当前位置:首页>文档>精品解析:广东省广州市荔湾区真光中学2024-2025学年九年级上学期期中考试数学试题(原卷版)_广州九上月考+期中+期末+一模二模+中考真题_2024年秋九年级上学期期中考试试卷和答案解析

精品解析:广东省广州市荔湾区真光中学2024-2025学年九年级上学期期中考试数学试题(原卷版)_广州九上月考+期中+期末+一模二模+中考真题_2024年秋九年级上学期期中考试试卷和答案解析

  • 2026-04-10 13:44:00 2026-02-04 01:07:18

文档预览

精品解析:广东省广州市荔湾区真光中学2024-2025学年九年级上学期期中考试数学试题(原卷版)_广州九上月考+期中+期末+一模二模+中考真题_2024年秋九年级上学期期中考试试卷和答案解析
精品解析:广东省广州市荔湾区真光中学2024-2025学年九年级上学期期中考试数学试题(原卷版)_广州九上月考+期中+期末+一模二模+中考真题_2024年秋九年级上学期期中考试试卷和答案解析
精品解析:广东省广州市荔湾区真光中学2024-2025学年九年级上学期期中考试数学试题(原卷版)_广州九上月考+期中+期末+一模二模+中考真题_2024年秋九年级上学期期中考试试卷和答案解析
精品解析:广东省广州市荔湾区真光中学2024-2025学年九年级上学期期中考试数学试题(原卷版)_广州九上月考+期中+期末+一模二模+中考真题_2024年秋九年级上学期期中考试试卷和答案解析
精品解析:广东省广州市荔湾区真光中学2024-2025学年九年级上学期期中考试数学试题(原卷版)_广州九上月考+期中+期末+一模二模+中考真题_2024年秋九年级上学期期中考试试卷和答案解析
精品解析:广东省广州市荔湾区真光中学2024-2025学年九年级上学期期中考试数学试题(原卷版)_广州九上月考+期中+期末+一模二模+中考真题_2024年秋九年级上学期期中考试试卷和答案解析
精品解析:广东省广州市荔湾区真光中学2024-2025学年九年级上学期期中考试数学试题(原卷版)_广州九上月考+期中+期末+一模二模+中考真题_2024年秋九年级上学期期中考试试卷和答案解析
精品解析:广东省广州市荔湾区真光中学2024-2025学年九年级上学期期中考试数学试题(原卷版)_广州九上月考+期中+期末+一模二模+中考真题_2024年秋九年级上学期期中考试试卷和答案解析
精品解析:广东省广州市荔湾区真光中学2024-2025学年九年级上学期期中考试数学试题(原卷版)_广州九上月考+期中+期末+一模二模+中考真题_2024年秋九年级上学期期中考试试卷和答案解析
精品解析:广东省广州市荔湾区真光中学2024-2025学年九年级上学期期中考试数学试题(原卷版)_广州九上月考+期中+期末+一模二模+中考真题_2024年秋九年级上学期期中考试试卷和答案解析

文档信息

文档格式
docx
文档大小
1.470 MB
文档页数
6 页
上传时间
2026-02-04 01:07:18

文档内容

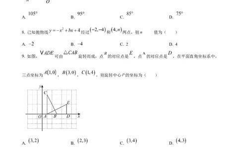
2024 学年第一学期期中初三数学练习卷 班级:___________姓名:___________考号:___________ 一、选择题(每题3分,共30分) 1. 如图,下列所给图形中是中心对称图形的是( ) A. B. C. D. 2. 用公式法解一元二次方程 时,首先要确定a,b,c的值,下列选项正确的是( ) . A , , B. , , C. , , D. , , 3. 二次函数 的图象的顶点坐标是( ) A. B. C. D. 4. 用配方法解方程: ,下列配方正确的是( ) A. B. C. D. 5. 抛物线 经过 三点,则 的大小关系正确的是( ) A. B. C. D. 6. 若m,n分别为一元二次方程 的两个实数根,则 的值为( ) A. B. 12 C. D. 8 第1页/共6页 学科网(北京)股份有限公司7. 如图, 中, ,将 绕点 顺时针旋转 ,得到 ,边 与边 交 于点 ( 不在 上),则 的度数为( ) A. B. C. D. 8. 已知抛物线 经过 和 两点,则n 的值为( ) A. B. C. 2 D. 4 9. 如图, 可由 旋转而成,点 的对应点是 ,点 的对应点是 ,在平面直角坐标系中, 三点坐标为 , , ,则旋转中心 的坐标为( ) A. B. C. D. 10. 已知二次函数 的图象如图所示,下列结论:① ;② ;③ ; ④不等式 的解集为 .正确的结论个数是( ) 第2页/共6页 学科网(北京)股份有限公司A. 1 B. 2 C. 3 D. 4 二、填空题(每题3分,共18分) 11. 在平面直角坐标系中,点A(-1,3)关于原点对称的点A′的坐标是____________. 12. 一元二次方程 有一个根为1,则 ________. 的 13. 将抛物线 向右平移1个单位,再向上平移2个单位后所得到 抛物线的解析式为 __________. 14. 若二次函数 的图象与x轴有交点,则k的取值范围是____________. 15. 已知 ,则 _________. 16. 如图,四边形 和四边形 均为正方形,点 为 的中点,若 ,连接 ,则 的长为______. 三、解答题(共9道题,共72分) 17. 解方程: . 18. 已知二次函数 经过点 与 . (1)求b,c的值. (2)求该二次函数图象的顶点坐标. 第3页/共6页 学科网(北京)股份有限公司19. 在平面直角坐标系中的位置如图所示: (1)画出 关于原点对称的 ,并写出点 的坐标; (2)将 绕点 顺时针旋转 得到 ,画出旋转后的 . 20. 如图为二次函数 的图象,试观察图象回答下列问题: (1)写出方程 的解为 ___________, ___________; (2)当 时,直接写出 的取值范围为___________; (3)当 时,直接写出 的取值范围是___________. 21. 已知关于 的一元二次方程 有实数根. (1)求 的取值范围; (2)若该方程的两个实数根分别为 、 ,且 ,求 的值. 22. 如图, 中, , , 是由 绕点 按逆时针方向旋转得到的, 第4页/共6页 学科网(北京)股份有限公司连接 、 相交于点 , 与 相交于点 . (1)求证: ; (2)求 的度数. 23. 如图,有长为24m的篱笆,一面利用墙(墙的最大可用长度为10m)围成中间隔有一道篱笆的长方形 花圃. (1)如果要围成面积为45m2的花圃,求AB的长度. (2)如果要使围成的花圃面积最大,求最大面积是多少m2. 24. 在平面直角坐标系 中,已知抛物线 和线段 ,其中点 ,点 ,点 是抛物线 与 轴的交点,点 是抛物线 的顶点. (1)求直线 的解析式; (2)点 在抛物线 上,且与点 关于对称轴对称,连接 , , ,射线 交 轴于点 , 的 连接 , ,四边形 是否能构成平行四边形?如果能,请求 值;如果不能,说明理由; (3)若抛物线 与线段 只有一个交点,结合函数图象,求 的取值范围. 25. 小明在一次数学活动中,进行了如下的探究活动:如图,在矩形 中, , ,以点 第5页/共6页 学科网(北京)股份有限公司为中心,顺时针旋转矩形 ,得到矩形 ,点 、 、 的对应点分别为 、 、 . 的 (1)如图①,当点 落在 边上时,求 长; (2)如图②,当点 落在线段 上时, 与 交于点 .求 的长. (3)记点 为矩形 对角线的交点,连接 、 ,记 面积为 ,求 的取值范围. 第6页/共6页 学科网(北京)股份有限公司