当前位置:首页>文档>2008年高考数学试卷(理)(天津)(空白卷)_1.高考2025全国各省真题+答案_01.2008-2024全国高考真题(按省份分类)_30.天津_2008-2024·(天津)数学高考真题

2008年高考数学试卷(理)(天津)(空白卷)_1.高考2025全国各省真题+答案_01.2008-2024全国高考真题(按省份分类)_30.天津_2008-2024·(天津)数学高考真题

  • 2026-04-11 15:49:24 2026-02-06 01:23:50

文档预览

2008年高考数学试卷(理)(天津)(空白卷)_1.高考2025全国各省真题+答案_01.2008-2024全国高考真题(按省份分类)_30.天津_2008-2024·(天津)数学高考真题
2008年高考数学试卷(理)(天津)(空白卷)_1.高考2025全国各省真题+答案_01.2008-2024全国高考真题(按省份分类)_30.天津_2008-2024·(天津)数学高考真题
2008年高考数学试卷(理)(天津)(空白卷)_1.高考2025全国各省真题+答案_01.2008-2024全国高考真题(按省份分类)_30.天津_2008-2024·(天津)数学高考真题
2008年高考数学试卷(理)(天津)(空白卷)_1.高考2025全国各省真题+答案_01.2008-2024全国高考真题(按省份分类)_30.天津_2008-2024·(天津)数学高考真题
2008年高考数学试卷(理)(天津)(空白卷)_1.高考2025全国各省真题+答案_01.2008-2024全国高考真题(按省份分类)_30.天津_2008-2024·(天津)数学高考真题
2008年高考数学试卷(理)(天津)(空白卷)_1.高考2025全国各省真题+答案_01.2008-2024全国高考真题(按省份分类)_30.天津_2008-2024·(天津)数学高考真题
2008年高考数学试卷(理)(天津)(空白卷)_1.高考2025全国各省真题+答案_01.2008-2024全国高考真题(按省份分类)_30.天津_2008-2024·(天津)数学高考真题
2008年高考数学试卷(理)(天津)(空白卷)_1.高考2025全国各省真题+答案_01.2008-2024全国高考真题(按省份分类)_30.天津_2008-2024·(天津)数学高考真题
2008年高考数学试卷(理)(天津)(空白卷)_1.高考2025全国各省真题+答案_01.2008-2024全国高考真题(按省份分类)_30.天津_2008-2024·(天津)数学高考真题

文档信息

文档格式
docx
文档大小
0.116 MB
文档页数
5 页
上传时间
2026-02-06 01:23:50

文档内容

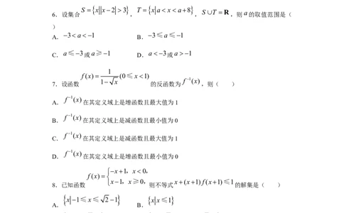
2008 年普通高等学校招生全国统一考试(天津卷) 数学(理工类) 本试卷分第I卷(选择题)和第II卷(非选择题)两部分,共150分.考试用时120 分钟.第I卷1至2页,第II卷3至10页.考试结束后,将本试卷和答题卡一并交回. 祝各位考生考试顺利! 第I卷 注意事项: 1.答第I卷前,考生务必将自己的姓名、准考号、科目涂写在答题卡上.并在规定位 置粘贴考试用条形码. 2.每小题选出答案后,用铅笔把答题卡上对应题目的答案标号涂黑.如需改动,用橡 皮擦干净后,再选涂其他答案标号.答在试卷上的无效. 3.本卷共10小题,每小题5分,共50分. 参考公式: A,B S 4πR2 如果事件 互斥,那么 球的表面积公式 4 V  πR3 P(AB) P(A)P(B) 球的体积公式 3 如果事件 A,B 相互独立,那么 其中R表示球的半径 P(AB) P(A)P(B) 一、选择题:在每小题给出的四个选项中,只有一项是符合题目要求的. i3(i1)  1.i是虚数单位, i1 ( ) A.1 B.1 C.i D.i x y≥0,  x y≤1,  x,y  x2y≥1. z 5x y 2.设变量 满足约束条件 则目标函数 的最大值为( ) A.2 B.3 C.4 D.5   f(x)sin 2x ,xR    2 f(x) 3.设函数 ,则 是( )   A.最小正周期为 的奇函数 B.最小正周期为 的偶函数   C.最小正周期为 的奇函数 D.最小正周期为 的偶函数 a,b , ab 4.设 是两条直线, 是两个平面,则 的一个充分条件是( ) 第1页 | 共5页a ,b∥, a ,b,∥ A. B. a,b,∥ a,b∥, C. D. x2 y2  1(m1) 5.设椭圆m2 m2 1 上一点P到其左焦点的距离为3,到右焦点的距离为1, 则P到右准线的距离为( ) 1 2 7 A.6 B.2 C.2 D. 7     S  x x2 3 T  x a xa8 ST R a 6.设集合 , , ,则 的取值范围是( ) 3a1 3≤a≤1 A. B. a≤3 a≥1 a3 a1 C. 或 D. 或 1 f(x) (0≤x1) 1 x f 1(x) 7.设函数 的反函数为 ,则( ) f 1(x) A. 在其定义域上是增函数且最大值为1 f 1(x) B. 在其定义域上是减函数且最小值为0 f 1(x) C. 在其定义域上是减函数且最大值为1 f 1(x) D. 在其定义域上是增函数且最小值为0 x1,x0, f(x) x1,x≥0, x(x1)f(x1)≤1 8.已知函数 则不等式 的解集是( )  x 1≤x≤ 21   x x≤1  A. B.     x x≤ 21 x  21≤x≤ 21 C. D. 9.已知函数 f(x) 是定义在 R上的偶函数,且在区间 0,∞ 上是增函数.令  2  5  5 a  f sin b f cos c f tan        7   7   7  , , ,则( ) bac cba bca abc A. B. C. D. 10.有8张卡片分别标有数字1,2,3,4,5,6,7,8,从中取出6张卡片排成3行2列, 第2页 | 共5页要求3行中仅有中间行的两张卡片上的数字之和为5,则不同的排法共有( ) A.1344种 B.1248种 C.1056种 D.960种 2008 年普通高等学校招生全国统一考试(天津卷) 数学(理工类) 第Ⅱ卷 注意事项: 1.答卷前将密封线内的项目填写清楚. 2.用钢笔或圆珠笔直接答在试卷上. 3.本卷共12小题,共100分. 二、填空题:本大题共6小题,每小题4分,共24分.把答案填在题中横线上. 5  2  x    x  x2 11. 的二项展开式中 的系数是 (用数字作答). 4 3 12.一个正方体的各顶点均在同一球的球面上,若该球的体积为 ,则该正方体的表 面积为 . C y2 4x y  x 4x3y20 13.已知圆 的圆心与抛物线 的焦点关于直线 对称,直线 AB 6 C A,B C 与圆 相交于 两点,且 ,则圆 的方程为 . (cid:3) (cid:3) D C ABCD AC (1,2) BD(3,2) 14.如图,在平行四边形 中, , , (cid:3) (cid:3) B 则 ADAC  . A 1 15.已知数列 a n  中, a 1 1 , a n1 a n  3n1 (nN*) ,则 l n i  m  a n  . xa,2a ya,a2 a1 c   16.设 ,若仅有一个常数 使得对于任意的 ,都有 满足方程 log xlog y c a a a ,这时 的取值的集合为 . 三、解答题:本大题共6小题,共76分.解答应写出文字说明,证明过程或演算步骤. 17.(本小题满分12分)   2  3 cos x  x ,      4 10 2 4  已知 , . sinx (Ⅰ)求 的值; 第3页 | 共5页  sin 2x    3 (Ⅱ)求 的值. 18.(本小题满分12分) 1 甲、乙两个篮球运动员互不影响地在同一位置投球,命中率分别为2 与 p ,且乙投球2次 1 均未命中的概率为16. p (Ⅰ)求乙投球的命中率 ;   (Ⅱ)若甲投球1次,乙投球2次,两人共命中的次数记为 ,求 的分布列和数学期望. 19.(本小题满分12分) 如图,在四棱锥 PABCD 中,底面 ABCD 是矩形.已知 AB3 ,AD2,PA2, PD2 2 ∠PAB 60 , . P (Ⅰ)证明AD平面PAB; (Ⅱ)求异面直线 PC 与AD所成的角的大小; A D (Ⅲ)求二面角PBDA的大小. B C 20.(本小题满分12分) a f(x) x b(x0) 已知函数 x ,其中 a,bR . y  f(x) P(2,f(2)) y 3x1 f(x) (Ⅰ)若曲线 在点 处的切线方程为 ,求函数 的解析 式; f(x) (Ⅱ)讨论函数 的单调性; 1  1  a ,2 ,1     2  f(x)≤10 4  b (Ⅲ)若对于任意的 ,不等式 在 上恒成立,求 的取值范围. 21.(本小题满分14分) 第4页 | 共5页C F(3,0) 5x2y 0 已知中心在原点的双曲线 的一个焦点是 1 ,一条渐近线的方程是 . C (Ⅰ)求双曲线 的方程; k(k 0) l C M,N MN (Ⅱ)若以 为斜率的直线 与双曲线 相交于两个不同的点 ,且线段 81 的垂直平分线与两坐标轴围成的三角形的面积为 2 ,求 k 的取值范围. 22.(本小题满分14分) a  b  a 1 b 4 a  n S 在 数 列 n 与 n 中 , 1 , 1 , 数 列 n 的 前 项 和 n满 足 nS (n3)S 0 2a b b nN* n1 n , n1为 n与 n1的等比中项, . a b (Ⅰ)求 2, 2的值; a  b  (Ⅱ)求数列 n 与 n 的通项公式; T (1)a 1b (1)a 2b … (1)a nb,nN* T 2n2,n≥3 (Ⅲ)设 n 1 2 n ,证明 n . 第5页 | 共5页