增, 1 1 故此时函数f(x)最多有两个零点,不符合要求. 综上,不存在a>0,使得函数f(x)存在三个零点,C错误; D选项,由A知,当a<0时,函数f(x)的值域为R,不满足f(x)≥0; 当a=0时,f(x)=ex>0,满足要求; 当a>0时,x∈(0,1)时,f(x)=|ex-a|-aln x≥0,满足要求, 故只需当x∈[1,+∞)时,f(x)=|ex-a|-aln x≥0恒成立, 若a>e,f(ln a)=-aln(ln a)<0,故不符合要求, 若02的复数z,z= . 答案 3-3i(答案不唯一) 解析 设z=a+bi,a,b∈R,因为(1+i)·z=(1+i)·(a+bi)=a-b+(a+b)i∈R, 所以a+b=0,z=a-ai, 由|z|=√a2+a2=√2|a|>2,解得a>√2或a<-√2, 则z=3-3i(答案不唯一). 1 √3 5.(2024·承德模拟)已知函数f(x)= -sin2ωx+ sin 2ωx(ω>0)的最小正周期为4π. 2 2 (1)求f(x)在[0,π]上的单调递增区间; (2)在锐角△ABC中,内角A,B,C的对边分别为a,b,c,且(2a-c)cos B=bcos C,求f(A)的取值范围. 1 √3 解 (1)f(x)= -sin2ωx+ sin 2ωx 2 2 1 1-cos2ωx √3 = - + sin 2ωx 2 2 2 √3 1 ( π) = sin 2ωx+ cos 2ωx=sin 2ωx+ . 2 2 6 2π 1 因为T= =4π,所以ω= , 2ω 4 (1 π) 故f(x)=sin x+ . 2 6 π 1 π π 由- +2kπ≤ x+ ≤ +2kπ,k∈Z, 2 2 6 2 4π 2π 解得4kπ- ≤x≤4kπ+ ,k∈Z, 3 3 4π 2π 当k=0时,- ≤x≤ ,又x∈[0,π], 3 3 [ 2π] 所以f(x)在[0,π]上的单调递增区间为 0, . 3(2)由(2a-c)cos B=bcos C, 得(2sin A-sin C)cos B=sin Bcos C, 所以2sin Acos B=sin Bcos C+cos Bsin C=sin(B+C)=sin A. 1 因为sin A≠0,所以cos B= , 2 π 又B∈(0,π),所以B= , 3 π { 0