当前位置:首页>文档>东北育才学校2025-2026学年高三上学期第一次模拟数学答案_2025年9月_250907辽宁省沈阳市东北育才学校2025-2026学年高三上学期第一次模拟考试(全科)

东北育才学校2025-2026学年高三上学期第一次模拟数学答案_2025年9月_250907辽宁省沈阳市东北育才学校2025-2026学年高三上学期第一次模拟考试(全科)

  • 2026-04-09 19:54:58 2026-02-10 22:24:59

文档预览

东北育才学校2025-2026学年高三上学期第一次模拟数学答案_2025年9月_250907辽宁省沈阳市东北育才学校2025-2026学年高三上学期第一次模拟考试(全科)
东北育才学校2025-2026学年高三上学期第一次模拟数学答案_2025年9月_250907辽宁省沈阳市东北育才学校2025-2026学年高三上学期第一次模拟考试(全科)
东北育才学校2025-2026学年高三上学期第一次模拟数学答案_2025年9月_250907辽宁省沈阳市东北育才学校2025-2026学年高三上学期第一次模拟考试(全科)
东北育才学校2025-2026学年高三上学期第一次模拟数学答案_2025年9月_250907辽宁省沈阳市东北育才学校2025-2026学年高三上学期第一次模拟考试(全科)
东北育才学校2025-2026学年高三上学期第一次模拟数学答案_2025年9月_250907辽宁省沈阳市东北育才学校2025-2026学年高三上学期第一次模拟考试(全科)
东北育才学校2025-2026学年高三上学期第一次模拟数学答案_2025年9月_250907辽宁省沈阳市东北育才学校2025-2026学年高三上学期第一次模拟考试(全科)
东北育才学校2025-2026学年高三上学期第一次模拟数学答案_2025年9月_250907辽宁省沈阳市东北育才学校2025-2026学年高三上学期第一次模拟考试(全科)
东北育才学校2025-2026学年高三上学期第一次模拟数学答案_2025年9月_250907辽宁省沈阳市东北育才学校2025-2026学年高三上学期第一次模拟考试(全科)
东北育才学校2025-2026学年高三上学期第一次模拟数学答案_2025年9月_250907辽宁省沈阳市东北育才学校2025-2026学年高三上学期第一次模拟考试(全科)
东北育才学校2025-2026学年高三上学期第一次模拟数学答案_2025年9月_250907辽宁省沈阳市东北育才学校2025-2026学年高三上学期第一次模拟考试(全科)
东北育才学校2025-2026学年高三上学期第一次模拟数学答案_2025年9月_250907辽宁省沈阳市东北育才学校2025-2026学年高三上学期第一次模拟考试(全科)

文档信息

文档格式
docx
文档大小
0.197 MB
文档页数
7 页
上传时间
2026-02-10 22:24:59

文档内容

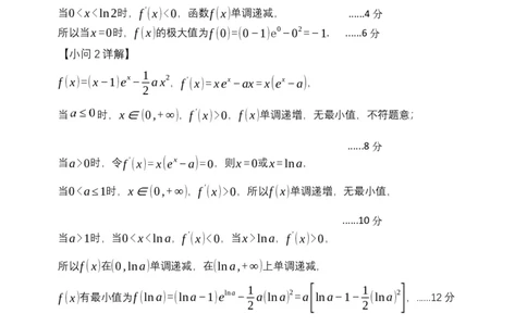
2025—2026 学年度东北育才学校高中 高三年级第一次模拟考试数学科答案 一、选择题:本题共8小题,每小题5分,满分40分.每小题给出的备选答案中,只 有一个是符合题意的. 1. B 2.A 3.C 4. B 5. A 6. D 7. C 8.A 二、选择题:本题共3小题,每小题6分,满分18分.每小题给出的备选答案中,有多 个选项是符合题意的.全部选对得6分,部分选对得部分分,选错或不选得0分. 9. ABC 10. BD 11.BCD. 三、填空题:本题共4小题,每小题5分,共15分. 12. 64 13. 14. ;1(第一个空2分,第二个空3分) 四、解答题 15. 解:【小问1详解】 由 ,则 (n≥2), ......2分 两式左右分别相减得 ,即 . 得 , ......4分 则 , ,…, , , 将以上 个式子相乘得 . ......6分 上式对 仍成立,所以 . ......7分 【小问2详解】 , ......10分 ∴ . 学科网(北京)股份有限公司故命题得证. ......13分 16. 解:【小问1详解】 因为函数 是定义域为 的奇函数, 所以 ,得 , ......2分 又 ,即 ,得 ,......4分 则 ,经检验符合题意. ......5分 【小问2详解】 是 上的减函数. 证明: 函数的定义域 ,在 上任取x ,x ,且x −x <0, 1 2 1 2 ,即 是 上的减函数. ......10分 【小问3详解】 由 在 时恒成立, 因为 是单调递减的奇函数. 所以 ,即 在 时恒成立,......12分 所以 , 又 ,当且仅当 时等号成立 学科网(北京)股份有限公司所以 . ......15分 17. 解:【小问1详解】 当a=2时,f (x)=(x−1)ex−x2, f'(x)=ex+(x−1)ex−2x=xex−2x=x(ex−2), 令f'(x)=0,解得x=0或x=ln2, ......2分 当x<0或x>ln2,f'(x)>0,函数f (x)单调递增; 当00,f (x)单调递增,无最小值,不符题意; ......8分 当a>0时,令f'(x)=x(ex−a)=0,则x=0或x=lna, 当00,所以f (x)单调递增,无最小值, ......10分 当a>1时,当0lna,f'(x)>0, 所以f (x)在(0,lna)单调递减,在(lna,+∞)上单调递减, 1 [ 1 ] f (x)有最小值为f (lna)=(lna−1)elna− a(lna) 2=a lna−1− (lna) 2 ,......12分 2 2 [ 1 ] 1 所以a lna−1− (lna) 2 >−a,即lna−1− (lna) 2>−1, 2 2 1 化简得− (lna) 2+lna>0,即lna(2−lna)>0, 2 解得0