当前位置:首页>文档>海南省天一大联考2024届高三上学期高考全真模拟(五)地理_2024届海南省天一大联考高三上学期高考全真模拟(五)

海南省天一大联考2024届高三上学期高考全真模拟(五)地理_2024届海南省天一大联考高三上学期高考全真模拟(五)

  • 2026-04-08 05:39:35 2026-02-09 05:34:18

文档预览

海南省天一大联考2024届高三上学期高考全真模拟(五)地理_2024届海南省天一大联考高三上学期高考全真模拟(五)
海南省天一大联考2024届高三上学期高考全真模拟(五)地理_2024届海南省天一大联考高三上学期高考全真模拟(五)
海南省天一大联考2024届高三上学期高考全真模拟(五)地理_2024届海南省天一大联考高三上学期高考全真模拟(五)
海南省天一大联考2024届高三上学期高考全真模拟(五)地理_2024届海南省天一大联考高三上学期高考全真模拟(五)
海南省天一大联考2024届高三上学期高考全真模拟(五)地理_2024届海南省天一大联考高三上学期高考全真模拟(五)
海南省天一大联考2024届高三上学期高考全真模拟(五)地理_2024届海南省天一大联考高三上学期高考全真模拟(五)
海南省天一大联考2024届高三上学期高考全真模拟(五)地理_2024届海南省天一大联考高三上学期高考全真模拟(五)
海南省天一大联考2024届高三上学期高考全真模拟(五)地理_2024届海南省天一大联考高三上学期高考全真模拟(五)
海南省天一大联考2024届高三上学期高考全真模拟(五)地理_2024届海南省天一大联考高三上学期高考全真模拟(五)
海南省天一大联考2024届高三上学期高考全真模拟(五)地理_2024届海南省天一大联考高三上学期高考全真模拟(五)
海南省天一大联考2024届高三上学期高考全真模拟(五)地理_2024届海南省天一大联考高三上学期高考全真模拟(五)

文档信息

文档格式
docx
文档大小
2.309 MB
文档页数
7 页
上传时间
2026-02-09 05:34:18

文档内容

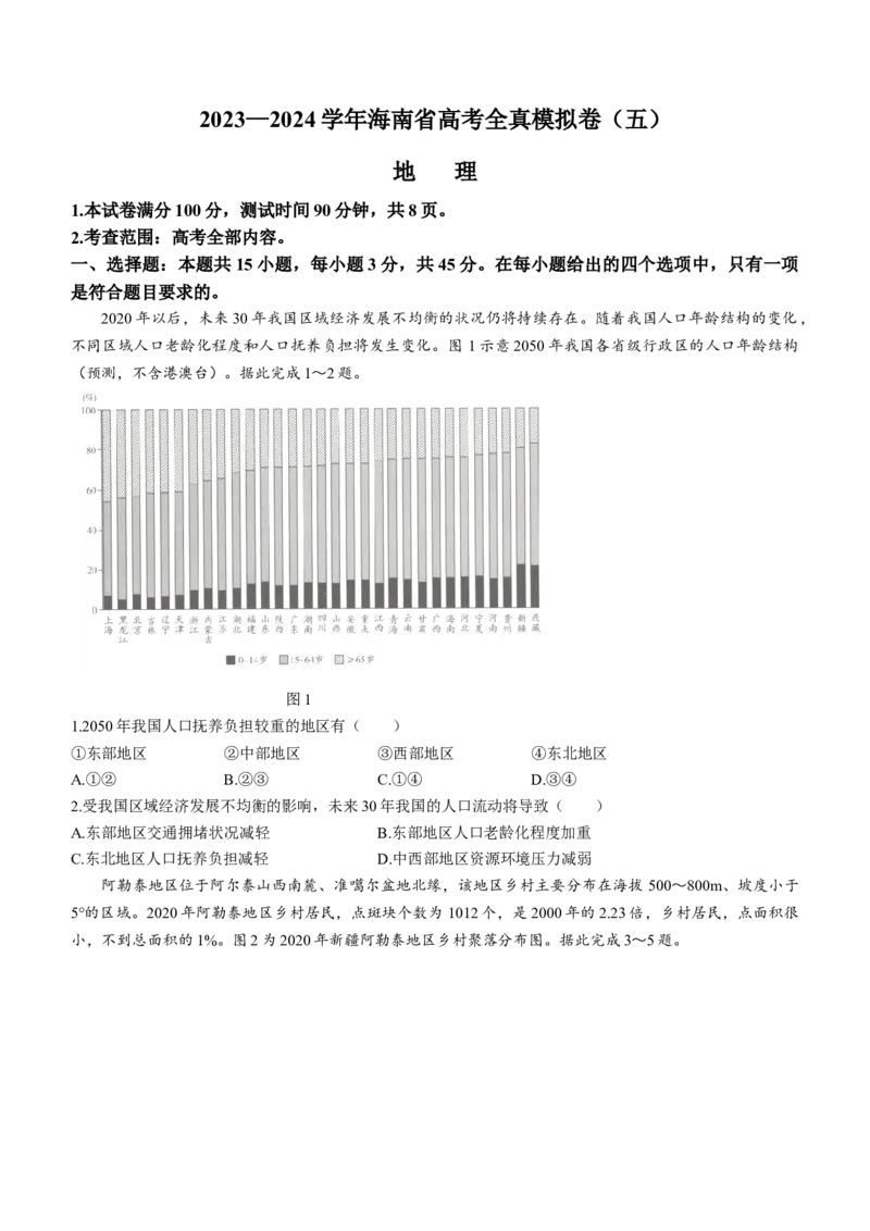
2023—2024 学年海南省高考全真模拟卷(五) 地 理 1.本试卷满分100分,测试时间90分钟,共8页。 2.考查范围:高考全部内容。 一、选择题:本题共15小题,每小题3分,共45分。在每小题给出的四个选项中,只有一项 是符合题目要求的。 2020年以后,未来30年我国区域经济发展不均衡的状况仍将持续存在。随着我国人口年龄结构的变化, 不同区域人口老龄化程度和人口抚养负担将发生变化。图 1示意2050年我国各省级行政区的人口年龄结构 (预测,不含港澳台)。据此完成1~2题。 图1 1.2050年我国人口抚养负担较重的地区有( ) ①东部地区 ②中部地区 ③西部地区 ④东北地区 A.①② B.②③ C.①④ D.③④ 2.受我国区域经济发展不均衡的影响,未来30年我国的人口流动将导致( ) A.东部地区交通拥堵状况减轻 B.东部地区人口老龄化程度加重 C.东北地区人口抚养负担减轻 D.中西部地区资源环境压力减弱 阿勒泰地区位于阿尔泰山西南麓、准噶尔盆地北缘,该地区乡村主要分布在海拔 500~800m、坡度小于 5°的区域。2020年阿勒泰地区乡村居民,点斑块个数为1012个,是2000年的2.23倍,乡村居民,点面积很 小,不到总面积的1%。图2为2020年新疆阿勒泰地区乡村聚落分布图。据此完成3~5题。 学科网(北京)股份有限公司图2 3.阿勒泰地区乡村居民点面积不到总面积的1%,其主要原因可能是( ) A.地势起伏大,建设难度大 B.草场破碎化严重,载畜量小 C.平原面积小,水资源缺乏 D.春夏洪灾多,牧民流动性强 4.阿勒泰地区传统民居( ) A.房顶坡度较小,墙体较薄 B.房顶坡度较小,墙体较厚 C.房顶坡度较大,墙体较薄 D.房顶坡度较大,墙体较厚 5.图示地区河流( ) A.春汛明显 B.径流量大 C.河道宽阔 D.水网密集 海冰是海洋—大气交互系统的重要组成部分。图3示意地球北极、南极海冰面积与气温的年内变化。据 此完成6~7题。 图3 6.据图可知( ) ①海冰面积与气温呈正相关 ②海冰面积与气温呈负相关 ③北极海冰融化速度快 ④南极海冰融化速度快 A.①② B.①③ C.③④ D.②④ 7.南极、北极海冰区海—气相互作用最激烈的地方可能位于( ) A.永久海冰区 B.浮冰边缘区 C.浮冰核心区 D.浮冰冰底区 学科网(北京)股份有限公司二氧化碳捕集、利用与封存是指将CO 从工业过程、能源利用或大气中分离出来,直接加以利用或注入 2 地层以实现CO 永久减排的过程。目前,在中、美两国大力倡导下形成的二氧化碳捕集、利用与封存的可行 2 性方案,获得了国际上的普遍认同。图4示意中、美两国倡导的二氧化碳捕集、利用与封存方案流程。据此 完成8~9题。 图4 8.中、美两国倡导的二氧化碳捕集、利用与封存方案得到国际普遍认同,主要得益于两国( ) A.充足的矿物能源 B.广阔的陆海空间 C.庞大的消费群体 D.先进的科学技术 9.我国积极发展二氧化碳捕集、利用与封存技术,这将有助于( ) ①遏制酸雨大面积扩散 ②应对气候变化的挑战 ③减少对有限资源的依赖 ④促进经济可持续发展 A.①②③ B.②③④ C.①③④ D.①②④ 短历时强降水是指某地区一小时降水量≥20m的降水。图5示意江西省各月不同时次短历时强降水频次 的百分比变化(阴影,单位:%)。据此完成10~11题。 图5 10.江西省短历时强降水的多发时段主要集中在( ) A.子夜到日出前 B.午后到傍晚 C.日落后到子夜 D.日出到正午 11.江西省4—7月短历时强降水集中出现时段呈双峰型,其原因可能有( ) ①午后空气对流活跃 ②凌晨低空急流多发 ③午后降温速度较快 ④凌晨地面蒸发旺盛 A.①② B.②③ C.③④ D.①④ 河北永年标准件工业园位于邯郸市永年区,成立于 1992年。园区毗邻邯郸市主城区,总面积约55平方 千米,布局有标准件生产园、高新技术园和物流调配园,标准件包装材料多来自邻近地级市企业。园区内引 学科网(北京)股份有限公司进企业160多家,分布有钢铁、装备制造、新型建材、食品加工、新能源材料、热力发电六大产业。图 6示 意河北省永年区标准件工业园的位置。据此完成12~13题。 图6 12.目前河北永年标准件工业园急需建设的产业园是( ) A.化工产业园 B.医疗产业园 C.包装产业园 D.仓储产业园 13.河北永年标准件工业园在未来可持续发展进程中应重点( ) A.建设招商引资队伍 B.提高企业服务水平 C.提高标准厂房规模 D.完善基础设施建设 图7为某月份某日20时东亚及附近海域海平面等压线分布图(单位:hPa),该日后太平洋的气压势力 将增强。据此完成14~15题。 图7 14.此时图中四地最可能形成降水的是( ) A.① B.② C.③ D.④ 15.该月份华北地区最可能( ) A.雪花飘飘 B.出现春旱 C.暴雨倾盆 D.落叶纷飞 二、非选择题:本题共4小题,共55分。 16.阅读图文材料,完成下列要求。(10分) 峰丛洼地是指峰丛之间的低洼地带,是一种喀斯特地貌景观,在我国主要分布于西南地区,其中,以广 学科网(北京)股份有限公司西西北部最为典型。峰丛上多灌木及草本植物,覆盖率较高,峰丛洼地的核心多为农田和河流,公路和村落 多分布于其边缘地带(图8)。 图8 说明喀斯特峰丛地貌区的公路多沿峰丛洼地边缘分布的原因及公路营运过程中面临的问题。 17.阅读图文材料,完成下列要求。(10分) 罗布泊(图9)位于新疆塔里木盆地东部,北靠天山,南邻阿尔金山,地域开阔且地势相对平坦。罗布 泊地区自然环境恶劣,年降水量仅有20毫米,而蒸发量>3000毫米,风蚀强烈,每年3—5月为多风季节,6 —8月为大风季节,8级大风日>60天,沙尘天气频发。罗布泊适生自然植被类型很少,许多植物在此很难生 存。近年来,我国通过定期向罗布泊地区生态输水,该地区的自然植被不断恢复,植被恢复也给湖区附近土 壤带来了一定的影响。 图9 (1)罗布泊地区许多植物在此很难生存,请说明理由。(4分) (2)简述近年来罗布泊地区自然植被恢复对土壤的有利影响。(6分) 18.阅读材料,完成下列要求。(15分) 2021年8月26日,国家自然资源部公布第三次全国国土调查主要数据成果。全面查清了我国国土利用状 况,建立了覆盖国家、省、地、县四级的国土调查数据库。数据显示,我国耕地面积19.179亿亩,园地3亿 亩,林地42.6亿亩,草地39.67亿亩,湿地3.5亿亩,建设用地6.13亿亩。数据还显示,10年间,生态功能 较强的林地、草地、湿地等用地类型面积合计增加了2.6亿亩,可以看出我国生态建设取得显著成效。 (1)推测我国第三次全国国土调查采用的现代化技术手段。(6分) 学科网(北京)股份有限公司(2)从国家安全的角度,说明我国开展全国国土调查的重要意义。(9分) 19.阅读图文材料,完成下列要求。(20分) 新西兰(图10)是一个位于太平洋西南部的岛国,牧场辽阔,养羊业发达,盛产羊肉,以及一些高档的 织物和原材料,是世界上最大的羊肉和粗羊毛出口国之一。新西兰是世界唯一被认可的不存在羊瘙痒症、口 蹄疫和疯牛病的国家,养羊业病疫少。 摩洛哥(图11)位于非洲西北部,是非洲养羊业最为发达的国家之一,养羊业和采矿业是其经济支柱。 近年来,该国的养羊业头数急剧增多,以散养为主,草场沙化日益严重。 图10 图11 (1)分析新西兰养羊业发展的区位条件。(8分) (2)与摩洛哥养羊业相比,推测新西兰养羊业病疫少的原因。(6分) (3)说明近年来摩洛哥积极发展养羊业对社会、经济、生态的影响。(6分) 学科网(北京)股份有限公司2023—2024 学年海南省高考全真模拟卷(五) 地理·答案 1.C 2.D 3.C 4.D 5.A 6.D 7.B 8.D 9.B 10.B 11.A 12.C 13.B 14.A 15.B 16.原因:峰丛洼地边缘地带村落较多,运输需求量大;山脚岩石坚硬,地基不易下陷;海拔相对较高,受洪 涝灾害影响较小;地势较为平缓,筑路成本较低;沿山麓建设公路,占用农田较少。(任答其中 3点,每点 2分,共6分。其他答案合理可酌情给分) 面临的问题:峰丛山坡陡峭,易发生崩塌、滑坡等地质灾害,破坏道路(2分);途经村落较多,车辆行驶 中易造成人畜伤亡事件等(2分)。 17.(1)气候干旱,降水稀少,土壤长期处于严重缺水状态;大风日数多,风速大,植物难以立地扎根;土 壤沙化、盐碱化严重,土壤贫瘠,植物生长养分不足。(任答其中2点,每点2分,共4分) (2)枯枝落叶多,土壤腐殖质增加,土壤肥力提高;地面蒸发减弱,土壤蓄水保水功能增强;植物根系固土 能力增强,土壤质地变好;地面风速减小,风力对土壤的侵蚀减弱等。(任答其中3点,每点2分,共6 分) 18.(1)遥感测绘技术、地理信息系统、互联网技术、大数据技术。(任答其中3点,每点2分,共6分。其 他答案合理可酌情给分) (2)有助于摸清自然资源基础状况,保障国家资源安全(3分);有助于促进耕地资源数量、质量保护,确 保国家粮食安全(3分);有助于促进生态环境保护,确保国家环境安全(3分)。(其他答案合理可酌情给 分) 19.(1)新西兰气候终年温和湿润,牧草茂盛,牧场辽阔;人口稀少,养羊专业化和商品化程度高;经济和 教育发达,科学技术先进;四面临海,海运发达,交通便利;羊制品国际市场广阔。(任答其中 4点,每点 2分,共8分。其他答案合理可酌情给分) (2)新西兰四面环海,远离其他大陆,有着天然的地理隔绝条件;气温相对较低,缺少细菌、病毒滋生条件; 技术条件好,病疫防治水平高;国家生物安全检疫程序严格。(任答其中 3点,每点2分,共6分。其他答 案合理可酌情给分) (3)增加社会就业机会,有利于保障社会治安长期稳定(2分);增加经济收入,有利于促进国家经济持续 增长(2分);超载放牧,会导致生态环境恶化日益严重(2分)。 学科网(北京)股份有限公司