当前位置:首页>文档>哈三中2024-2025学年度上学期高三学年期末考试数学答案_2025年1月_250117黑龙江省哈尔滨市第三中学校2024-2025学年高三上学期期末考试(全科)

哈三中2024-2025学年度上学期高三学年期末考试数学答案_2025年1月_250117黑龙江省哈尔滨市第三中学校2024-2025学年高三上学期期末考试(全科)

  • 2026-04-05 23:32:28 2026-02-11 00:33:14

文档预览

哈三中2024-2025学年度上学期高三学年期末考试数学答案_2025年1月_250117黑龙江省哈尔滨市第三中学校2024-2025学年高三上学期期末考试(全科)
哈三中2024-2025学年度上学期高三学年期末考试数学答案_2025年1月_250117黑龙江省哈尔滨市第三中学校2024-2025学年高三上学期期末考试(全科)

文档信息

文档格式
pdf
文档大小
0.134 MB
文档页数
1 页
上传时间
2026-02-11 00:33:14

文档内容

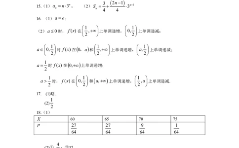
哈三中 学年度上学期 2024-2025 高三学年期末数学答案 1.B 2.A 3.A 4.B 5.C 6.A 7.D 8.B 9.AD 10.ABD 11.ACD 37 π 2 3  12. 13 13. 14. , ,3  2 3  3  3  2n1  15.(1)a n3n; (2)S   3n1 n n 4 4 16. (1)a e; 1   1 (2)a0时, f(x)在 , 上单调递增,0, 上单调递减; 2   2  1 1   1 a 0, 时 f(x)在  0,a  和 ,上单调递增,a, 上单调递减;  2 2   2 1   a 时 f(x)在 0, 上单调递增; 2 1  1 1  a  时, f(x)在0, 和  a, 上单调递增, ,a上单调递减. 2  2 2  17. (1)略. 1 (2) 2 18.(1) X 60 65 70 75 p 27 27 9 1 64 64 64 64 4 (2)① ;②37 9 x2 y2 19.(1)  1 4 3 16 (2)① ;②x1 3 {#{QQABJYaAggCAAhBAARgCAQXwCgCQkBGAASgGRAAUIAAACRNABAA=}#}