当前位置:首页>文档>专题08三角恒等变换与三角函数应用(4种经典基础练+4种优选提升练)解析版_1多考区联考试卷_0105好题汇编备战2024-2025学年高一数学上学期期末真题分类汇编(新高考通用)

专题08三角恒等变换与三角函数应用(4种经典基础练+4种优选提升练)解析版_1多考区联考试卷_0105好题汇编备战2024-2025学年高一数学上学期期末真题分类汇编(新高考通用)

  • 2026-03-28 15:07:03 2026-02-09 06:37:57

文档预览

专题08三角恒等变换与三角函数应用(4种经典基础练+4种优选提升练)解析版_1多考区联考试卷_0105好题汇编备战2024-2025学年高一数学上学期期末真题分类汇编(新高考通用)
专题08三角恒等变换与三角函数应用(4种经典基础练+4种优选提升练)解析版_1多考区联考试卷_0105好题汇编备战2024-2025学年高一数学上学期期末真题分类汇编(新高考通用)
专题08三角恒等变换与三角函数应用(4种经典基础练+4种优选提升练)解析版_1多考区联考试卷_0105好题汇编备战2024-2025学年高一数学上学期期末真题分类汇编(新高考通用)
专题08三角恒等变换与三角函数应用(4种经典基础练+4种优选提升练)解析版_1多考区联考试卷_0105好题汇编备战2024-2025学年高一数学上学期期末真题分类汇编(新高考通用)
专题08三角恒等变换与三角函数应用(4种经典基础练+4种优选提升练)解析版_1多考区联考试卷_0105好题汇编备战2024-2025学年高一数学上学期期末真题分类汇编(新高考通用)
专题08三角恒等变换与三角函数应用(4种经典基础练+4种优选提升练)解析版_1多考区联考试卷_0105好题汇编备战2024-2025学年高一数学上学期期末真题分类汇编(新高考通用)
专题08三角恒等变换与三角函数应用(4种经典基础练+4种优选提升练)解析版_1多考区联考试卷_0105好题汇编备战2024-2025学年高一数学上学期期末真题分类汇编(新高考通用)
专题08三角恒等变换与三角函数应用(4种经典基础练+4种优选提升练)解析版_1多考区联考试卷_0105好题汇编备战2024-2025学年高一数学上学期期末真题分类汇编(新高考通用)
专题08三角恒等变换与三角函数应用(4种经典基础练+4种优选提升练)解析版_1多考区联考试卷_0105好题汇编备战2024-2025学年高一数学上学期期末真题分类汇编(新高考通用)
专题08三角恒等变换与三角函数应用(4种经典基础练+4种优选提升练)解析版_1多考区联考试卷_0105好题汇编备战2024-2025学年高一数学上学期期末真题分类汇编(新高考通用)
专题08三角恒等变换与三角函数应用(4种经典基础练+4种优选提升练)解析版_1多考区联考试卷_0105好题汇编备战2024-2025学年高一数学上学期期末真题分类汇编(新高考通用)
专题08三角恒等变换与三角函数应用(4种经典基础练+4种优选提升练)解析版_1多考区联考试卷_0105好题汇编备战2024-2025学年高一数学上学期期末真题分类汇编(新高考通用)
专题08三角恒等变换与三角函数应用(4种经典基础练+4种优选提升练)解析版_1多考区联考试卷_0105好题汇编备战2024-2025学年高一数学上学期期末真题分类汇编(新高考通用)
专题08三角恒等变换与三角函数应用(4种经典基础练+4种优选提升练)解析版_1多考区联考试卷_0105好题汇编备战2024-2025学年高一数学上学期期末真题分类汇编(新高考通用)
专题08三角恒等变换与三角函数应用(4种经典基础练+4种优选提升练)解析版_1多考区联考试卷_0105好题汇编备战2024-2025学年高一数学上学期期末真题分类汇编(新高考通用)
专题08三角恒等变换与三角函数应用(4种经典基础练+4种优选提升练)解析版_1多考区联考试卷_0105好题汇编备战2024-2025学年高一数学上学期期末真题分类汇编(新高考通用)
专题08三角恒等变换与三角函数应用(4种经典基础练+4种优选提升练)解析版_1多考区联考试卷_0105好题汇编备战2024-2025学年高一数学上学期期末真题分类汇编(新高考通用)
专题08三角恒等变换与三角函数应用(4种经典基础练+4种优选提升练)解析版_1多考区联考试卷_0105好题汇编备战2024-2025学年高一数学上学期期末真题分类汇编(新高考通用)
专题08三角恒等变换与三角函数应用(4种经典基础练+4种优选提升练)解析版_1多考区联考试卷_0105好题汇编备战2024-2025学年高一数学上学期期末真题分类汇编(新高考通用)
专题08三角恒等变换与三角函数应用(4种经典基础练+4种优选提升练)解析版_1多考区联考试卷_0105好题汇编备战2024-2025学年高一数学上学期期末真题分类汇编(新高考通用)
专题08三角恒等变换与三角函数应用(4种经典基础练+4种优选提升练)解析版_1多考区联考试卷_0105好题汇编备战2024-2025学年高一数学上学期期末真题分类汇编(新高考通用)
专题08三角恒等变换与三角函数应用(4种经典基础练+4种优选提升练)解析版_1多考区联考试卷_0105好题汇编备战2024-2025学年高一数学上学期期末真题分类汇编(新高考通用)
专题08三角恒等变换与三角函数应用(4种经典基础练+4种优选提升练)解析版_1多考区联考试卷_0105好题汇编备战2024-2025学年高一数学上学期期末真题分类汇编(新高考通用)
专题08三角恒等变换与三角函数应用(4种经典基础练+4种优选提升练)解析版_1多考区联考试卷_0105好题汇编备战2024-2025学年高一数学上学期期末真题分类汇编(新高考通用)
专题08三角恒等变换与三角函数应用(4种经典基础练+4种优选提升练)解析版_1多考区联考试卷_0105好题汇编备战2024-2025学年高一数学上学期期末真题分类汇编(新高考通用)
专题08三角恒等变换与三角函数应用(4种经典基础练+4种优选提升练)解析版_1多考区联考试卷_0105好题汇编备战2024-2025学年高一数学上学期期末真题分类汇编(新高考通用)
专题08三角恒等变换与三角函数应用(4种经典基础练+4种优选提升练)解析版_1多考区联考试卷_0105好题汇编备战2024-2025学年高一数学上学期期末真题分类汇编(新高考通用)
专题08三角恒等变换与三角函数应用(4种经典基础练+4种优选提升练)解析版_1多考区联考试卷_0105好题汇编备战2024-2025学年高一数学上学期期末真题分类汇编(新高考通用)
专题08三角恒等变换与三角函数应用(4种经典基础练+4种优选提升练)解析版_1多考区联考试卷_0105好题汇编备战2024-2025学年高一数学上学期期末真题分类汇编(新高考通用)
专题08三角恒等变换与三角函数应用(4种经典基础练+4种优选提升练)解析版_1多考区联考试卷_0105好题汇编备战2024-2025学年高一数学上学期期末真题分类汇编(新高考通用)
专题08三角恒等变换与三角函数应用(4种经典基础练+4种优选提升练)解析版_1多考区联考试卷_0105好题汇编备战2024-2025学年高一数学上学期期末真题分类汇编(新高考通用)
专题08三角恒等变换与三角函数应用(4种经典基础练+4种优选提升练)解析版_1多考区联考试卷_0105好题汇编备战2024-2025学年高一数学上学期期末真题分类汇编(新高考通用)
专题08三角恒等变换与三角函数应用(4种经典基础练+4种优选提升练)解析版_1多考区联考试卷_0105好题汇编备战2024-2025学年高一数学上学期期末真题分类汇编(新高考通用)
专题08三角恒等变换与三角函数应用(4种经典基础练+4种优选提升练)解析版_1多考区联考试卷_0105好题汇编备战2024-2025学年高一数学上学期期末真题分类汇编(新高考通用)
专题08三角恒等变换与三角函数应用(4种经典基础练+4种优选提升练)解析版_1多考区联考试卷_0105好题汇编备战2024-2025学年高一数学上学期期末真题分类汇编(新高考通用)
专题08三角恒等变换与三角函数应用(4种经典基础练+4种优选提升练)解析版_1多考区联考试卷_0105好题汇编备战2024-2025学年高一数学上学期期末真题分类汇编(新高考通用)
专题08三角恒等变换与三角函数应用(4种经典基础练+4种优选提升练)解析版_1多考区联考试卷_0105好题汇编备战2024-2025学年高一数学上学期期末真题分类汇编(新高考通用)
专题08三角恒等变换与三角函数应用(4种经典基础练+4种优选提升练)解析版_1多考区联考试卷_0105好题汇编备战2024-2025学年高一数学上学期期末真题分类汇编(新高考通用)
专题08三角恒等变换与三角函数应用(4种经典基础练+4种优选提升练)解析版_1多考区联考试卷_0105好题汇编备战2024-2025学年高一数学上学期期末真题分类汇编(新高考通用)
专题08三角恒等变换与三角函数应用(4种经典基础练+4种优选提升练)解析版_1多考区联考试卷_0105好题汇编备战2024-2025学年高一数学上学期期末真题分类汇编(新高考通用)
专题08三角恒等变换与三角函数应用(4种经典基础练+4种优选提升练)解析版_1多考区联考试卷_0105好题汇编备战2024-2025学年高一数学上学期期末真题分类汇编(新高考通用)
专题08三角恒等变换与三角函数应用(4种经典基础练+4种优选提升练)解析版_1多考区联考试卷_0105好题汇编备战2024-2025学年高一数学上学期期末真题分类汇编(新高考通用)
专题08三角恒等变换与三角函数应用(4种经典基础练+4种优选提升练)解析版_1多考区联考试卷_0105好题汇编备战2024-2025学年高一数学上学期期末真题分类汇编(新高考通用)
专题08三角恒等变换与三角函数应用(4种经典基础练+4种优选提升练)解析版_1多考区联考试卷_0105好题汇编备战2024-2025学年高一数学上学期期末真题分类汇编(新高考通用)
专题08三角恒等变换与三角函数应用(4种经典基础练+4种优选提升练)解析版_1多考区联考试卷_0105好题汇编备战2024-2025学年高一数学上学期期末真题分类汇编(新高考通用)
专题08三角恒等变换与三角函数应用(4种经典基础练+4种优选提升练)解析版_1多考区联考试卷_0105好题汇编备战2024-2025学年高一数学上学期期末真题分类汇编(新高考通用)
专题08三角恒等变换与三角函数应用(4种经典基础练+4种优选提升练)解析版_1多考区联考试卷_0105好题汇编备战2024-2025学年高一数学上学期期末真题分类汇编(新高考通用)
专题08三角恒等变换与三角函数应用(4种经典基础练+4种优选提升练)解析版_1多考区联考试卷_0105好题汇编备战2024-2025学年高一数学上学期期末真题分类汇编(新高考通用)
专题08三角恒等变换与三角函数应用(4种经典基础练+4种优选提升练)解析版_1多考区联考试卷_0105好题汇编备战2024-2025学年高一数学上学期期末真题分类汇编(新高考通用)
专题08三角恒等变换与三角函数应用(4种经典基础练+4种优选提升练)解析版_1多考区联考试卷_0105好题汇编备战2024-2025学年高一数学上学期期末真题分类汇编(新高考通用)
专题08三角恒等变换与三角函数应用(4种经典基础练+4种优选提升练)解析版_1多考区联考试卷_0105好题汇编备战2024-2025学年高一数学上学期期末真题分类汇编(新高考通用)
专题08三角恒等变换与三角函数应用(4种经典基础练+4种优选提升练)解析版_1多考区联考试卷_0105好题汇编备战2024-2025学年高一数学上学期期末真题分类汇编(新高考通用)
专题08三角恒等变换与三角函数应用(4种经典基础练+4种优选提升练)解析版_1多考区联考试卷_0105好题汇编备战2024-2025学年高一数学上学期期末真题分类汇编(新高考通用)
专题08三角恒等变换与三角函数应用(4种经典基础练+4种优选提升练)解析版_1多考区联考试卷_0105好题汇编备战2024-2025学年高一数学上学期期末真题分类汇编(新高考通用)
专题08三角恒等变换与三角函数应用(4种经典基础练+4种优选提升练)解析版_1多考区联考试卷_0105好题汇编备战2024-2025学年高一数学上学期期末真题分类汇编(新高考通用)
专题08三角恒等变换与三角函数应用(4种经典基础练+4种优选提升练)解析版_1多考区联考试卷_0105好题汇编备战2024-2025学年高一数学上学期期末真题分类汇编(新高考通用)
专题08三角恒等变换与三角函数应用(4种经典基础练+4种优选提升练)解析版_1多考区联考试卷_0105好题汇编备战2024-2025学年高一数学上学期期末真题分类汇编(新高考通用)
专题08三角恒等变换与三角函数应用(4种经典基础练+4种优选提升练)解析版_1多考区联考试卷_0105好题汇编备战2024-2025学年高一数学上学期期末真题分类汇编(新高考通用)
专题08三角恒等变换与三角函数应用(4种经典基础练+4种优选提升练)解析版_1多考区联考试卷_0105好题汇编备战2024-2025学年高一数学上学期期末真题分类汇编(新高考通用)
专题08三角恒等变换与三角函数应用(4种经典基础练+4种优选提升练)解析版_1多考区联考试卷_0105好题汇编备战2024-2025学年高一数学上学期期末真题分类汇编(新高考通用)
专题08三角恒等变换与三角函数应用(4种经典基础练+4种优选提升练)解析版_1多考区联考试卷_0105好题汇编备战2024-2025学年高一数学上学期期末真题分类汇编(新高考通用)
专题08三角恒等变换与三角函数应用(4种经典基础练+4种优选提升练)解析版_1多考区联考试卷_0105好题汇编备战2024-2025学年高一数学上学期期末真题分类汇编(新高考通用)
专题08三角恒等变换与三角函数应用(4种经典基础练+4种优选提升练)解析版_1多考区联考试卷_0105好题汇编备战2024-2025学年高一数学上学期期末真题分类汇编(新高考通用)
专题08三角恒等变换与三角函数应用(4种经典基础练+4种优选提升练)解析版_1多考区联考试卷_0105好题汇编备战2024-2025学年高一数学上学期期末真题分类汇编(新高考通用)
专题08三角恒等变换与三角函数应用(4种经典基础练+4种优选提升练)解析版_1多考区联考试卷_0105好题汇编备战2024-2025学年高一数学上学期期末真题分类汇编(新高考通用)
专题08三角恒等变换与三角函数应用(4种经典基础练+4种优选提升练)解析版_1多考区联考试卷_0105好题汇编备战2024-2025学年高一数学上学期期末真题分类汇编(新高考通用)
专题08三角恒等变换与三角函数应用(4种经典基础练+4种优选提升练)解析版_1多考区联考试卷_0105好题汇编备战2024-2025学年高一数学上学期期末真题分类汇编(新高考通用)
专题08三角恒等变换与三角函数应用(4种经典基础练+4种优选提升练)解析版_1多考区联考试卷_0105好题汇编备战2024-2025学年高一数学上学期期末真题分类汇编(新高考通用)
专题08三角恒等变换与三角函数应用(4种经典基础练+4种优选提升练)解析版_1多考区联考试卷_0105好题汇编备战2024-2025学年高一数学上学期期末真题分类汇编(新高考通用)
专题08三角恒等变换与三角函数应用(4种经典基础练+4种优选提升练)解析版_1多考区联考试卷_0105好题汇编备战2024-2025学年高一数学上学期期末真题分类汇编(新高考通用)
专题08三角恒等变换与三角函数应用(4种经典基础练+4种优选提升练)解析版_1多考区联考试卷_0105好题汇编备战2024-2025学年高一数学上学期期末真题分类汇编(新高考通用)
专题08三角恒等变换与三角函数应用(4种经典基础练+4种优选提升练)解析版_1多考区联考试卷_0105好题汇编备战2024-2025学年高一数学上学期期末真题分类汇编(新高考通用)
专题08三角恒等变换与三角函数应用(4种经典基础练+4种优选提升练)解析版_1多考区联考试卷_0105好题汇编备战2024-2025学年高一数学上学期期末真题分类汇编(新高考通用)
专题08三角恒等变换与三角函数应用(4种经典基础练+4种优选提升练)解析版_1多考区联考试卷_0105好题汇编备战2024-2025学年高一数学上学期期末真题分类汇编(新高考通用)
专题08三角恒等变换与三角函数应用(4种经典基础练+4种优选提升练)解析版_1多考区联考试卷_0105好题汇编备战2024-2025学年高一数学上学期期末真题分类汇编(新高考通用)
专题08三角恒等变换与三角函数应用(4种经典基础练+4种优选提升练)解析版_1多考区联考试卷_0105好题汇编备战2024-2025学年高一数学上学期期末真题分类汇编(新高考通用)
专题08三角恒等变换与三角函数应用(4种经典基础练+4种优选提升练)解析版_1多考区联考试卷_0105好题汇编备战2024-2025学年高一数学上学期期末真题分类汇编(新高考通用)
专题08三角恒等变换与三角函数应用(4种经典基础练+4种优选提升练)解析版_1多考区联考试卷_0105好题汇编备战2024-2025学年高一数学上学期期末真题分类汇编(新高考通用)
专题08三角恒等变换与三角函数应用(4种经典基础练+4种优选提升练)解析版_1多考区联考试卷_0105好题汇编备战2024-2025学年高一数学上学期期末真题分类汇编(新高考通用)
专题08三角恒等变换与三角函数应用(4种经典基础练+4种优选提升练)解析版_1多考区联考试卷_0105好题汇编备战2024-2025学年高一数学上学期期末真题分类汇编(新高考通用)
专题08三角恒等变换与三角函数应用(4种经典基础练+4种优选提升练)解析版_1多考区联考试卷_0105好题汇编备战2024-2025学年高一数学上学期期末真题分类汇编(新高考通用)
专题08三角恒等变换与三角函数应用(4种经典基础练+4种优选提升练)解析版_1多考区联考试卷_0105好题汇编备战2024-2025学年高一数学上学期期末真题分类汇编(新高考通用)
专题08三角恒等变换与三角函数应用(4种经典基础练+4种优选提升练)解析版_1多考区联考试卷_0105好题汇编备战2024-2025学年高一数学上学期期末真题分类汇编(新高考通用)
专题08三角恒等变换与三角函数应用(4种经典基础练+4种优选提升练)解析版_1多考区联考试卷_0105好题汇编备战2024-2025学年高一数学上学期期末真题分类汇编(新高考通用)
专题08三角恒等变换与三角函数应用(4种经典基础练+4种优选提升练)解析版_1多考区联考试卷_0105好题汇编备战2024-2025学年高一数学上学期期末真题分类汇编(新高考通用)
专题08三角恒等变换与三角函数应用(4种经典基础练+4种优选提升练)解析版_1多考区联考试卷_0105好题汇编备战2024-2025学年高一数学上学期期末真题分类汇编(新高考通用)
专题08三角恒等变换与三角函数应用(4种经典基础练+4种优选提升练)解析版_1多考区联考试卷_0105好题汇编备战2024-2025学年高一数学上学期期末真题分类汇编(新高考通用)
专题08三角恒等变换与三角函数应用(4种经典基础练+4种优选提升练)解析版_1多考区联考试卷_0105好题汇编备战2024-2025学年高一数学上学期期末真题分类汇编(新高考通用)
专题08三角恒等变换与三角函数应用(4种经典基础练+4种优选提升练)解析版_1多考区联考试卷_0105好题汇编备战2024-2025学年高一数学上学期期末真题分类汇编(新高考通用)
专题08三角恒等变换与三角函数应用(4种经典基础练+4种优选提升练)解析版_1多考区联考试卷_0105好题汇编备战2024-2025学年高一数学上学期期末真题分类汇编(新高考通用)
专题08三角恒等变换与三角函数应用(4种经典基础练+4种优选提升练)解析版_1多考区联考试卷_0105好题汇编备战2024-2025学年高一数学上学期期末真题分类汇编(新高考通用)
专题08三角恒等变换与三角函数应用(4种经典基础练+4种优选提升练)解析版_1多考区联考试卷_0105好题汇编备战2024-2025学年高一数学上学期期末真题分类汇编(新高考通用)
专题08三角恒等变换与三角函数应用(4种经典基础练+4种优选提升练)解析版_1多考区联考试卷_0105好题汇编备战2024-2025学年高一数学上学期期末真题分类汇编(新高考通用)
专题08三角恒等变换与三角函数应用(4种经典基础练+4种优选提升练)解析版_1多考区联考试卷_0105好题汇编备战2024-2025学年高一数学上学期期末真题分类汇编(新高考通用)
专题08三角恒等变换与三角函数应用(4种经典基础练+4种优选提升练)解析版_1多考区联考试卷_0105好题汇编备战2024-2025学年高一数学上学期期末真题分类汇编(新高考通用)
专题08三角恒等变换与三角函数应用(4种经典基础练+4种优选提升练)解析版_1多考区联考试卷_0105好题汇编备战2024-2025学年高一数学上学期期末真题分类汇编(新高考通用)
专题08三角恒等变换与三角函数应用(4种经典基础练+4种优选提升练)解析版_1多考区联考试卷_0105好题汇编备战2024-2025学年高一数学上学期期末真题分类汇编(新高考通用)
专题08三角恒等变换与三角函数应用(4种经典基础练+4种优选提升练)解析版_1多考区联考试卷_0105好题汇编备战2024-2025学年高一数学上学期期末真题分类汇编(新高考通用)
专题08三角恒等变换与三角函数应用(4种经典基础练+4种优选提升练)解析版_1多考区联考试卷_0105好题汇编备战2024-2025学年高一数学上学期期末真题分类汇编(新高考通用)
专题08三角恒等变换与三角函数应用(4种经典基础练+4种优选提升练)解析版_1多考区联考试卷_0105好题汇编备战2024-2025学年高一数学上学期期末真题分类汇编(新高考通用)
专题08三角恒等变换与三角函数应用(4种经典基础练+4种优选提升练)解析版_1多考区联考试卷_0105好题汇编备战2024-2025学年高一数学上学期期末真题分类汇编(新高考通用)
专题08三角恒等变换与三角函数应用(4种经典基础练+4种优选提升练)解析版_1多考区联考试卷_0105好题汇编备战2024-2025学年高一数学上学期期末真题分类汇编(新高考通用)
专题08三角恒等变换与三角函数应用(4种经典基础练+4种优选提升练)解析版_1多考区联考试卷_0105好题汇编备战2024-2025学年高一数学上学期期末真题分类汇编(新高考通用)

文档信息

文档格式
docx
文档大小
12.936 MB
文档页数
99 页
上传时间
2026-02-09 06:37:57

文档内容

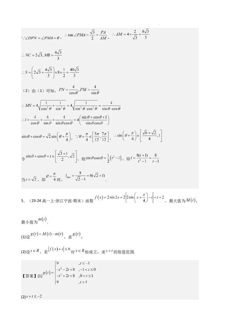
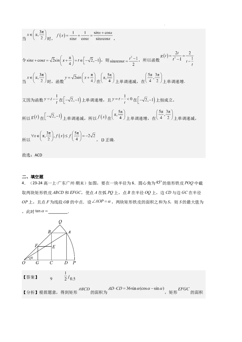
s 专题 08 三角恒等变换与三角函数应用 (4 种经典基础练+4 种优选提升练) 两角和与差(共7题) 1.(23-24高一上·浙江嘉兴·期末)已知 都是锐角, ,则 ( ) A. B. C. D. 【答案】B 【分析】根据 ,结合同角三角关系以及两角和差公式运算求解. 【详解】因为 都是锐角,则 , 则 , 所以 . 故选:B. 2.(23-24高一上·北京东城·期末)若 ,且 ,则 ( ) A. B. C. D. 学科网(北京)股份有限公司【答案】A 【分析】先通过 求出 的范围,进而可得 的范围. 【详解】 ,所以 , 因为 ,所以 , 所以根据 ,可得 , 所以 ,则 . 故选:A. 3.(23-24高一上·福建南平·期末)已知角 的顶点与坐标原点 重合,始边与 轴的非负半轴重 合,它的终边过点 . (1)求 的值; (2)求 的值. 【答案】(1)-2; (2) . 【分析】(1)由三角函数定义代入即可求解; (2)由三角函数定义结合两角和的正切公式即可求解. 【详解】(1)因为 的终边过点 ,所以 , , 所以 . (2)因为 的终边过点 ,所以 , 学科网(北京)股份有限公司所以 . 4.(23-24高一上·福建漳州·期末)在平面直角坐标系 中,角 的顶点为坐标原点,始边 为 轴的非负半轴,终边与单位圆交于点 . (1)求 的值; (2)求 的值. 【答案】(1) (2) 【分析】(1)由三角函数定义可得 ,后由两角和的正切公式可得答案; (2)由 与诱导公式可得 ,后由 可得答案. 【详解】(1)由三角函数定义,结合题意,可得 , 即 ,所以 ; (2)由诱导公式,结合题意可得: , 又 ,则 , 学科网(北京)股份有限公司又 ,则 5.(23-24高一上·安徽宿州·期末)(1)已知 ,求 的值. (2)已知角 的终边过点 , , ,求 的值. 【答案】(1)1;(2) 【分析】(1)化简已知式,求得 的值,将 利用弦的齐次式化弦为切代入即得; (2)由条件分别求出 的值,再代入两角和的余弦公式计算即得. 【详解】(1)由 可得: ; (2) 角 的终边过点 ,则 . 由 , 可知: 则 . 6.(23-24高一上·浙江丽水·期末)已知 为锐角, . (1)求 的值; (2)若 ,求 的值. 【答案】(1) (2) 或 学科网(北京)股份有限公司【分析】(1)由同角三角函数的基本关系求解即可; (2)由题意利用同角三角函数的基本关系求得 的值,再利用两角差的正弦公式,求得 的值. 【详解】(1) 为锐角, . (2) 或 . 7.(23-24高一上·广东深圳·期末)已知函数 . (1)求 在区间 上的对称轴; (2)求函数 在区间 上的取值范围. 【答案】(1) (2) . 【分析】(1)利用两角和的正弦公式将函数化简,再根据正弦函数的性质计算可得; (2)由 的范围求出 的范围,再根据正弦函数的性质计算可得; 【详解】(1)因为 , 令 ,则 , 令 ,得 , 学科网(北京)股份有限公司在区间 上的对称轴为 ; (2)对于 , , , , 所以当 ,即 时 取得最大值,即 ; 当 或 ,即 或 时 取得最小值,即 ; , 所以函数 在区间 上的取值范围为 . 二倍角公式(共5题) 1.(23-24高一上·广西贺州·期末)设 , , , 则有( ) A. B. C. D. 【答案】A 【分析】由两角差的正弦公式求 ,由二倍角的正切公式求 ,由二倍角的正弦公式求 ,即可根 据正弦函数的单调性比较大小. 【详解】 , , , 正弦函数在 是单调递增的, . 学科网(北京)股份有限公司又 . 故选:A. 2.(23-24高一上·湖南益阳·期末)已知 ,则 ( ) A.3 B.6 C.8 D.9 【答案】A 【分析】利用二倍角公式及正余弦齐次法计算得解. 【详解】由 ,得 . 故选:A 3.(多选)(23-24高一上·湖南长沙·期末)下列各式中值为1的是( ) A. B. C. D. 【答案】ABD 【分析】对于A项,逆用两角和的正切公式计算即得;对于B项,利用二倍角的正弦公式即得;对 于C项,利用二倍角的余弦公式即得;对于D项,利用诱导公式和同角的基本关系式计算即得. 【详解】对于A项, ,故A项符合; 对于B项, ,故B项符合; 对于C项, ,故C项不符合; 对于D项, , 故D项符合. 故选:ABD. 4.(23-24高一上·安徽安庆·期末)已知 ,且 . 学科网(北京)股份有限公司(1)求 的值; (2)求 的值. 【答案】(1) (2) 【分析】(1)根据余弦二倍角公式,结合同角的三角函数关系式进行求解即可; (2)根据诱导公式,结合辅助角公式进行求解即可. 【详解】(1)由题意可知, , 展开整理可得 , 即 , 解得 ( 舍去). 因为 ,所以 . (2) . 5.(23-24高一上·福建·期末)在平面直角坐标系中,角 与 的顶点均与直角坐标系的原点重合, 始边均与x轴的非负半轴重合.已知角 的终边与单位圆交于点 ,若将 绕原点O按逆 学科网(北京)股份有限公司时针方向旋转 后与角 的终边 重合. (1)求 的值; (2)求 的值. 【答案】(1) (2) 【分析】(1)由三角函数定义以及二倍角公式即可求解; (2)首先得 ,进一步根据两角和差的三角函数运算即可求解. 【详解】(1)由题意角 的终边与单位圆交于点 , 所以 , . (2)由题意 , . 简单的三角恒等变换(共10题) 一、单选题 1.(23-24高一上·河北唐山·期末)若函数 ,则 可以化简为( ) A. B. C. D. 【答案】C 【分析】利用辅助角公式求出答案. 学科网(北京)股份有限公司【详解】 ,C正确; 其他选项不满足要求. 故选:C 二、多选题 2.(22-23高一上·河北唐山·期末)设函数 ,若函数 为偶 函数,则 的值可以是( ) A. B. C. D. 【答案】BC 【分析】根据三角函数变换结合条件可得 ,进而 ,即得. 【详解】因为 , 所以 ,又函数 为偶函数, 所以 ,即 , 所以 的值可以是 , . 故选:BC. 三、填空题 3.(23-24高一上·湖北荆州·期末)若函数 的最小值为1,则实数 . 【答案】3 【分析】利用辅助角公式与正弦函数的性质得到关于 的方程,解之即可得解. 学科网(北京)股份有限公司【详解】因为 ,其中 , , 所以 ,解得 . 故答案为:3. 4.(20-21高一上·安徽安庆·期末)“无字证明”就是将数学命题用简单、有创意而且易于理解的 几何图形来呈现.请观察图,根据半圆中所给出的量,补全三角恒等式 ,第一 个括号为 ,第二个括号为 . 【答案】 【分析】在直角三角形 和直角三角形中,由三角函数表示即可. 【详解】 如图所示, 在直角三角形 中, , 在直角三角形 中, , 故答案为: ; . 四、解答题 5.(22-23高一上·湖北襄阳·期末)(1)若 ,化简: 学科网(北京)股份有限公司; (2)若 ,求 的值. 【答案】(1)-2;(2) 【分析】(1)根据 的角度范围,判断出 和 的取值范围,即可化简求值. (2)根据已知条件,将式子化成含 的式子,即可求出该式的值. 【详解】解:(1)由题意, , ∴ , , 原式 . (2)由题意 , ∴ . 学科网(北京)股份有限公司6.(23-24高一上·河南商丘·期末)已知 ,且 . (1)求 的值; (2)求 的值. 【答案】(1) (2) 【分析】(1)由同角三角函数关系得到 ,再利用二倍角公式进行计算; (2)凑角法,结合正弦和角公式进行计算. 【详解】(1)由 ,得 . . 则 . (2)由 ,得 , 所以 . . 7.(21-22高一上·广东湛江·期末)证明下列等式: 学科网(北京)股份有限公司(1) (2) . 【答案】(1)证明见解析 (2)证明见解析 【分析】(1)(2)利用三角函数恒等变换的应用化简等式左边等于右边即可得证. 【详解】(1)左边 右边,得证; (2)左边 右边,得证. 8.(22-23高一上·宁夏中卫·期末)已知 .求: (1) 的值; (2)若 ,求角 . 【答案】(1) (2) 【分析】(1)直接根据二倍角的正切公式即可得解; (2)利用两角和的正切公式求出 ,结合范围即可得结果. 【详解】(1)因为 ,所以 . 学科网(北京)股份有限公司(2)因为 ,所以 , 又因为 ,所以 , 故 . 9.(22-23高一上·河南郑州·期末)计算 (1)已知 .求 的值. (2)已知 ,且 , ,求角 的值; 【答案】(1)4 (2) 【分析】 (1)利用诱导公式和齐次式化简,化为关于 的式子,代入求值即可; (2)利用同角三角函数关系及角的范围得到 和 ,从而利用余弦差角公式求出 ,从而求出角 的值. 【详解】(1)因为 , 所以 . (2)因为 ,所以 , 因为 ,所以 , 因为 ,所以 , 故 学科网(北京)股份有限公司, 因为 , 所以 . 10.(23-24高一上·天津河北·期末)已知 . (1)求 的值; (2)求 的值. 【答案】(1) (2) 【分析】(1)利用正切和角公式求出答案; (2)利用二倍角公式得到齐次式,再化弦为切,代入求值即可. 【详解】(1) ; (2) . 三角函数的应用(共10题) 一、单选题 1.筒车亦称“水转筒车”,一种以水流作动力,取水灌田的工具,如图是某公园的筒车,假设在 水流稳定的情况下,筒车上的每一个盛水筒都做逆时针方向匀速圆周运动.现有一半径为2米的筒 车,在匀速转动过程中,筒车上一盛水筒 距离水面的高度 (单位:米,记水筒 在水面上方 学科网(北京)股份有限公司时高度为正值,在水面下方时高度为负值)与转动时间 (单位:秒)满足函数关系式 , ,且 时,盛水筒 位于水面上方 米处,当筒车转动到 第 秒时,盛水筒 距离水面的高度为( )米. A. B. C. D. 【答案】B 【分析】根据 求出 ,即可得到函数解析式,再代入 计算可得. 【详解】依题意可得 ,即 ,又 ,所以 , 所以 , 则当 时 , 即当筒车转动到第 秒时,盛水筒 距离水面的高度为 米. 故选:B 二、多选题 2.如图,一个半径为 的筒车按逆时针方向每分钟转1.5圈,筒车的轴心O距离水面的高度为 .设筒车上的某个盛水筒P到水面的距离为d(单位: )(在水面下则d为负数),若以盛 水筒P刚浮出水面时开始计算时间,则d与时间:(单位:s)之间的关系为 下列结论正确的是( ) 学科网(北京)股份有限公司A. B. C. D. 【答案】ABC 【分析】根据题意,结合三角函数的图象与性质,逐项求解,即可得到答案. 【详解】由题意,一个半径为 的筒车按逆时针方向每分钟转1.5圈, 所以振幅 且 ,可得 ,所以A、B正确; 又由筒车的轴心O距离水面的高度为 ,可得 ,所以D错误; 根据题意,当 时, ,即 ,可得 ,所以C正确.A 故选:ABC. 三、填空题 3.一个单摆作简谐振动位移-时间图象如图所示,S表示离开O的位移(单位:cm),t表示振动 的时间(单位:s),则该简谐振动的振幅为 cm,振动的最小正周期为 s. 【答案】 6 4 【分析】根据图象求得振幅以及最小正周期. 【详解】单摆作简谐振动的位移-时间图符合正弦型函数, 由图可知振幅为6,最小正周期为 . 故答案为: ; 4.已知某段电路中电流 (单位:A)随时间 (单位: )变化的函数解析式是 学科网(北京)股份有限公司,若 时的电流为 ,则 时的电流为 . 【答案】 【分析】由题意得 ,结合角 、平方关系以及二倍角的正弦公式即可得解. 【详解】由题意 ,所以 , 又因为 , 所以 , 所以 时的电流为 . 故答案为: . 四、解答题 5.已知函数 . (1)写出函数的振幅、周期、初相; (2)求函数的最大值和最小值并写出当函数取得最大值和最小值时x的相应取值. 【答案】(1)振幅为 ,周期为 ,初相为 ; (2)当 时,函数有最大值 ;当 时,函数有最小值 . 【分析】(1)根据振幅定义、周期公式、初相定义进行求解即可; (2)根据正弦型函数的最值性质进行求解即可. 【详解】(1)由函数 的解析式可知:振幅为 ,周期为 ,初相为 ; (2)当 时,即当 时,函数有最大值 ; 当 时,即当 时,函数有最小值 . 学科网(北京)股份有限公司6.如图,有一块半径为R的扇形草地OMN, ,现要在其中圈出一块矩形场地ABCD 作为儿童乐园使用,其中点A,B在弧MN上,且线段AB平行于线段MN. (1)设 ,用 分别表示AB和AD; (2)当 为何值时,矩形场地ABCD的面积S最大?最大值为多少? 【答案】(1) , . (2)当 时, 最大,为 【分析】借助三角函数表示 和 ,进一步表示矩形的面积,可求矩形面积的最大值. 【详解】(1)如图:过 做 于 . 则 ,所以 , . (2) , 当且仅当 即 时取“ ”. 学科网(北京)股份有限公司故当 时矩形场地的面积最大且最大为 . 7.深圳别称“鹏城”,“深圳之光”摩天轮是中国之眼.游客坐在摩天轮的座舱里慢慢往上转, 可以从高处俯瞰四周景色,摩天轮最高点距离地面高度为120米,转盘直径为110米,当游客坐上 “深圳之光”摩天轮的座舱开始计时.开启后按逆时针方向匀速旋转,游客在座舱转到距离地面最 近的位置进舱,转一周大约需要30分钟.开始转动t分钟后距离地面的高度为 米. (1)经过t分钟后游客距离地面的高度为H米,已知H关于t的函数关系式满足 (其中 , , ),求摩天轮转动一周的解析式 ; (2)若游客在距离地面至少92.5米的高度能够获得最佳视觉效果,请问摩天轮在运行一周的过程中, 游客能有多长时间有最佳视觉效果? 【答案】(1) (2) 分钟 【分析】(1)根据最高、最低点距离地面高度计算出 ,根据转一周的时间计算出 ,再结合 初始位置计算出 ,由此可求 ; (2)化简 ,根据 ,求解出 的范围,由此可知结果. 【详解】(1)由题意可知:摩天轮最高点距离地面 ,最低点距离地面 ,所以 ,所以 , 学科网(北京)股份有限公司又因为转一周大约需要 ,所以 , 所以 , 又因为 ,所以 且 ,所以 , 所以 ; (2)因为 , 令 ,则 , 又因为 ,所以 , 所以 ,且 分钟, 故摩天轮在运行一周的过程中,游客能有 分钟最佳视觉效果. 8.风力发电的原理是利用风力带动风机叶片旋转,当风吹向叶片时驱动风轮转动,风能转化成动 能,进而来推动发电机发电.如图,风机由一座塔和三个叶片组成,每两个叶片之间的夹角均为 ,现有一座风机,叶片旋转轴离地面100米,叶片长40米.叶片按照逆时针方向匀速转动,并 且每5秒旋转一圈.风机叶片端点P从离地面最低位置开始,转动t秒后离地面的距离为h米,在 转动一周的过程中,h关于t的函数解析式为 ( , , ). (1)求函数 的解析式; (2)当风机叶片端点P从离地面最低位置开始,在转动一周的过程中,求点P离地面的高度不低于 80米的时长. 学科网(北京)股份有限公司【答案】(1) (2) 秒 【分析】(1)根据题意,建立关于 的方程组,解出即可; (2) ,解出三角不等式即可. 【详解】(1)由题意,得风机的角速度 每秒,当 时 . 解得 . (2)令 ,则 ,即 , ,解得 , . 当风机叶片端点P从离地面最低位置开始, 在转动一周的过程中,点P离地面的高度不低于80米的时长为 秒. 9.如图,一个大风车的半径为 旋转一周,它的最低点 离地面 ,它的右侧有一点 且距离地面 .风车翼片的一个端点 从 开始计时,按逆时针方向旋转. 学科网(北京)股份有限公司(1)试写出点 距离地面的高度 关于时刻 (min)的函数关系式 ; (2)在点 旋转一周的时间内,有多长时间点 距离地面超过 ? 【答案】(1) (2) 分钟. 【分析】(1)建立以圆心为坐标原点的坐标系,根据任意角三角函数的概念表示出 的纵坐标 即可求解;(2)令 ,解三角不等式即可求解. 【详解】(1) 以圆环的圆心为坐标原点,过圆心且平行于地面的直线为 轴, 过圆心且垂直于地面的直线为 轴建立平面直角坐标系 . 以 轴非负半轴为始边, 为终边的角为 ; 点 时刻 所转过的圆心角为: . 若 时刻时蚂蚁爬到圆环 点处, 那么以 轴非负半轴为始边, 为终边的角为 , 则 点纵坐标为 , 所以 学科网(北京)股份有限公司(2)令 , 即 所以 , 解得 , 所以在一周范围内, 距离地面超过 持续时间为: 分钟. 10.如图,在扇形 中,半径 ,圆心角 . 是扇形圆弧上的动点,矩形 内接于扇形,记 . (1)将矩形 的面积 表示成关于 的函数 的形式; (2)求 的最大值,及此时的角 . 【答案】(1) ( ) (2) 时, 取得最大值 【分析】(1)借助三角函数定义及几何性质即可求解; (2)借助三角函数性质即可求解. 【详解】(1)在 中, , , , , , 学科网(北京)股份有限公司, ( ); (2) , , , 因为 , , 当 ,即 时, 取得最大值 . 辅助角应用(共14题) 一、多选题 1.(23-24高一上·湖北武汉·期末)下列各式中值为 的是( ) A. B. C. D. 【答案】ABD 【分析】选项A,由 ,结合诱导公式,化简即可;选项B,利用二倍角公式, 可得解;选项C,结合诱导公式与二倍角公式,化简运算,得解;选项D,由辅助角公式化简,结 合正弦的二倍角公式,即可得到结果 学科网(北京)股份有限公司【详解】选项A, ,即A符合题意; 选项B, ,即B符合题意; 选项C, ,即C不符合题意. 选项D, ,即D符合题意. 故选:ABD. 2.(23-24高一上·浙江杭州·期末)关于函数 ,下列结论正确 的是( ) A.函数 的最大值是2 B.函数 在 单调递减 C.函数 的图像可以由函数y=2sin2x+1的图像向右平移 个单位得到 D.若方程 在区间 有两个实根,则 【答案】BC 【分析】根据题意,化简函数 ,结合三角函数的图象与性质,逐项判定,即 可求解. 【详解】由函数 , 对于A中,当 时,函数 的最大值为 ,所以A错误; 学科网(北京)股份有限公司对于B中,当 时,可得 , 根据正弦函数的性质,可得正弦函数单调递增,所以B正确; 对于C中,函数 的图象向右平移 个单位得到函数 的图象,所以C 正确; 对于D中,令 ,解得 , 所以 在 上单调递增, 令 ,解得 , 所以 在 上单调递减, 当 时,函数 在 上单调递增,在 上单调递减, 且 , 所以 在区间 上有两个实根,可得 ,所以 D不正确. 故选:BC. 3.(23-24高一上·河北保定·期末)已知函数 ,则下列结论正确的是( ) A. 的图象关于直线 对称 B. 的图象关于点 对称 C. D. 【答案】ACD 学科网(北京)股份有限公司【分析】验证 是否相等可以判断A;验证特殊值 ,可以判 断B;由角的范围,利用诱导公式化简 ,即可判断C;由已知化简可得 , 令 ,则 ,则 可转化为 ,通过研究 的单调 性,再利用复合函数的单调性求得 的最值,可判断D. 【详解】 , 所以 的图象关于直线 对称,A正确. 因为 ,所以 的图象不关于点 对称,B错误. 当 时, ,所以 正 确. 由 ,解得 ,所以 的定义域为 . 学科网(北京)股份有限公司当 时, , 令 ,则 ,所以函数 当 时,函数 在 上单调递减,在 上单调递增. 又因为函数 在 上单调递增,且 在 上恒成立, 所以 在 上单调递减,所以 在 上单调递增,在 上单调递减, 所以 , 正确. 故选:ACD 二、填空题 4.(23-24高一上·广东广州·期末)如图,要在一块半径为6.圆心角为 的扇形铁皮POQ中截 取两块矩形铁皮ABCD和EFGC,使点A在弧PQ上,点B在半径OQ上,边CD与边GC在半径 OP上,且点F为线段OB的中点.设 ,两块矩形铁皮的面积之和为S,则S的最大值为 ,此时 . 【答案】 / 【分析】根据题意,得到矩形 的面积为 ,矩形 的面积 学科网(北京)股份有限公司为 ,进而化简 ,结合三角函数的性质,以及基本关系式和 正切的倍角公式,即可求解. 【详解】由题意知,一块半径为6,圆心角为 的扇形铁皮, 可得 且 , 在直角 中, ,所以 , 所以 , 所以矩形 的面积为 , 因为 为 的中点,所以 , 所以矩形 的面积为 , 所以两块矩形铁皮的面积之和为: , 其中 ,且 , 所以,当 时, 取得最大值 , 此时 ,即 ,所以 , 因为 ,所以 ,即 , 解得 或 (不合题意,舍去), 综上可得,当 时, 取得最大值 . 故答案为:9; 【点睛】知识方法点拨:求解三角函数实际应用问题的处理策略: 1.若已知三角函数模型,根据给定的三角函数模型,利用三角函数的图象与性质解决问题,其关键 学科网(北京)股份有限公司在于准确理解自变量的意义,以及自变量与函数之间的对应关系; 2、把实际问题抽象转化成数学问题,建立三角函数模型,结合三角函数的图象与性质等有关知识 解决问题,其关键在于正确理解题意,合理建模. 5.(23-24高一上·四川宜宾·期末)已知函数 满足: .若函数 在区间 上单调,且 ,则当 取得最小值时, . 【答案】 【分析】利用辅助角公式化简函数式,三角函数的图象与性质先计算得 ,再计算 何时取 最小值即可得结果. 【详解】易知 , 若 ,由辅助角公式得 , 其中 , 因为 ,则 , 则 ,所以 , 若 ,则 , 其中 ,同上 ,与前提矛 盾,舍去, 故 , 易知 以 为对称中心, 学科网(北京)股份有限公司根据题意函数 在区间 上单调,且 ,则 则当 取得最小值时, . 故答案为: . 【点睛】难点点睛:现根据 确定 的值,得出 解析式,利用三角函数的单调性、 对称性计算即可. 6.(23-24高一上·江苏无锡·期末)已知函数 ,若对任意的 , ,当 时, 恒成立,则实数 的取值范围是 . 【答案】 【分析】将问题转化为对任意的 ,当 时, 恒成立, 不妨设 ,将问题转化为 在 单调递减,再结合利用正弦函 数的性质求出 的取值范围. 【详解】 , 由 , 得 , 所以 , 学科网(北京)股份有限公司所以 , 因为对任意的 ,当 时, 恒成立, 所以对任意的 , 当 时, 恒成立, , 不妨设 ,则问题转化成 在 单调递减, 所以 ,其中 ,解得 , 所以 的取值范围为 . 故答案为: 【点睛】方法点睛:对于求不等式成立时的参数范围问题,一般有三个方法,一是分离参数法, 使 不等式一端是含有参数的式子,另一端是一个区间上具体的函数,通过对具体函数的研究确定含参 式子满足的条件;二是讨论分析法,根据参数取值情况分类讨论;三是数形结合法,将不等式转化 为两个函数,通过两个函数图像确定条件. 三、解答题 7.(23-24高一上·福建·期末)如图所示,某市政府计划在该扇形地域内建设图书馆,为了充分利 用这块土地,并考虑与周边环境协调,要求该图书馆底面矩形 的四个顶点都落在边界上.经 过测量,扇形的半径为 , , .记弧 的中点为G,连接 ,分别与 , 交于点M,N,连接 ,设 . 学科网(北京)股份有限公司(1)求矩形 的面积关于 的函数 ; (2)求矩形 的最大面积. 【答案】(1) (2) 【分析】(1)用 的正余弦表示出边长 ,再用面积公式表示 出函数关系即可; (2)由正弦函数的性质求出最值即可. 【详解】(1)由题意可知, , 代入数值并化简可得 , 所以矩形 的面积关于 的函数 ①, 利用降幂公式,二倍角公式,辅助角公式化简上式可得 ① , 所以 (2)由正弦函数的值域可知,当 时, 学科网(北京)股份有限公司8.(23-24高一上·陕西宝鸡·期末)已知函数 ,其相邻两个对称 中心之间的距离为 (1)求实数 的值及函数 的单调递增区间; (2)求函数 在 上的最大值和最小值; (3)设 ,若函数 在 上有两个不同零点,求实数m的取值范围. 【答案】(1) , 单调递增区间是 ; (2) , ; (3) 【分析】(1)利用二倍角公式及辅助角公式化简函数 ,再利用正弦函数的性质求解即得. (2)函数 的零点问题转化为直线与函数图象的交点个数问题,再结合几何图形求出范围. 【详解】(1)依题意, , 显然函数 的周期 ,解得 ,因此 , 由 ,得 , 故 单调递增区间是 . (2)当 时, ,则当 ,即 时, , 当 ,即 时, . (3)由(1)知,函数 在 上单调递增,函数值从0增大到 , 在 上单调递减,函数值从 减小到1, 学科网(北京)股份有限公司函数 在 的图象,如图, 由 ,得 ,函数 在 上有两个不同零点, 即直线 与函数 在 的图象有两个公共点,此时 , 所以实数m的取值范围是 . 9.(23-24高一上·安徽阜阳·期末)为了丰富市民业余生活,推进美丽阜阳建设,市政府计划将一 圆心角为 ,半径为 米的扇形 空地 如图 改造为市民休闲中心,休闲中心由活动场地和 绿地两部分组成,其中活动场地是扇形的内接矩形,其余部分作为绿地,城建部门给出以下两种方 案: 方案 让矩形的一个端点位于 上,其余端点位于 , 上. 方案 让矩形的两个端点位于 上,其余端点位于 , 上. 请你先选择一种方案,并根据此方案求出活动场地面积的最大值. 【答案】答案见解析 【分析】方案 ,如图 所示,设 ,将 , 都用 表示,再根据矩形的面积公式结 合三角恒等变换化简,再根据三角函数得性质即可得出结论 方案 ,如图 所示,过点 作 的垂线分别交 , 于 , ,设 ,将 , 都用 表示,从而可将矩形的面积表示成 的函数,最后由三角函数的性质即可得解. 学科网(北京)股份有限公司【详解】解:选择方案 , 如图 所示,矩形 内接于扇形 , 在直角 中,设 ,则 , 在直角 中,可得 , 所以 , 设矩形 的面积为 , 则 由 ,可得 , 当 ,即 时, 平方米 所以,当 时,活动场地面积取得最大值,最大值为 平方米. 选择方案 , 如图 所示,矩形 内接于扇形 , 过点 作 的垂线分别交 , 于 , 由对称性可知, 平分 , 在直角 中,设 ,则 , 学科网(北京)股份有限公司在直角 中,可得 , 所以 , 设矩形 的面积为 , 则 , 由 ,可得 , 当 ,即 时, 平方米 , 因此,当 时,活动场地面积取得最大值为 平方米. 10.(23-24高一上·贵州黔东南·期末)已知函数 . (1)求 的单调递减区间; (2)将 图象上所有点的横坐标缩短到原来的 ,得到函数 的图象,若存在 ,使得不等式 有解,求 的取值范围. 【答案】(1) 学科网(北京)股份有限公司(2) 【分析】(1)先利用和差角公式,二倍角公式以及辅助角公式进行化简,然后结合正弦函数的单 调性即可求解; (2)先求出 的解析式,然后结合恒成立与存在性问题与最值关系转化即可求解. 【详解】(1) 令 , 得 即 的单调递减区间为 . (2)根据题意可得 . 因为存在 ,使得不等式 有解, 所以 . 当 时, , , 当 时, , 学科网(北京)股份有限公司所以 ,即 的取值范围为 . 11.(23-24高一上·重庆·期末)如图所示, 是一块边长为8米的荒地,小花想在其中开圼出 一块地来种植玫瑰花.已知一半径为6米的扇形区域TAN已被小明提前撒下了蔬菜种子,扇形区域 外能供小花随意种植玫瑰花.最后小花决定在能种植玫瑰的区域选定一块矩形PQCR区域进行种植, 其中 在 边上, 在 边上, 是弧 上一点.设 ,矩形 的面积为 平方米. (1)求 关于 的函数解析式; (2)求 的取值范围 【答案】(1) (2) 【分析】(1)用三角函数分别表示出 ,再由矩形的面积公式表示出 关于 的函数解析式即可. (2)令 ,由同角的三角函数关系得到 ,即 ,再由二次函数的性质求出取值范围即可. 【详解】(1)如图,延长 交 于点 ,延长 交 于点 .由四边形 是正方形,四 边形 是矩形, 可知 .由 ,可得 学科网(北京)股份有限公司, . . (2)令 ,由 ,可得 , 故 ,即 , ,其对称轴为 所以当 时, 取最大值,最大值为16; 所以当 时, 取最小值,最小值为14. 即 . 12.(23-24高一上·福建宁德·期末)如图为某市拟建的一块运动场地的平面图,其中有一条运动 赛道由三部分构成:赛道的前一部分为曲线段 ,该曲线段为函数 在 的图象,且图象的最高点为 );赛 道的中间部分为长度是 的水平跑道 ;赛道的后一部分是以 为圆心的一段圆弧 . 学科网(北京)股份有限公司(1)求 , 和 的值; (2)若要在圆弧赛道所对应的扇形区域内建一个矩形草坪 ,如图所示,记 ,求矩 形草坪 面积的最大值及此时 的值. 【答案】(1) , , ; (2)当 时, . 【分析】(1)根据三角形函数的图像性质求值; (2)由题意,表示出 , , ,从而得到矩形草坪 面积的表达式,由三角恒等变形求最值. 【详解】(1)由题意可得 , 则 ,故 , 将点 代入,得 , 所以 ,又 ,所以 , 从而可得曲线段 的解析式为 , 令 ,可得 ,所以 , 所以 ,则 , 学科网(北京)股份有限公司. (2)由(1),可知 , 又易知当矩形草坪 的面积最大时,点 在弧 上,故 , 由 , 则 , , , 所以矩形草坪 的面积为 . 又 ,所以 , 故当 ,即 时, , 矩形草坪 面积取得最大值 . 13.(23-24高一上·福建宁德·期末)固定项链的两端,在重力的作用下项链所形成的曲线是悬链 线.1691年,莱布尼茨等得出“悬链线”方程 ,其中 为参数.当 时,就是双曲余 弦函数 ,类似地我们可以定义双曲正弦函数 .它们与正、余弦函数有许 多类似的性质. (1)类比正弦函数的二倍角公式,请写出双曲正弦函数的一个正确的结论: _____________. (只写出即可,不要求证明); (2) ,不等式 恒成立,求实数 的取值范围; 学科网(北京)股份有限公司(3)若 ,试比较 与 的大小关系,并证明你的结论. 【答案】(1) ; (2) ; (3) . 【分析】(1)利用双曲正、余弦函数的定义,结合指数运算即可得解. (2)根据给定条件,列出不等式,分离参数构造函数并求出最值即得. (3)作差,结合指数函数单调性及正余弦函数的性质推理判断即可. 【详解】(1) . (2)依题意, ,不等式 , 函数 在 上单调递增, ,令 , 显然函数 在 上单调递减,在 上单调递增, , 又 ,于是 , , 因此 , ,显然函数 在 上单调递减, 当 时, ,从而 , 所以实数 的取值范围是 . (3) , . 依题意, , , 当 时, , ,即 , 学科网(北京)股份有限公司于是 ,而 ,因此 , 当 时, ,则 , , 即 ,而 ,因此 , 于是 , ,所以 . 【点睛】结论点睛:函数 的定义区间为 ,①若 ,总有 成立,则 ;②若 ,总有 成立,则 ;③若 ,使得 成立, 则 ;④若 ,使得 成立,则 . 14.(23-24高一上·福建福州·期末)筒车是我国古代发明的一种水利灌溉工具.如图,假定在水流 量稳定的情况下,一个半径为 的筒车开启后按逆时针方向做匀速圆周运动,每分钟转1圈、筒 车的轴心 距离水面的高度为 .设筒车上的某个盛水筒 到水面的距离为 (单位: )(在 水面下则 为负数).若以盛水筒 刚浮出水面时开始计算时间,则 与时间 (单位:s)之间的关 系为 . (1)求 , , , 的值; (2)若盛水筒 在不同时刻 , 距离水面的高度相等,求 的最小值; (3)若筒车上均匀分布了12个盛水筒,在筒车运行一周的过程中,求相邻两个盛水筒距离水面的高 度差的最大值. 【答案】(1) (2) 学科网(北京)股份有限公司(3) 【分析】(1)由圆的半径、周期性以及锐角三角函数即可求解; (2)不妨设 ,由题意得 ,通过分类讨论即可求解; (3)由题意首先得 , ,由此即可进一步求解. 【详解】(1)如图,设筒车与水面的交点为 , ,连接 , 过点 作 于点 ,过点 分别作 于点 , 于点 , 则 , 因为筒车转一周需要1分钟,所以 , 故 . 在 中, , 所以 ,即 . (2)由(1)知 , . 不妨设 ,由题意得 , 故 , 所以 , 或 , . 学科网(北京)股份有限公司当 , 时,解得 , , 故 ,当且仅当 , 时,等号成立. 此时 的最小值为60; 当 , 时,解得 , 显然当 时, 取得最小值40. 综上, 的最小值为 . (3)设在筒车运行一周的过程中,相邻两个盛水筒距离水面的高度差为 , 两个相邻的盛水筒的位置分别用 和 表示,则 . 所以 , 当 ,即 , 时, 高度差 的最大值为 . 【点睛】关键点睛:第三问的关键是准确求出 ,由此即可顺利得解. 给值求值(共12题) 一、多选题 1.(23-24高一上·广东广州·期末)已知函数 ,下列命题正确的是( ) 学科网(北京)股份有限公司A.若 ,则 B.不等式 的解集是 C.函数 , 的最小值为 D.若 ,且 ,则 【答案】ACD 【分析】利用弦化切可判断A;根据正切函数的图象与性质可判断B;利用换元法转化为二次函数 的最小值问题可判断C;根据 和 得到 和 ,再利用诱导公 式可判断D. 【详解】对于A, , ,故A正确; 对于B, 的解集为 ,故B错误; 对于C,当 时,令 , , , 当 时, ,故C正确; 对于D,若 ,则 , , , ,且 , 学科网(北京)股份有限公司解得 , . 故选:ACD 2.(23-24高一上·山西朔州·期末)已知 ,其中 为锐角,则 ( ) A. B. C. D. 【答案】ABD 【分析】由三角函数平方关系可求得 、 即可判断A项,由 及差角公式即可判断B项,由和角、差角公式展开 、 ,两式相加可判断C项,两式相减可得 ,进而可得 即可判断D项. 【详解】因为 为锐角,所以 , , 所以 , , 又因为 ,所以 , 所以 , 对于A项,因为 ,所以 ,则 ,故A项正确; 对于B项, 学科网(北京)股份有限公司,故B项正确; 对于C项,因为 , , 两式相加并化简得 ,故C项错误; 对于D项,由C项知,两式相减并化简得 , 所以 ,故D项正确. 故选:ABD. 二、填空题 3.(23-24高一上·江苏南通·期末)已知 , ,则 的一个取 值为 . 【答案】 (或 ) 【分析】计算出 的值,即可求得出 的值. 【详解】因为 , , 且 , 所以, ,故 . 故答案为: (或 ). 学科网(北京)股份有限公司4.(23-24高一上·福建厦门·期末)水星是离太阳最近的行星,在地球上较难观测到.当地球和水星 连线与地球和太阳连线的夹角达到最大时,称水星东(西)大距,这是观测水星的最佳时机(如图 1).将行星的公转视为匀速圆周运动,则研究水星大距类似如下问题:在平面直角坐标系中,点 A, 分别在以坐标原点 为圆心,半径分别为1,3的圆上沿逆时针方向做匀速圆周运动,角速度 分别为 , .当 达到最大时,称A位于 的“大距点”.如图2,初始 时刻A位于 , 位于以 为始边的角 的终边上. (1)若 ,当A第一次位于 的“大距点”时,A的坐标为 ; (2)在 内,A位于 的“大距点”的次数最多有 次 【答案】 6 【分析】根据题意可得 , ,可得 ,结合 倍角公式运算求解;根据题意分析可知求“大距点”个数的问题转化为直线 与 在 的交点个数问题,结合图象分析求解. 【详解】(1)当 时,经过时间 , , , 当A位于 的“大距点”时, 与小圆相切, 学科网(北京)股份有限公司此时 为直角三角形,所以 , 因为 ,所以 , 因为A是第一次位于 的“大距点”,可知 ,则 , 所以 , , 即A的坐标为 ; (2)经过时间 , , , 对于任意 ,当A位于 的“大距点”时, A, 两点坐标满足 ,即 , 当 时,求“大距点”个数的问题转化为直线 与 在 的交点个 数问题. 若 与 有7个交点,则第1个交点到第7个交点间隔恰好3个周期, 共长度等于36,因为 ,所以 内不可能有7个交点. 又当 时, 如图所示, 与 有6个交点,故A最多有6次位于 的“大距点”. 故答案为: ;6. 学科网(北京)股份有限公司【点睛】方法点睛:数形结合求交点个数:对于给定的函数不能直接求解或画出图形,常会通过分 解转化为两个函数图象,然后数形结合,看其交点的个数有几个. 三、解答题 5.(23-24高一上·江苏南京·期末)已知函数 的一段图象 过点 ,如图所示. (1)求函数 的表达式; (2)将函数 的图象向右平移 个单位,得函数 的图象,求 在区间 上 的值域; (3)若 ,求 的值. 【答案】(1) (2) (3) 学科网(北京)股份有限公司【分析】(1)通过三个连续零点的值可以求出函数 的周期,根据最小正周期公式可以求出 的值,将特殊点代入解析式中,可以求出 , 的值,进而确定函数解析式; (2)根据正弦型函数的图象变换特点可以求出 的解析式,由 可求出 ,进而得到 的值域; (3)根据 可求出 ,由此求出 ,进而得到 的值. 【详解】(1)由图知, ,则 . 由图可得, 在 处最大值, 又因为图象经过 ,故 , 所以 ,故 , 又因为 ,所以 , 函数又经过 ,故 ,得 . 所以函数 的表达式为 . (2)由题意得, , 因为 ,所以 , 则 ,所以 , 所以 在区间 上的值域为 . 学科网(北京)股份有限公司(3)因为 , 所以 ,即 , 又因为 ,所以 , 由 ,所以 . 所以 , 所以 . 6.(23-24高一上·内蒙古·期末)已知函数 . (1)求 的单调递增区间; (2)若 ,求 的值. 【答案】(1) (2) 【分析】(1)根据正弦函数的单调性即可得解; (2)根据 结合诱导公式及二倍角的余弦公式计算即可. 【详解】(1)令 , 解得 , 则 的单调递增区间是 ; 学科网(北京)股份有限公司(2)因为 ,即 ,所以 , 则 . 7.(23-24高一上·广东广州·期末)已知角 是第二象限角,它的终边与单位圆交于点 . (1)若 ,求 的值: (2)若 ,求 的值. 【答案】(1) (2) 【分析】(1)根据条件,先求出 , 的值,再用诱导公式化简,代入求值; (2)利用 求值. 【详解】(1)因为角 为第二象限角, 为其终边和单位圆交点,且 ,所以 , . 由诱导公式得:原式 . 学科网(北京)股份有限公司(2)因为角 为第二象限角,且 ,所以 为第一象限角,且 . 所以 . 即 . 8.(23-24高一上·河南新乡·期末)已知函数 . (1)将 化为 的形式; (2)若 ,求 的值. 【答案】(1) (2) 【分析】(1)利用二倍角公式及辅助角公式即可求解. (2)先根据 求出 ;再结合 ,利用平方关系求出 ; 最后利用两角差的余弦公式即可求解. 【详解】(1)因为 学科网(北京)股份有限公司. (2)由 ,得 ,则 . 因为 , 所以 , 所以 . 所以 . 9.(23-24高一上·河北邯郸·期末)已知函数 ( )的 最小正周期为 . (1)求 ; (2)已知 , ,求 . 【答案】(1) (2) 学科网(北京)股份有限公司【分析】(1)根据三角恒等变换的公式,化简得到 ,再结合三角函数的性 质,即可求解; (2)根据题意,求得 ,进而得到 ,结合两角和的余弦公式,即 可求解. 【详解】(1)由函数 , 因为 ,函数 的最小正周期 ,可得 , 所以 . (2)由 ,可得 , 因为 ,所以 ,所以 , 所以 , 所以 . 10.(23-24高一上·河南三门峡·期末)已知函数 . (1)求 在 上的单调递减区间; 学科网(北京)股份有限公司(2)若 , ,求 的值. 【答案】(1) (2) 【分析】(1)化简 的解析式,然后利用整体代入法求得 在 上的单调递减区间; (2)先求得 ,然后利用三角恒等变换的知识求得 的值. 【详解】(1) , 由 , ,解得 , , 又 , 函数 在 上的单调递减区间为 . (2)由(1)知 , 又 , , , , , , . 学科网(北京)股份有限公司. 11.(23-24高一上·浙江金华·期末)已知函数 . (1)求函数 的最小正周期与对称轴方程; (2)当 且 时,求 的值. 【答案】(1)最小正周期为 ,对称轴方程为 (2) 【分析】(1)利用三角恒等化简函数 的解析式,利用正弦型函数的周期公式可得出函数 的最小正周期,利用正弦型函数的对称性可得出函数 的对称轴方程; (2)由已知条件可求出 的值,利用同角三角函数的基本关系求出 的值,再 利用两角和的正弦公式可求得 的值. 【详解】(1)解:由题设有 , 所以,函数 的最小正周期是 , 由 ,可得 , 所以,函数 的对称轴方程为 . (2)解:由 得 ,即 , 学科网(北京)股份有限公司因为 ,所以 . 若 ,则 与 ,矛盾 则 . 从而 . 于是 . 12.(23-24高一上·安徽六安·期末)已知函数 . (1)求函数 的单调递增区间; (2)若 ,且 ,求 的值. 【答案】(1) (2) 【分析】(1)利用三角函数诱导公式及二倍角公式并结合辅助角对函数 化简得 学科网(北京)股份有限公司,再利用整体代换法即可求解单调递增区间,从而可求解. (2)由(1)可得 ,由 可得 ,又因为 ,从而可求解. 【详解】(1)由 , 当 , , 即 , 时 单调递增, 所以 的单调递增区间为 . (2)由 ,即 , 又因为 ,所以 ,所以 , 所以 , 故 . 学科网(北京)股份有限公司三角变换的实际应用(共6题) 1.(21-22高一上·山东菏泽·期末)如图,扇形 半径为1,圆心角为 ,过扇形弧上点 分别 向 , 作垂线,垂足为 , ,得到 ,当点 (与 , 不重合)在扇形弧上从 到 运动时. (1) 的面积是如何变化的? (2)求 面积的最大值. 【答案】(1)点C从点A运动到弧AB的中点时,△CDE的面积越来越大,点C从弧AB的中点运动到 点B时,△CDE的面积越来越小; (2) . 【分析】(1)作 于F,记 ,则 ,然后 算出各个三角形的面积,进而通过三角恒等变换与三角函数的图象和性质求得答案; (2)由(1)即可求得答案. 【详解】(1)如图,作 于F,记 ,则 . 在 中, ,则 , 学科网(北京)股份有限公司在 中, ,则 , 在 中, ,则 , 所以, . 由 ,由 .于是,点C从点A运动到弧AB的中点 时, 的面积越来越大,点C从弧AB的中点运动到点B时, 的面积越来越小. (2)由(1),当点A位于弧AB的中点,即 时, 的面积有最大值,最大值为: . 2.(21-22高一上·山西晋中·期末)如图,已知面积为 的扇形 ,半径为 , 是弧 上任 意一点,作矩形 内接于该扇形. 学科网(北京)股份有限公司(1)求扇形圆心角 的大小; (2)点 在什么位置时,矩形 的面积最大?并说明理由. 【答案】(1) ; (2)点 是弧 的中点时,矩形 的面积最大,最大为 . 【分析】(1)利用扇形的面积公式可求得 的大小; (2)连接 ,设 ,将 、 用 的代数式表示,利用三角恒等变换化 简矩形 面积的表达式,利用正弦型函数的有界性可求得矩形 面积的最大值及其对应 的 值,即可得出结论. 【详解】(1)解:设 ,根据扇形的面积公式可得 ,得 . (2)解:连接 ,设 ,则 , , 在 中, ,则 , 于是矩形 的面积 , 由于 ,则 , 学科网(北京)股份有限公司当 ,即当 时,矩形 的面积最大,最大为 ,此时点 是弧 的中点. 因此,当点 是弧 的中点时,矩形 的面积最大,最大为 . 3.(22-23高一上·广东东莞·期末)如图,已知一块足球场地的球门 宽 米,底线 上有一 点 ,且 长 米.现有球员带球沿垂直于底线的线路 向底线 直线运球,假设球员射门时 足球运动线路均为直线. (1)当球员运动到距离点 为 米的点 时,求该球员射门角度 的正切值; (2)若该球员将球直接带到点 ,然后选择沿其左后 方向(即 )的线路 将球回传 给点 处的队友.已知 长 米,若该队友沿着线路 向点 直线运球,并计划在线路 上 选择某个位置 进行射门,求 的长度多大时,射门角度 最大. 【答案】(1) (2) 米 【分析】(1)求出 、 的值,利用两角差的正切公式可求得 的值; (2)作 ,垂足为 ,设 ,计算出 、 ,利用两角 差的正切公式可得出 关于 的表达式,利用基本不等式求出 的最大值,利用 等号成立的条件求出 的值,即可得出结论. 【详解】(1)解:由题知 , , ,则 , 在 中, , 学科网(北京)股份有限公司在 中, , 所以 . (2)解:如图,作 ,垂足为 , 设 ,则 , , 因为 ,所以 , , 在 中, , 在 中, , 所以 , 学科网(北京)股份有限公司当且仅当 即 时, 最大, 所以当 米时,射门角度 最大. 4.(22-23高一上·河北唐山·期末)如图,长方形ABCD, , , 的直角 顶点P为AD中点,点M、N分别在边AB,CD上,令 . (1)当 时,求梯形BCNM的面积S; (2)求 的周长l的最小值,并求此时角 的值. 【答案】(1) (2)当 时, . 【分析】(1)在 中,由直角三角形的边角关系得出 ,进而得出梯形BCNM 的面积S; (2)由直角三角形的边角关系以及勾股定理得出 ,再由换元法结合正弦函数 的性质求解即可. 【详解】(1) 学科网(北京)股份有限公司, , (2)由(1)可知, , , 令 ,则 ,即 当 ,即 时, . 5.(23-24高一上·浙江宁波·期末)函数 ,最大值为 , 最小值为 . (1)设 ,求 ; (2)设 ,若 对 恒成立,求 的取值范围. 【答案】(1) (2) 学科网(北京)股份有限公司【分析】(1)用换元法转化成二次函数的值域问题求解. (2)把问题转化成 , 恒成立,再化为最值问题,讨论求解. 【详解】(1) , 设 ,则 , . 则 . 当 时,函数 在 上递减,在 上递增. 此时 , , ; 当 时,函数 在 上递减,在 上递增. 此时 , , ; 当 时,函数 在 上递减,在 上递增. 此时 , , ; 当 时,函数 在 上递减,在 上递增. 此时 , , . 综上: . (2) 恒成立可化为 , 恒成立. ①当 时, , , 所以 且 , 解得: ; 学科网(北京)股份有限公司②当 时, , , 故 且 解得: ; ③当 时, , , 故 且 , 解得: ; 当 时, , , 故 且 , 解得: 综上所述: . 【点睛】方法点睛:先利用换元法,把问题转化成为二次函数的值域问题是突破口,再者,该题考 查了函数的最值,恒成立问题的处理方法,特别是讨论比较复杂,一定要认真仔细. 6.(23-24高一上·广东惠州·期末)某养殖公司有一处矩形养殖池ABCD,如图所示,AB=50米, BC= 米.为了便于冬天给养殖池内的水加温,该公司计划在养殖池内铺设三条加温带OE,EF 和OF,考虑到整体规划,要求O是边AB的中点,点E在边BC上,点F在边AD上,且∠EOF= . (1)设∠BOE= ,试将△OEF的周长 表示为 的函数,并求出此函数的定义域; (2)在(1)的条件下,为增加夜间水下照明亮度,决定在两条加温带OE和OF上安装智能照明装 置,经核算,在两条加温带增加智能照明装置的费用均为每米400元,问:如何设计才能使安装智 能照明装置的费用最低?说明理由,并求出最低费用. 学科网(北京)股份有限公司【答案】(1) , (2)当 米时,此时照明装置的费用最低,且最低费用为 元 【分析】(1)根据三角函数定义以及勾股定理表示出 的三边,由此可得 关于 的函数,结 合 的极限位置可知定义域; (2)先表示出 ,然后通过三角换元,令 ,由此可得 关于 的函数, 利用函数单调性求解出 的最小值,则结果可知. 【详解】(1)因为 ,所以 , 当 在点 时,此时 最小,又 ,所以 ,所以 , 当 在 点时,此时 最大,又 ,所以 , 由上可知, ; 因为 ,所以 , 又因为 ,且 , 所以 , 所以 , 所以 ,定义域为 ; (2)据题意可知:要使照明装置的费用最低,只需 最小即可, 由(1)可知: 且 , 设 ,且 ,所以 , 所以 , 学科网(北京)股份有限公司又因为 ,且 , 且 , , 所以 , 令 ,因为 均在 上单调递增, 所以 在 上单调递增, 所以 ,即 , 所以 的最小值为 ,此时 ,所以 ,所以 , 综上所述,当 米时,此时照明装置的费用最低,且最低费用为 元. 【点睛】关键点点睛:本题考查利用三角函数解决实际问题,其中涉及到三角函数定义、三角恒等 变换以及根据函数单调性求最值等问题,难度较大.解答本题第二问的关键:通过三角换元,将复 杂的三角函数问题转化为分析函数单调性求最值. 三角函数的应用(共16题) 一、多选题 1.(23-24高一上·陕西西安·期末)如图,天津永乐摩天轮有着“天津之眼”的美誉,也是世界上 唯一一座建在桥上的摩天轮.以摩天轮某座舱 距离地面高度的最小值处为初始位置,摩天轮(匀 速转动)的转动时间 (单位:分钟)与座舱 距离地面的高度 (单位:米)的函数关系式为 , , ,且开始转动5分钟后,座舱 距离地面的高度为37.5米, 学科网(北京)股份有限公司转动10分钟后,座舱 距离地面的高度为92.5米,则( ) A. B.该摩天轮转动一圈所用的时间为30分钟 C. D.该摩天轮座舱 距离地面的最大高度为120米 【答案】BCD 【分析】由 即可求出 ,结合周期,即可求解. 【详解】依题知 ,则 , 因为 ,所以 ,A错误; 由 ,则周期为 , 则该摩天轮转动一周需30分钟,B正确; ,由 , 可得 ,故座舱 距离地面的最大高度为 ,CD正确. 故选:BCD 2.(23-24高一上·吉林·期末)海水受日月的引力,在一定的时候发生涨落的现象叫潮.一般地, 早潮叫潮,晚潮叫汐.在通常情况下,船在涨潮时驶进航道,靠近码头;卸货后,在落潮时返回海 洋.已知某港口水深 (单位: )与时间 (单位: )从 时的关系可近似地用函数 学科网(北京)股份有限公司来表示,函数 的图象如图所示,则( ) A. B.函数 的图象关于点 对称 C.当 时,水深度达到 D.已知函数 的定义域为 , 有 个零点 ,则 【答案】ACD 【分析】根据图象的最值求出 ,再根据图象得到其周期则得到 ,代入最高点求出 ,则得到 三角函数解析式,则判断A,再结合其对称性即可判断B,代入计算即可判断C,利用整体法和其 对称性即可判断D. 【详解】对A,由图知 , , , ; 的最小正周期 , ; , ,解得: , 又 , , ,故A正确; 对B,令 , ,解得 , ,当 时, , 则 ,则函数 的图象关于点 对称,故B错误; 对C, ,故C正确; 学科网(北京)股份有限公司对D, ,则 ,令 , 则 ,令 ,则根据图象知两零点 关于直线 , 则 ,即 ,则 ,则 ,故D正确. 故选:ACD. 【点睛】关键点睛:本题的关键是利用三角函数模型结合图象求出其解析式,再根据其对称性等性 质逐项分析即可. 二、填空题 3.(23-24高一上·广东广州·期末)立德学校为了表彰在体育运动会上表现优秀的班级,特制作了 一批奖杯,奖杯的剖面图形如图所示,其中扇形 的半径为10, , ,则 .(用 表示), 据调研发现,当 最长时,该奖杯比较美观,此时 的值为 . 【答案】 【分析】作 交 于 ,交 于 ,由垂径定理可得 , ,再 作 交 于 , 交 于 ,设 ,解三角形即可求出 ;由勾股定理可求出 ,即可知 时, 最 大. 【详解】作 交 于 ,交 于 ,且 , 则 ,则 , . 学科网(北京)股份有限公司设 ,作 交 于 , 交 于 , 因为 ,所以 , , ,所以 , 所以 ,即 . 所以 , 所以 , 因为 ,所以当 ,即 时, 最大, 故答案为: ; . 4.(23-24高一上·湖南衡阳·期末)如图,某学校有一块扇形空地,半径为10m,圆心角为 ,现 学校欲在其中修建一个矩形劳动基地,矩形的一边AB在扇形的一条半径上,另一边的两个端点 C,D分别在弧和另一条半径上,则劳动基地的最大面积是 . 学科网(北京)股份有限公司【答案】 / 【分析】由图得到 ,进而得到 ,得到矩形 的面积 ,再利用三角函数的性质求解. 【详解】由已知:设 , 则 , 则 , 所以矩形 的面积为: , , , , , 学科网(北京)股份有限公司, 当 ,即 ,矩形面积取得最大值为 . 故答案为: 5.(23-24高一上·河北邯郸·期末)某市规划局计划对一个扇形公园进行改造,经过对公园AOB区 域(如图所示)测量得知,其半径为2km,圆心角为 ,规划局工作人员在 上取一点C,作 CD∥OA,交线段OB于点D,作CE⊥OA,垂足为E,形成三角形CDE健步跑道,则跑道CD长度 的最大值为 km. 【答案】 【分析】过点O作CD的垂线,连接OC,设 ,分别求得 , ,且 ,求得 ,结合三角函数的性 质,即可求解. 【详解】如图所示,过点O作CD的垂线,垂足为F,连接OC, 设 ( ),则 , , 又 , 所以 , 学科网(北京)股份有限公司因为 ,所以 ,当 ,即 时,CD取到最大值 . 故答案为: . 三、解答题 6.(23-24高一下·内蒙古赤峰·期末)如图,已知 是半径为2,圆心角为 的扇形, 是扇形 弧上的动点, 是扇形的内接矩形.记 . (1)用 分别表示 的长度: (2)当 为何值时,矩形 的面积最大?并求出这个最大面积. 【答案】(1) , ; (2) 时, . 【分析】(1)分别在 中,根据三角函数定义可得; (2)根据(1)中结论表示出面积,利用三角恒等变换公式化简,然后由正弦函数性质可得. 【详解】(1)在直角三角形 中, , , 学科网(北京)股份有限公司在直角三角形 中, ,所以 , 所以 (2)设矩形 的面积为 , 所以 , 因为 ,所以 所以当 ,即 时, 7.(23-24高一上·浙江杭州·期末)如图所示,有一条“ ”形河道,其中上方河道宽 ,右侧 河道宽 ,河道均足够长.现过点 修建一条栈道 ,开辟出直角三角形区域(图中 ) 养殖观赏鱼,且 .点 在线段 上,且 .线段 将养殖区域分为两 部分,其中 上方养殖金鱼, 下方养殖锦鲤. 学科网(北京)股份有限公司(1)养殖区域面积最小时,求 值,并求出最小面积; (2)若游客可以在栈道 上投喂金鱼,在河岸 与栈道 上投喂锦鲤,且希望投喂锦鲤的道路 长度不小于投喂金鱼的道路长度,求 的取值范围. 【答案】(1) , (2) 【分析】(1)求出养殖观赏鱼的面积 ,再由基本不等式求解; (2)由题意 ,则 即可求解. 【详解】(1)过 作 , 垂直于 , ,垂足分别为 , , 则 , , , , 养殖观赏鱼的面积 , 学科网(北京)股份有限公司由 可得 ,则 ,当且仅当 即 时取等号,故 时, 最小 . (2)由 ,可得 , 则 , , ,由题意 , 则 , 则 ,结合 ,则 . 8.(23-24高一上·浙江温州·期末)下表是 地一天从 时的 部分时刻与温度变化的关系的预 报,现选用一个函数 来近似描述温度与时刻的关系. 时刻/h 2 6 10 14 18 温度/℃ 20 10 20 30 20 (1)写出函数 的解析式: (2)若另一个 地区这一天的气温变化曲线也近似满足函数 且气温变化也是从 到 , 只不过最高气温都比 地区早2个小时,求同一时刻, 地与 地的温差的最大值. 学科网(北京)股份有限公司【答案】(1) (2) 【分析】(1)由表中数据发现温度跌宕起伏,且呈现一定规律(周期),由此联想到三角函数 ,由 以及 ,即可求得 ,最后代入 一个点即可得 . (2)由题意可得 ,两函数作差,结合两角和的正弦以及辅助角 公式即可得解. 【详解】(1)由题意不妨设 , 可以发现周期 ,解得 , 而 ,解得 , 所以 ,即 ,不妨取 , 所以函数 的解析式为 . (2)设 地区的温度变化函数为 , 令 学科网(北京)股份有限公司,其中 ,不妨设 , 所以 ,等号成立当且仅当 , 即 , 所以只能取 或 满足 地与 地的温差的最大值为 . 9.(23-24高一上·重庆渝中·期末)已知函数 ( )有最大值为2,且相邻的两条对称轴的距离为 (1)求函数 的解析式,并求其对称轴方程; (2)将 向右平移 个单位,再将横坐标伸长为原来的 倍,再将纵坐标扩大为原来的25倍, 再将其向上平移60个单位,得到 ,则可以用函数 模型来模拟某摩 天轮的座舱距离地面高度H随时间t(单位:分钟)变化的情况.已知该摩天轮有24个座舱,游客 在座舱转到离地面最近的位置进仓,若甲、乙已经坐在a,b两个座舱里,且a,b中间隔了3个座 舱,如图所示,在运行一周的过程中,求两人距离地面高度差h关于时间t的函数解析式,并求最 大值. 【答案】(1) , , 学科网(北京)股份有限公司(2) ,50 【分析】(1)由二倍角公式与两角和与差的正弦公式化简得 ,再结 合最值及周期即可得解析式; (2)由正弦型函数的平移变换与伸缩变换得变换后的解析式为 ,则 ,再求最值即可. 【详解】(1) ,所以 , 因为相邻两条对称轴的距离为 ,所以半周期为 , 故 , 令 , (2) 向右平移 得到 ,将横坐标伸长为原来的 倍,得到 , 将纵坐标扩大为原来的25倍,得到 ,再将其向上平移60个单位,得到 游客甲与游客乙中间隔了3个座舱,则相隔了 , 学科网(北京)股份有限公司令 ,则 , 则 , , , ,故 , 当 或 或20时, 10.(21-22高一上·云南昆明·期末)如图,已知直线 ,A是 之间的一定点,并且点A到 ,的距离分别为 和2.B,C分别是直线 上的动点,且 ,设 , . (1)写出关于x的函数解析式 ; (2)求函数 的最小值及相对应的x的值. 【答案】(1) , ; (2) 时, . 【分析】(1)根据给定条件可得 且 ,再借助直角三角形边角关系计算作答. (2)由(1)利用三角恒等变换公式化简函数 ,再借助三角函数的性质计算作答. 【详解】(1)依题意, ,而 , , ,则 学科网(北京)股份有限公司, 由 知,点B,C在直线DE同侧, 均为锐角,则有 , 在 中, ,在 中, ,则 , 所以 , . (2)由(1)得: 因 ,即 ,当 ,即 时, 取最大值1, 所以 . 【点睛】思路点睛:涉及求正(余)型函数在指定区间上的最值问题,根据给定的自变量取值区间求 出相位的范围,再利用正(余)函数性质求解即得. 11.(23-24高一上·甘肃白银·期末)主动降噪耳机工作的原理:先通过微型麦克风采集周围的噪 声,然后降噪芯片生成与噪声振幅相同、相位相反的声波来抵消噪声(如图所示).已知某噪声的声 波曲线 ,其中振幅为 ,且经过点 . 学科网(北京)股份有限公司(1)求该噪声声波曲线 的解析式以及降噪芯片生成的降噪声波曲线 的解析式; (2)求函数 的单调递减区间与图象的对称中心. 【答案】(1) , (2)单调递减区间为 ,对称中心为 【分析】(1)利用函数 的振幅可求得 的值,由 结合 的值,可得出函数 的解析式,再利用两个函数的图象关于 轴对称可求得函数 的解析式; (2)求出函数 的解析式,利用余弦型函数的对称性可求得函数 的单调递减区间,利用 余弦型函数的对称性可求得函数 的对称中心坐标. 【详解】(1)解:因为函数 的振幅为 ,且 ,则 ,所以, , 由题意可得 ,可得 , 因为 ,则 ,所以, ,解得 , 所以, . 易知 与 的图象关于 轴对称,所以, . (2)解:由(1)知 , 学科网(北京)股份有限公司, 由 ,可得 , 故函数 的单调递减区间为 . 令 ,可得 , 故函数 的图象的对称中心为 . 12.(23-24高一上·浙江湖州·期末)2023年12月1日,“民族魂·中国梦——阳光下成长”2023 年浙江省中小学生艺术节闭幕式暨颁奖晚会在湖州大剧院举行.为迎接艺术节闭幕式的到来,承办 方计划将场地内一处扇形荒地进行改造.已知该扇形荒地 的半径为20米,圆心角 , 承办方初步计划将其中的 (如下左图,点 位于弧 上, , 分别位于半径 , )区域改造为花卉区,扇形荒地 内其余区域改造为草坪区. (1)承办方进一步计划将 , 设计为观光步道,其宽度忽略不计.若观光步道造价为 元/米,请你设计观光步道的造价预算,确保观光步道最长时仍有资金保障; (2)因某种原因,承办方修改了最初的改造计划,将花卉区设计为矩形 (如下右图,其中 , 位于半径 上, 位于半径 上).为美观起见,承办方最后决定将四边形 设计为正方 形.求此时花卉区 的面积. 【答案】(1) 元 (2) 学科网(北京)股份有限公司【分析】(1)设 ,过点 做 的垂线,求得 , ,结合三角函数的性质,即可求解; (2)由 ,求得 ,得到 ,结合 ,即可求 解. 【详解】(1)解:设 , ,过点 做 的垂线交 于 , 则 , , 所以 , 则 所以预算应该设定为 元. (2)解:由题意得 , , 因为 ,可得 , 则 ,所以 , 所以 . 学科网(北京)股份有限公司13.(23-24高一上·吉林延边·期末)摩天轮是一种大型转轮状的机械建筑设施,游客坐在摩天轮 的座舱里慢慢的往上转,可以从高处俯瞰四周的景色(如图1).某摩天轮的最高点距离地面的高度 为90米,最低点距离地面10米,摩天轮上均匀设置了36个座舱(如图2).开启后摩天轮按逆时 针方向匀速转动,游客在座舱离地面最近时的位置进入座舱,摩天轮转完一周后在相同的位置离开 座舱.摩天轮转一周需要30分钟,当游客甲坐上摩天轮的座舱开始计时. (1)经过 分钟后游客甲距离地面的高度为 米,已知 关于 的函数关系式满足 (其中 ),求摩天轮转动一周的解析式 ; (2)若游客甲乘坐摩天轮转动一周,求经过多长时间,游客距离地面的高度恰好为30米? 【答案】(1) (2) 或 【分析】(1)利用正弦型函数的一般式 结合题意,求出 , , , ,从而得 解; (2)根据(1)求出的表达式,将 化简求得 . 【详解】(1)因为 (其中 , , , 由题意知: , ,故 , , , 又 , , 学科网(北京)股份有限公司, 故解析式为: , , ; (2)令 ,则 ,即 , 因为 , ,则 , 所以 或 ,解得 或 , 故游客甲坐上摩天轮5分钟时和25分钟时,游客距离地面的高度恰好为30米. 14.(23-24高一上·山东济南·期末)如图所示,在等腰直角 中, 为 线段 的中点,点 分别在线段 上运动,且 ,设 . (1)设 ,求 的取值范围及 ; (2)求 面积的最小值. 【答案】(1) (2) 【分析】(1)根据条件得 ,即可得 ,在 中,利 用 即可求出结果; 学科网(北京)股份有限公司(2)根据条件得到 ,再利用基本不等式即可求出结果. 【详解】(1)因为 为等腰直角三角形, 为线段 的中点, 所以 . 因为点 在线段 上运动,所以 , 因为 ,所以 , 所以 . (2)因为 ,所以 , 所以 , 所以 , 当且仅当 时,等号成立, 所以 面积的最小值为 . 15.(23-24高一上·山东青岛·期末)如图,正方形 的边长为 ,点W,E,F,M分别 在边 , , , 上, , , 与 交于点 , ,记 学科网(北京)股份有限公司. (1)记四边形 的面积为 的函数 ,周长为 的函数 , (i)证明: ; (ii)求 的最大值; (2)求四边形 面积的最小值. 【答案】(1)(i)证明见解析;(ii) (2)答案见解析 【分析】(1)(i)根据已知条件求出 , ,结合同角三角函数的平方关系即可求解; (ii)根据(i)的结论及重要不等式即可求解; (2)根据已知条件求出四边形 的面积的表达式,利用换元法及二次函数的性质即可求解. 【详解】(1)(i)由题知: , . 所以 . (ii)由(i)知: , 当 时, 时取等号, 所以 , 故当 时, 的最大值为 . 学科网(北京)股份有限公司(2)因为 . 令 ,所以 , 令 , 对称轴为 ,开口向上,由二次函数的性质知, 若 ,则 在 上单调递减,在 上单调递增, 所以 . 若 ,则 在 上单调递减, 所以 , 综上,当 时,四边形 面积最小值为 ; 当 时,四边形 面积最小值为 . 16.(23-24高一上·福建莆田·期末)在地球公转过程中,太阳直射点的纬度随时间周而复始不断 变化.如图,设地球表面某地正午太阳高度角为 , 为此时太阳直射点的纬度, 为当地的纬度 值,约定北纬为正值,南纬为负值,那么这三个量满足 .某科技小组以某年春分 (太阳直射赤道且随后太阳直射点逐渐北移的时间)为初始时间,则第x天的太阳直射点的纬度y 近似满足 ,初始时间为 ,定义从某年春分到次年春分为一个回归年,一个回归 年以365天计算. (1)求 的值; (2)已知莆田某小区的纬度为 ,该小区内有A,B两幢楼房,A在B的正南方向,国家工程建设 标准用楼间距保障采光权,其中楼间距 前楼高 两楼距,已知A,B间的楼间距 1.34,求一个回 学科网(北京)股份有限公司归年中B楼底层能被正午太阳光照射到的天数.参考数据 【答案】(1) (2)243天 【分析】(1)根据周期公式 计算可得; (2)根据所给公式及数据,解三角不等式计算可得. 【详解】(1)由已知,纬度函数的周期为365, 所以 ; (2)如图所示,当正午太阳光恰好照射到B楼底层时, ,从而 , 要使得能被正午太阳光照射到,则太阳高度角 . 由太阳高度角公式可知 ,解得 , 整理得 , 解得 ,即 , 又 ,从而 ,所以共有243天. 学科网(北京)股份有限公司