科研小记 | XRD标准卡片 PDF#01-084-1385
温馨提醒:最好用电脑打开公众号查看
PDF#01-084-1385(RDB):质标=星印(S);d=计算值;I=计算值
Indium Sulfide
In2 S3
射线=CuKa1 波长=1.5406 滤波法=
校准= 2θ=14.227-147.160 I/Ic(K值)=6.24
文献: Adenis, C., Olivier-Fourcade, J., Jumas, J.-C., Philippot, E.
Rev. Chim. Miner., v24 p10(1987)
立方晶系-单晶衍射,Fd-3m(227) Z=8
晶胞: 10.774×10.774×10.774 <90.0×90.0x90.0> P.S=cF40.00(?)
密度(计算)=3.461 密度(测量)= 分子量=325.82 体积=1250.64 F(30)=999.9(0.0000,30/0)
文献: 出处同上
强峰线: 3.25/X 1.90/5 2.07/4 3.81/3 2.69/3 1.40/1 6.22/1 2.20/1
ANX: A2X3.
Analysis: In2 S3.
Formula from original source: In2 S3.
ICSD Collection Code: 202353.
Calculated Pattern Original Remarks: Stable below 660 K (2nd ref., Tomaszewski), above I41/amd.
Wyckoff Sequence: e d a(FD3-MZ).
Unit Cell Data Source: Single Crystal.
2θ d(埃) I(f) ( h k l) θ 1/(2d) 2π/d n^2
14.227 6.2204 10.9 ( 1 1 1) 7.113 0.0804 1.0101 3
23.334 3.8092 29.4 ( 2 2 0) 11.667 0.1313 1.6495 8
27.434 3.2485 100.0 ( 3 1 1) 13.717 0.1539 1.9342 11
28.679 3.1102 4.5 ( 2 2 2) 14.340 0.1608 2.0202 12
33.235 2.6935 26.6 ( 4 0 0) 16.618 0.1856 2.3327 16
36.317 2.4717 0.2 ( 3 3 1) 18.158 0.2023 2.5420 19
41.006 2.1992 10.4 ( 4 2 2) 20.503 0.2274 2.8570 24
43.617 2.0735 36.6 ( 5 1 1) 21.808 0.2411 3.0303 27
47.712 1.9046 54.5 ( 4 4 0) 23.856 0.2625 3.2990 32
50.045 1.8211 1.3 ( 5 3 1) 25.022 0.2746 3.4501 35
50.805 1.7957 0.1 ( 4 4 2) 25.402 0.2784 3.4991 36
53.767 1.7035 3.9 ( 6 2 0) 26.884 0.2935 3.6884 40
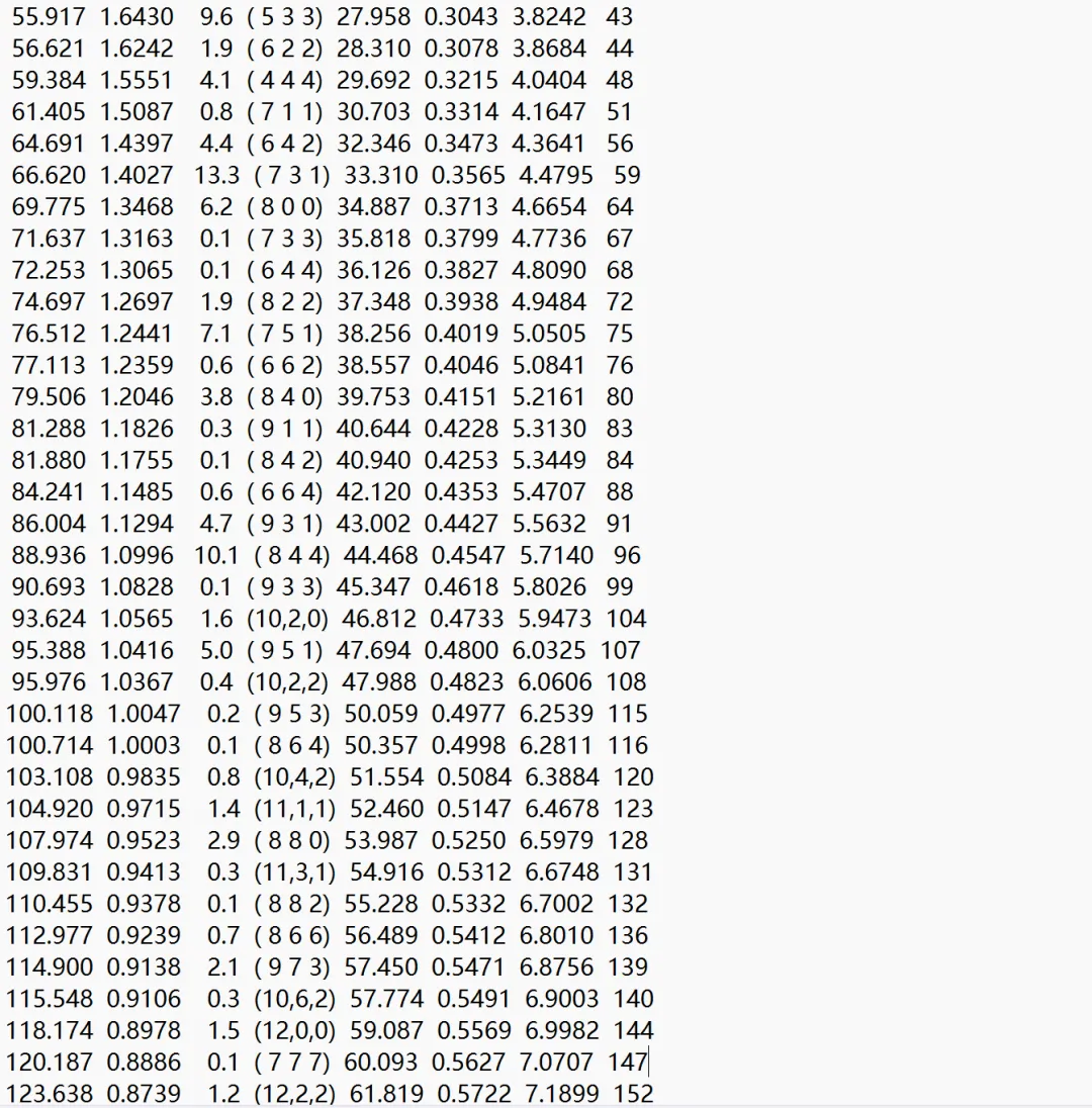
55.917 1.6430 9.6 ( 5 3 3) 27.958 0.3043 3.8242 43
56.621 1.6242 1.9 ( 6 2 2) 28.310 0.3078 3.8684 44
59.384 1.5551 4.1 ( 4 4 4) 29.692 0.3215 4.0404 48
61.405 1.5087 0.8 ( 7 1 1) 30.703 0.3314 4.1647 51
64.691 1.4397 4.4 ( 6 4 2) 32.346 0.3473 4.3641 56
66.620 1.4027 13.3 ( 7 3 1) 33.310 0.3565 4.4795 59
69.775 1.3468 6.2 ( 8 0 0) 34.887 0.3713 4.6654 64
71.637 1.3163 0.1 ( 7 3 3) 35.818 0.3799 4.7736 67
72.253 1.3065 0.1 ( 6 4 4) 36.126 0.3827 4.8090 68
74.697 1.2697 1.9 ( 8 2 2) 37.348 0.3938 4.9484 72
76.512 1.2441 7.1 ( 7 5 1) 38.256 0.4019 5.0505 75
77.113 1.2359 0.6 ( 6 6 2) 38.557 0.4046 5.0841 76
79.506 1.2046 3.8 ( 8 4 0) 39.753 0.4151 5.2161 80
81.288 1.1826 0.3 ( 9 1 1) 40.644 0.4228 5.3130 83
81.880 1.1755 0.1 ( 8 4 2) 40.940 0.4253 5.3449 84
84.241 1.1485 0.6 ( 6 6 4) 42.120 0.4353 5.4707 88
86.004 1.1294 4.7 ( 9 3 1) 43.002 0.4427 5.5632 91
88.936 1.0996 10.1 ( 8 4 4) 44.468 0.4547 5.7140 96
90.693 1.0828 0.1 ( 9 3 3) 45.347 0.4618 5.8026 99
93.624 1.0565 1.6 (10,2,0) 46.812 0.4733 5.9473 104
95.388 1.0416 5.0 ( 9 5 1) 47.694 0.4800 6.0325 107
95.976 1.0367 0.4 (10,2,2) 47.988 0.4823 6.0606 108
100.118 1.0047 0.2 ( 9 5 3) 50.059 0.4977 6.2539 115
100.714 1.0003 0.1 ( 8 6 4) 50.357 0.4998 6.2811 116
103.108 0.9835 0.8 (10,4,2) 51.554 0.5084 6.3884 120
104.920 0.9715 1.4 (11,1,1) 52.460 0.5147 6.4678 123
107.974 0.9523 2.9 ( 8 8 0) 53.987 0.5250 6.5979 128
109.831 0.9413 0.3 (11,3,1) 54.916 0.5312 6.6748 131
110.455 0.9378 0.1 ( 8 8 2) 55.228 0.5332 6.7002 132
112.977 0.9239 0.7 ( 8 6 6) 56.489 0.5412 6.8010 136
114.900 0.9138 2.1 ( 9 7 3) 57.450 0.5471 6.8756 139
115.548 0.9106 0.3 (10,6,2) 57.774 0.5491 6.9003 140
118.174 0.8978 1.5 (12,0,0) 59.087 0.5569 6.9982 144
120.187 0.8886 0.1 ( 7 7 7) 60.093 0.5627 7.0707 147
123.638 0.8739 1.2 (12,2,2) 61.819 0.5722 7.1899 152
125.775 0.8654 3.0 (11,5,3) 62.888 0.5778 7.2605 155
129.474 0.8518 4.6 (12,4,0) 64.737 0.5870 7.3767 160
131.789 0.8439 0.2 ( 9 9 1) 65.895 0.5925 7.4455 163
132.580 0.8413 0.1 (12,4,2) 66.290 0.5943 7.4684 164
135.849 0.8312 0.7 (10,8,2) 67.925 0.6015 7.5589 168
138.433 0.8239 3.6 (13,1,1) 69.217 0.6069 7.6261 171
139.324 0.8215 1.9 (10,6,6) 69.662 0.6086 7.6483 172
143.063 0.8121 1.0 (12,4,4) 71.531 0.6157 7.7368 176
146.095 0.8053 0.3 (11,7,3) 73.048 0.6209 7.8024 179
147.160 0.8030 0.1 (10,8,4) 73.580 0.6226 7.8242 180
请在微信客户端打开
附图:



感谢你读到这里
七七想与你分享每一个前进的脚印🌼
夜雨聆风