当前位置:首页>文档>专练11_2025高中教辅(后续还会更新新习题试卷)_2025高中全科《微专题·小练习》_2025高中全科《微专题小练习》_2025版·微专题小练习·地理

专练11_2025高中教辅(后续还会更新新习题试卷)_2025高中全科《微专题·小练习》_2025高中全科《微专题小练习》_2025版·微专题小练习·地理

  • 2026-04-16 12:55:41 2026-02-02 04:06:36

文档预览

专练11_2025高中教辅(后续还会更新新习题试卷)_2025高中全科《微专题·小练习》_2025高中全科《微专题小练习》_2025版·微专题小练习·地理
专练11_2025高中教辅(后续还会更新新习题试卷)_2025高中全科《微专题·小练习》_2025高中全科《微专题小练习》_2025版·微专题小练习·地理
专练11_2025高中教辅(后续还会更新新习题试卷)_2025高中全科《微专题·小练习》_2025高中全科《微专题小练习》_2025版·微专题小练习·地理
专练11_2025高中教辅(后续还会更新新习题试卷)_2025高中全科《微专题·小练习》_2025高中全科《微专题小练习》_2025版·微专题小练习·地理
专练11_2025高中教辅(后续还会更新新习题试卷)_2025高中全科《微专题·小练习》_2025高中全科《微专题小练习》_2025版·微专题小练习·地理
专练11_2025高中教辅(后续还会更新新习题试卷)_2025高中全科《微专题·小练习》_2025高中全科《微专题小练习》_2025版·微专题小练习·地理
专练11_2025高中教辅(后续还会更新新习题试卷)_2025高中全科《微专题·小练习》_2025高中全科《微专题小练习》_2025版·微专题小练习·地理
专练11_2025高中教辅(后续还会更新新习题试卷)_2025高中全科《微专题·小练习》_2025高中全科《微专题小练习》_2025版·微专题小练习·地理
专练11_2025高中教辅(后续还会更新新习题试卷)_2025高中全科《微专题·小练习》_2025高中全科《微专题小练习》_2025版·微专题小练习·地理

文档信息

文档格式
docx
文档大小
0.539 MB
文档页数
5 页
上传时间
2026-02-02 04:06:36

文档内容

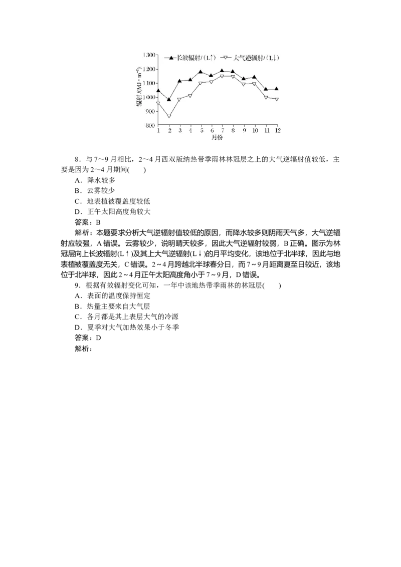
专练 11 大气的组成和垂直分层、大气受热过程 授课提示:对应学生用书13页 选择题 [2024·内蒙古呼和浩特市高三一模]空气中的水汽来自下垫面,在一定条件下,空气容 纳水汽的能力随气温升高而升高,空气中水汽含量达到上限时,称为饱和空气。气温下降 有可能使不饱和空气变成饱和空气,露点温度是指空气中所含的水汽达到饱和而发生凝结 时的温度。下图数据来自GIS推算,是晴朗条件下某时刻相关城市大气即时温度及露点温 度(单位:℃),PQ为晨线。据此完成1~2题。 1.下列城市中,水汽含量达到饱和的是( ) A.北京 B.大庆 C.长春 D.佳木斯 答案:A 解析:根据材料“空气中的水汽来自下垫面,在一定条件下,空气容纳水汽的能力随 气温升高而升高,空气中水汽含量达到上限时,称为饱和空气”“露点温度是指空气中所 含的水汽达到饱和而发生凝结时的温度”可知,北京、大庆、长春、佳木斯四个城市中, 只有北京的即时温度和露点温度相等,故北京的空气达到饱和,其余三个城市的即时温度 都高于露点温度,即空气未达到饱和。故选A。 2.下列说法正确的是( ) A.晨线以东城市大气中水汽含量均为过饱和 B.北京大气中水汽含量为过饱和 C.北京、呼市两地空气中水汽含量差异很大 D.佳木斯即时温度高于大庆的原因是佳木斯太阳高度比大庆大 答案:D 解析:晨线以东城市已经日出,气温升高,故空气不饱和,A错误。根据材料,北京 的即时温度和露点温度相等,故北京的空气刚达到饱和,B错误。从图中看,北京、呼市 两地空气中水汽达到饱和,两地露点温度差异不大,故水汽含量差异不大,C错误。从图 中看,佳木斯和大庆纬度差异不大,大庆靠近晨线,刚日出,而佳木斯日出后一段时间, 故佳木斯即时温度高于大庆的原因是佳木斯太阳高度比大庆大,D正确。故选D。 [2024·云南昆明三模]2024年1月30日到2月7日,湖北省遭遇连续冻雨导致多地树木 被积雪(冰)压断,只剩下光秃秃的树干。冻雨俗称“滴水成冰”,多出现在冬季近地面气 温低于零度、中层大气出现逆温层的地方。下图为冻雨发生时大气垂直示意图。据此完成3~5题。 3.湖北冻雨现象最有可能出现在图中的( ) A.①处 B.②处 C.③处 D.④处 答案:D 解析:冻雨的形成过程主要从冬季近地面气温低于零度、中层大气出现逆温层的地方, 逆温层和融化层等条件分析,读冻雨形成与逆温关系示意图可知,上层大气中水汽充足, 所以冷却形成液体水与固体水后下降,掉进中层温暖的逆温层,气温升高,固体水融化成 液态的小水滴,继续下降至近地面,由于近地面气温低于零度,形成过冷降水,由于冬季 地面温度更低,降落地面后,在地面或物体上立即凝结形成冰壳或冰柱,从而形成冻雨。 湖北冻雨现象最有可能出现在图中的④处。故选D。 4.从树木角度分析此次湖北城区香樟等常绿乔木折断较多的主要原因是( ) A.树木含水量较大 B.树根深,树体高大 C.枝叶过多,枝干负重大 D.木质化程度高,抗压能力差 答案:C 解析:樟树叶片较大,承受的重量就大,更容易被压断枝。在冻雨天气影响下,针叶 类、松柏类树种虽然也是常绿树,但由于叶片面积小,出现断枝现象就很少。树木含水量 较大、树根深,树体高大、木质化程度高,抗压能力差均不是湖北城区香樟等常绿乔木折 断较多的主要原因。因此,A、B、D错误,C正确。故选C。 5.武汉形成冻雨现象时,下列气温的垂直分布示意图中最有可能的是( ) 答案:D 解析:武汉形成冻雨现象时,近地面气温低于 0 ℃,且在半空中出现暖层(逆温层), 暖层的气温高于0 ℃,选项中四幅图中只有D选项图示符合这一特征,排除A、B、C。 故选D。[2024·江苏南通高三二模]某气候研究实验室利用气象监测站资料统计分析了我国不同 地区的地气温差(地表温度减气温)。下表为我国部分区域逐月地气温差统计表。下图为大 气受热过程示意图。据此完成6~7题。 10 地区 1月 2月 3月 4月 5月 6月 7月 8月 9月 11月 12月 月 东北 -1.1 0.0 1.5 1.9 2.9 3.8 3.6 3.3 2.3 0.7 -0.2 -0.9 江南 1.0 1.1 1.3 1.7 2.3 2.8 4.2 4.2 3.2 2.3 1.3 1.0 西藏 1.2 2.6 3.8 5.4 6.5 6.4 5.6 5.2 4.5 3.7 2.2 1.0 6.东北地区1月地气温差为负值,主要影响因素是( ) A.正午太阳高度 B.冬季风势力 C.白昼时间 D.下垫面状况 答案:D 解析:东北地区1月地气温差为负值,说明地表温度低于气温,冬季风、白昼时间和 正午太阳高度影响地表的同时也会影响大气温度,比如冬季风降温时大气和地表一起降温 那么能让地表和大气不同步温度的主要影响应当是在下垫面性质上,东北地区纬度高,多 冻土,地表温度低。故选D。 7.江南与西藏气象监测站纬度相当,但江南夏季地气温差较小,其原因是( ) A.甲大 B.乙小 C.丙大 D.丁小 答案:C 解析:甲、乙、丙、丁分别为太阳辐射、大气逆辐射、地面辐射、地面反射的太阳辐 射。西藏地区和江南地区在夏季的气温上相差较大,西藏地区夏季气温较低,江南地区夏 季气温较高,而江南夏季的地气温差反而较小,说明江南地区夏季的地温也较高,地面温 度的大小可以用地面辐射的强弱来表示。故选C。 [2024·广东卷]有效辐射为下垫面向上长波辐射与大气逆辐射的差值。如图表示2003~ 2012年云南省西双版纳热带季雨林林冠层向上长波辐射(L↑)及其上大气逆辐射(L↓)的月 平均变化。据此完成8~9题。8.与7~9月相比,2~4月西双版纳热带季雨林林冠层之上的大气逆辐射值较低,主 要是因为2~4月期间( ) A.降水较多 B.云雾较少 C.地表植被覆盖度较低 D.正午太阳高度角较大 答案:B 解析:本题要求分析大气逆辐射值较低的原因,而降水较多则阴雨天气多,大气逆辐 射应较强,A错误。云雾较少,说明晴天较多,因此大气逆辐射较弱,B正确。图示为林 冠层向上长波辐射(L↑)及其上大气逆辐射(L↓)的月平均变化,该地位于北半球,因此与地 表植被覆盖度无关,C错误。2~4月跨越北半球春分日,而7~9月距离夏至日较近,该地 位于北半球,因此2~4月正午太阳高度角小于7~9月,D错误。 9.根据有效辐射变化可知,一年中该地热带季雨林的林冠层( ) A.表面的温度保持恒定 B.热量主要来自大气层 C.各月都是其上表层大气的冷源 D.夏季对大气加热效果小于冬季 答案:D 解析:[2024·山东临沂莒南二中月考]下图为在上海郊区一个蔬菜大棚所拍摄的照片,棚顶为 黑色的尼龙网,而不是常见的白色透明塑料或者玻璃大棚。据此完成10~11题。 10.由图推断,此时段上海的天气可能是( ) A.频繁的对流雨 B.连续的霜冻天气 C.持续的伏旱天气 D.台风带来的狂风暴雨 答案:C 解析:白色透明塑料膜和玻璃的透光率较高,内部热量不易散失,保温效果好,而黑 色尼龙网对太阳辐射吸收能力强,太阳辐射的透射率较小,有削弱太阳辐射的作用,网状 结构利于通风散热。由此可知,安装黑色尼龙网是为了减少到达地面的太阳辐射,降低地 表温度,推测此时段上海的天气可能为连续晴热的伏旱天气。故选C。 11.在此季节,农民这样做的主要目的是( ) A.增加大气逆辐射,提高夜间温度 B.减少地面辐射,防止夜间温度过低 C.增强地面辐射,提高农作物存活率 D.削弱太阳辐射,减少农作物水分蒸腾 答案:D 解析:黑色尼龙网对太阳辐射吸收能力强,太阳辐射的透射率较小,网状结构利于通 风散热,能够减少在夏季伏旱时到达地面的太阳辐射,降低棚内温度,减少农作物水分蒸 腾和土壤水分蒸发,D正确。网状结构,通风透气,不利于增强大气逆辐射和提高夜间温 度;地面吸收的太阳辐射减少,不利于增强地面辐射;因黑色尼龙网削弱了太阳辐射,降 低了地表温度,减少了地面辐射,A、B、C错误。