当前位置:首页>文档>广东省2025届高三下学期3月综合能力测试(燕博园联考CAT)数学答案_2025年3月_250319广东省2025届高三下学期3月综合能力测试(燕博园联考CAT)

广东省2025届高三下学期3月综合能力测试(燕博园联考CAT)数学答案_2025年3月_250319广东省2025届高三下学期3月综合能力测试(燕博园联考CAT)

  • 2026-03-31 19:48:05 2026-02-11 04:47:08

文档预览

广东省2025届高三下学期3月综合能力测试(燕博园联考CAT)数学答案_2025年3月_250319广东省2025届高三下学期3月综合能力测试(燕博园联考CAT)
广东省2025届高三下学期3月综合能力测试(燕博园联考CAT)数学答案_2025年3月_250319广东省2025届高三下学期3月综合能力测试(燕博园联考CAT)
广东省2025届高三下学期3月综合能力测试(燕博园联考CAT)数学答案_2025年3月_250319广东省2025届高三下学期3月综合能力测试(燕博园联考CAT)
广东省2025届高三下学期3月综合能力测试(燕博园联考CAT)数学答案_2025年3月_250319广东省2025届高三下学期3月综合能力测试(燕博园联考CAT)
广东省2025届高三下学期3月综合能力测试(燕博园联考CAT)数学答案_2025年3月_250319广东省2025届高三下学期3月综合能力测试(燕博园联考CAT)
广东省2025届高三下学期3月综合能力测试(燕博园联考CAT)数学答案_2025年3月_250319广东省2025届高三下学期3月综合能力测试(燕博园联考CAT)
广东省2025届高三下学期3月综合能力测试(燕博园联考CAT)数学答案_2025年3月_250319广东省2025届高三下学期3月综合能力测试(燕博园联考CAT)
广东省2025届高三下学期3月综合能力测试(燕博园联考CAT)数学答案_2025年3月_250319广东省2025届高三下学期3月综合能力测试(燕博园联考CAT)
广东省2025届高三下学期3月综合能力测试(燕博园联考CAT)数学答案_2025年3月_250319广东省2025届高三下学期3月综合能力测试(燕博园联考CAT)
广东省2025届高三下学期3月综合能力测试(燕博园联考CAT)数学答案_2025年3月_250319广东省2025届高三下学期3月综合能力测试(燕博园联考CAT)
广东省2025届高三下学期3月综合能力测试(燕博园联考CAT)数学答案_2025年3月_250319广东省2025届高三下学期3月综合能力测试(燕博园联考CAT)
广东省2025届高三下学期3月综合能力测试(燕博园联考CAT)数学答案_2025年3月_250319广东省2025届高三下学期3月综合能力测试(燕博园联考CAT)
广东省2025届高三下学期3月综合能力测试(燕博园联考CAT)数学答案_2025年3月_250319广东省2025届高三下学期3月综合能力测试(燕博园联考CAT)

文档信息

文档格式
pdf
文档大小
0.509 MB
文档页数
9 页
上传时间
2026-02-11 04:47:08

文档内容

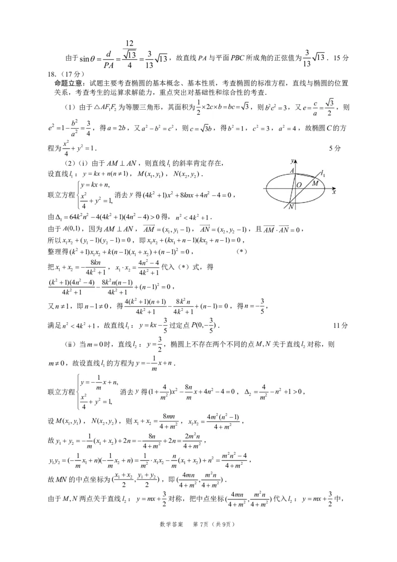
高三年级综合能力测试——数学参考答案(含解析) 一、选择题:本题共8小题,每小题5分,共40分。 题号 1 2 3 4 5 6 7 8 答案 D D C C B D A B 1.命题立意:试题主要考函数的定义域,集合的表示方法以及全集、子集、交集、补集的概念 和运算,考查基本的运算求解能力. 由于集合A{0,1,2,3,4,},B{x|x0或x4},则ð B{x|0x4},A(ð B) {1,2,3}. R R 故选D. 2.命题立意:试题主要考查等差数列的概念、通项公式、基本性质等内容,考查基本的逻辑思维 与推理能力,以及运算求解能力. 在等差数列{a }中,a a a 3a 27,a 9,则2a a a 9.故选D. n 5 7 9 7 7 8 9 7 3.命题立意:试题主要考查一元线性回归模型的含义、参数的统计意义,利用一元线性回归模型 研究变量之间的随机关系并进行预测,考查知识获取能力和逻辑推理能力. 12345 5(7m)8(9m)11 由于x 3,y 8,则线性回归方程必过定点(3,8). 5 5 故选C. 4.命题立意:试题主要考查单位向量概念,直线的斜率,两条直线的位置关系等基本知识,考査 运算求解能力和化归与转化的思想. b1 3 3 4 4 b1 4 由于k  ,x  ,则e( , ),k  ,因为ABl ,则 ( )1,解得 AB 0 l b 5 5 5 3 b 3 4 b 或b4.故选C. 7 5.命题立意:试题主要考查古典概率模型,条件概率的概念和计算,考査考生的计数能力以及 运算求解能力,逻辑推理能力,也考査考生分析问题和解决问题的能力. 1 由已知得P(A) 1 ,P(AB) 1  1  1 ,故P(B|A) P(AB)  25  1 .故选B. 5 5 5 25 P(A) 1 5 5 6.命题立意:试题主要考查直线与抛物线的位置关系、抛物线的基本性质等基础知识,同时也考 查数形结合思想,逻辑推理能力与运算求解的综合能力,体现解析几何的基本思想和基本方法. y 3(x1), 由于F(1,0),直线AB方程为y 3(x1),联立方程 消去y,得3x210x30, y2 4x, 1 4 AF   显然x x ,得x 3,x  , AF  x 14, BF x 1 , 3,AF 3FB, A B A B 3 A B 3 BF 3.故选D. 7.命题立意:试题主要考查考生熟悉的正方体、球等基础知识,考查考生的空间想象,逻辑推 理,运算求解等关键能力,考查考生理性思维,数学探索等数学学科素养,符合基础性, 综合性,创新性的考查要求. 设T是线段MN 的中点,则OT MN ,由勾股定理 MN  MB2 BN2  6 , OM  2 ,球心 6 2 O到MN 距离为 OT  ( 2)2 ( )2  ,当OT 垂直于过MN 的平面时,截得该正方体的 2 2 2 内切球所得截面圆的面积最小,MN 被球截得的弦长为 l 2 R2 OT2 2 1( )2  2 , 2 l 2 1 此时圆的半径就是r  ,面积为S πr2  π.故选A. 2 2 2 8.命题立意:试题主要考查三个数值的大小比较,通过分析数值的共性与特点,作差、变形. 试题重点考查考生分析问题的能力以及对数运算解决问题的能力.试题紧扣课程标准,题目经 典,力图引导教学,符合基础性,综合性,应用性,创新性的考查要求,具有较好的选拔功能. 数学答案 第1页(共9页) {#{QQABYYol4go4wBbACY5KUQGUCgsQsIMhLUoEQRCUqAwKABFABKA=}#}2 2 2 2 由于alog 4log 22  ,又23 32,则233,clog 2log 33  a,即ca. 8 23 3 3 3 3 3 lg 由于bclog 3 log 2 5  lg2  lg3lg5  lg2  lg23lg3lg5lg22lg2lg5 2 5 3 2 lg3 lg2lg5 lg3 (lg2lg5)lg3 5 lg 5 (lg3lg2)lg3lg2lg5  0 , bc ,则 bca .故选B. (lg2lg5)lg3 二、选择题:本题共3小题,每小题6分,共18分。全部选对的得6分,部分选对的得部分分, 有选错的得0分。 题号 9 10 11 答案 ACD BCD AC 9.命题立意:试题主要考查复数的概念,复数的基本运算.试题强调基础,注重对基本概念, 基本思想方法的考查.本题能够稳定考生的紧张情绪,增强考生考试的信心,有利于考生在 考试中正常发挥. 15i (15i)(1i) 15ii5i2 由于z   32i,则z的实部为3,z的虚部为2,不是2i, 1i (1i)(1i) 2 |15i| 12 52 由于|z|   13,zz |z|213, z 32i 在复平面内对应的点(3,2)在第四 |1i| 12 12 象限.故选ACD. 10.命题立意:试题主要考查三角函数图像的识别与基本性质,三角恒等变换等知识,考查考生 的逻辑思维能力和运算求解能力,考查考生理性思维等数学学科索养. 3T 5 2π 3π 2π 5π π 由于A1,  π( ) ,T 2π ,则1, f(x)sin(x),令  , 4 6 3 2  6 2 π π   又 ,得 , f(x)sin(x ),选项A错误;函数 f(x)sin(x )图像上所有点 2 3 3 3 1   的横坐标缩短为原来的 倍,纵坐标不变,得到ysin(2x ),再将所得图像向左平移 个 2 3 6 π π k 单位长度,得到函数g(x)sin2x,令2x kπ,则函数g(x)图像关于直线x  对 2 4 2  称,kZ ,选项B正确;要使函数y f(2x)sin(2x )在区间[0,m]上恰有4个不同零点, 3     5π 13π 由于0 xm, 2x 2m ,则32m 4,m的取值范围为[ , ), 3 3 3 3 3 6 π 1 3 1cos4x 3 选项C正确;y f(2x)g(x)sin(2x )sin2x sin22x sin2xcos2x  sin4x 3 2 2 4 4 1 1 π π π k   sin(4x ),令4x k,kZ ,得x  ,kZ ,函数y f(2x)g(x)的 4 2 6 6 24 4 π 1 图像关于点( , )对称,选项D正确.故选BCD. 24 4 11.命题立意:试题主要考查数列的基本概念、基本思想方法等知识,考查了考生的逻辑思维能 力,运算求解能力和创新能力,考查考生的推理预判,数学应用、探索等数学学科素养. b b b b b b b 由于b ean,则b 0,得 n2  n1 ,故 n2  n1  n  n1  2 . n n b b b b b b b n1 n n1 n n1 n2 1 对于选项A: b b b b b b b b b b 方法1: 8  5 , 7  4 , 6  3 , 5  2 ,将上述不等式累乘得: 8  5 . b b b b b b b b b b 7 4 6 3 5 2 4 1 4 1 b b b b b b b b b 方法2:由 8  7  6  5  4  3  2 得 bb b b bb b b ,即 8  5 成立. b b b b b b b 8 1 2 7 3 6 4 5 b b 7 6 5 4 3 2 1 4 1 故选项A正确. 数学答案 第2页(共9页) {#{QQABYYol4go4wBbACY5KUQGUCgsQsIMhLUoEQRCUqAwKABFABKA=}#}b b b b b b b 对于选项B:由于 n1  n2 ,则 nk  nk1  n1  n2  nk1 ,整理得 b b b b b b b n n1 nk1 nk n n1 nk b b b b , 1k n ,故选项B错误. nk1 nk1 nk nk 对于选项C:由于 b b b b , 1k n ,则 b b b b b b b b , nk1 nk1 nk nk 50 51 49 52 48 53 1 100 则 (b b )50 bbbb b b T 1 ,得 b b 1 ,故选项C正确. 50 51 1 2 3 4 99 100 100 50 51 对于选项D:由 2a a a ,则 a a a a , n1 n n2 n2 n1 n1 n a a a a , a a a a , a a a a ,…, 2025 2024 9 8 2024 2023 9 8 2023 2022 9 8 a a a a ,将以上式子累加得: a a 2017 a a ) , ( 9 8 9 8 2025 8 9 8 另外, a a a a , a a a a ,…, a a a a , 9 8 8 7 9 8 7 6 9 8 2 1 ① 将以上式子累加得: 7(a a )a a , 9 8 8 1 a a a a 2025a a 1 结合 式得: 2025 8 a a  8 1 , ②8  8 ,得: a 8 , 2017 9 8 7 2017 7 8 显然①a ②n 符合题意,此时 a 8 ,综上所述,∴a 的最大值为 8 .故选项D错误.故选AC. n 8 8 三、填空题:本题共3小题,每小题5分,共15分。 题号 12 13 14 答案 240 3 [2,1] 12.命题立意:试题主要考查二项式定理以及应用二项展开式解决与展开式系数有关问题的能力, 考查运算求解能力. 由于2n 64,则n6,二项式(x 2 )6的通项为:T Crx6r( 2 )r (2)rCrx 6 3 2 r , r1 6 6 x x 3 r 0,1,2,,6,令6 r 0,得r 4,故常数项是(2)4C4 1615240. 2 6 13.命题立意:试题主要考查学生直线与双曲线的位置关系,双曲线的基本概念等知识,考查学生 直观想象能力和运算求解能力.考查学生数形结合思想方法的掌握. b2 设双曲线焦距为2c,则F(c,0),B(c, b2 ),A(a,0),e2,则k  a  b2  c2 a2 a AB ca a(ca) a(ca) ca  e13. a 14.命题立意:试题主要考查基本初等函数的求导公式及求导法则,考查对函数单调性的理解与 掌握,函数的基本性质,以及综合运用所学知识分析问题,解决问题的能力,同时也考查数学 思维的严谨性. ex 1 由于g(x) f(x) ex ex ex ex  ,g(x) g(x),则g(x)为偶函 (ex 1)2 ex ex 2 数,函数g(x)在区间(,0)上单调递减,在区间(0,)上单调递增,又g(xa) g(2x), 则问题转化为不等式|xa||2x|对任意x(,2)(1,)恒成立,故不等式3x2 2axa2 0 h(2)0, 2a6, 对任意x(,2)(1,)恒成立,构造函数h(x)3x22axa2,只要 得 h(1)0, 3a1, 故实数a的取值范围是2a1. 四、解答题:本题共5小题,共77分。 15.(13分) 命题立意:试题主要考查函数的导数及其应用等基础知识.考查基本求导公式及求导法则, 曲线的切线方程,函数的极值,考査利用导数判断函数单调性的方法;考查灵活运用导数工具 去分析,解决问题的能力;综合考查考生的逻辑推理能力,运算求解能力,推理论证能力. 1 (1)由于 f(x) xlnx定义域为(0,), f(x)lnxx 1lnx, f(e)e, f(e)2, x 数学答案 第3页(共9页) {#{QQABYYol4go4wBbACY5KUQGUCgsQsIMhLUoEQRCUqAwKABFABKA=}#}故曲线y  f(x)在点(e,e)处的切线方程为:ye2(xe) ,即2x ye0 . 4分 1 1 1 (2)令 f(x)0,则0x ,令 f(x)0,则x ,则函数 f(x)在区间(0, )上单调 e e e 1 1 1 递减,在区间( ,)上单调递增.故函数 f(x)的极小值为 f( ) ,无极大值. 7分 e e e 1 (3)由于函数h(x)xlnxex 1,令g(x)h(x)lnx1ex(x0),则g(x) ex在 x 1 1 区间(0,)上单调递减,且g( )2 e 0,g(1)1e0,故x ( ,1),使 2 0 2 1 g(x ) ex0 0,即lnx x , 9分 0 x 0 0 0 当x(0,x )时,g(x )0,当x(x ,)时,g(x )0, 0 0 0 0 故h(x)在(0,x )上递增,在(x ,)上递减. 11分 0 0 1 1 1 故h(x)h(x )lnx 1ex0 (x  )12 x  11 0,当且仅当x  , 0 0 0 x 0 x 0 x 0 0 0 即x 1时,等号成立,显然,等号不成立,故h(x)0, 0 故h(x)在(0,)上是减函数. 13分 16.(15分) 命题立意:试题主要考查正弦定理、余弦定理、三角恒等变形和三角形的内角和等基础知识; 通过求解三角形来考查学生的逻辑推理,直观想象和运算求解等核心素养以及函数与方程, 化归与转化等数学思想. (1)在△ABC中,ACπB,sin(AC)sinB. sinC sinA sinC 由2btanC c(tanAtanC)及正弦定理得,2sinB sinC(  ), cosC cosA cosC sinC sinAcosCcosAsinC sin(AC) sinB 整理得2sinB sinC( ) sinC sinC . cosC cosAcosC cosAcosC cosAcosC 1 π 由于sinB0,sinC0,则cosA .又0Aπ,故A . 5分 2 3 5π AB AC (2)(ⅰ)如图1,在△ABC中,ACB ,由正弦定理得,  , 12 sinACB sinABC 4 AC 即  ,得b AC4( 31). 9分 6 2 2 4 2 π 2 (ⅱ)由于PDBPEB ,则DPE 与B互补,故cosDPE cosB . 11分 2 2 方法1:单变量法 设ADx,则PA2x,PD 3x,PC4( 31)2x, 6 2 PE PCsinC 2 2 x ,则 2 6 2 6 2 2 DE2 PD2 PE2 2PDPEcosDPE 3x2 (2 2 x)2 2 3x(2 2 x) 2 2 2 2x2 4x82(x1)2 6. 当x1时,DE 取得最小值为 6. 15分 方法2:四点共圆 如图1,由PD  AB,PE AC,故P,E,B,D四点共圆,且BP为该圆直径. π 2 由正弦定理得DE BPsin  BP ,故求DE 的最小值等价于求BP的最小值.当BP AC时, 4 2 数学答案 第4页(共9页) {#{QQABYYol4go4wBbACY5KUQGUCgsQsIMhLUoEQRCUqAwKABFABKA=}#}π 2 BP最小,此时BP ABsinBAC4sin 2 3,DE  2 3 6,故DE 取得最小值为 3 2 6. 15分 C E P B D A 图1 图2 方法3:建系坐标法 以AB 的中点O为坐标原点,AB 所在直线为x轴建立平面直角坐标系,如图2,则A(2,0), B(2,0),直线BC:y  x2,直线AC:y 3(x2).设D(t,0),则P(t, 3(t2)), 直线PE :y(xt) 3(t2). y(xt) 3(t 2), 1 3 1 3 联立方程 得E( t 31, t 31), 13分 yx2, 2 2 1 3 1 3 DE2 ( t 31)2 ( t 31)2 2t2 4t82(t1)2 6. 2 2 当t 1时,DE 取得最小值为 6. 15分 17.(15分) 命题立意:试题主要考查对简单几何体的认识,考查直线与直线、直线与平面、平面与平面的 位置关系,考查二面角、直线与平面所成角、空间直角坐标系,考査考生的推理论证能力,空间 想象能力和运算求解能力,重点突出对基础性和综合性的考査. (1)在Rt△ABC中,AB  BC 4,则AC 4 2. 取AC 的中点H,连接BH ,PH ,则BH  AC. 在△PAC中,PA PC 4,AC 4 2,则APC 90, △PAC是以APC为直角的等腰三角形,故PH  AC. 3分 方法1: 在△PHB中,PH  HB2 2 ,PB4,则PHB 90. 由于PH HB,PH  AC,HB  AC  H ,则PH 平面ABC. 又PH 平面PAC,故平面PAC平面ABC. 7分 方法2: 由于PH  AC,BH  AC,则PHB是二面角P ACB的平面角. 在△PHB中,PH  HB2 2 ,PB4,则PHB 90. 故二面角P ACB为直二面角,即平面PAC平面ABC. 7分 数学答案 第5页(共9页) {#{QQABYYol4go4wBbACY5KUQGUCgsQsIMhLUoEQRCUqAwKABFABKA=}#}(2)方法1:以B为坐标原点,以BC ,BA所在直线为x轴、y轴,建立如图所示的空间直 角坐标系,则B(0,0,0),C(4,0,0),A(0,4,0). 9分 π 由于△PAB是边长为4的等边三角形,二面角PABC的平面角为 ,则P( 3,2,3). 3 设直线PA与平面PBC所成角为,设平面PBC的一个法向量为n(x,y,z).    由于AP( 3,2,3),BC (4,0,0),BP( 3,2,3),   BCn0, 4x 0, 由 得 取z 2,则n(0,3,2). 13分 BPn0  3x2y3z 0,  |PAn| 066 3 由于sin    13 ,故直线PA与平面PBC所成角的正弦值为 |PA||n| 4 13 13 3 13. 15分 13 方法2:作PH 平面ABC于H,由于AB平面ABC,则PH  AB. 取AB 的中点为O,连接OP ,OH . 在等边△PAB中,AB OP,则OH  AB(三垂线定理的逆定理),则POH 就是二面角  PABC的平面角,即POH  . 9分 3 1 在△POH 中,PO2 3,OH  3 2 BC,则H在△ABC 内. 2 作HN  BC于N ,连PN ,则PN  BC (三垂线定理). 设直线PA与平面PBC所成角为,设点A到平面PBC的距离为d. 1 1 由于HN OB 2,PN  22 32  13,V V ,则 ( 44)3 PABC APBC 3 2 1 1 12  ( 4 13)d ,得d  . 13分 3 2 13 数学答案 第6页(共9页) {#{QQABYYol4go4wBbACY5KUQGUCgsQsIMhLUoEQRCUqAwKABFABKA=}#}12 d 13 3 3 由于sin   13,故直线PA与平面PBC所成角的正弦值为 13.15分 PA 4 13 13 18.(17分) 命题立意:试题主要考查椭圆的基本概念、基本性质,考査椭圆的标准方程,直线与椭圆的位置 关系,考查考生的运算求解能力,重点突出对基础性和综合性的考査. 1 c 3 (1)由于△AFF 为等腰三角形,其面积为 2cbbc 3,则b2c2 3,又e  ,则 1 2 2 a 2 b2 3 e2 1  ,得a2b,又a2 b2 c2,则 c 3b ,得b2 1,c2 3,a2 4,故椭圆C的方 a2 4 x2 程为  y2 1. 5分 4 (2)(ⅰ)由于AM AN ,则直线l 的斜率肯定存在, 1 设直线l :ykxn(n1),M(x,y ),N(x ,y ). 1 1 1 2 2 ykxn,  联立方程x2 消去y得(4k2 1)x2 8knx4n2 40,   y2 1,  4 由Δ 64k2n2 4(4k2 1)(4n2 4)0得,n2 4k2 1. 1     由于A(0,1),因为AM AN ,AM (x,y 1),AN (x ,y 1),且 AM AN 0 , 1 1 2 2 所以xx (y 1)(y 1)0,即xx (kx n1)(kx n1)0, 1 2 1 2 1 2 1 2 整理得(k2 1)xx k(n1)(x x )(n1)2 0, (*) 1 2 1 2 8kn 4n2 4 把x x  ,x x  代入(*)式,得 1 2 4k2 1 1 2 4k2 1 (k2 1)(4n2 4) 8k2n(n1)  (n1)2 0, 4k2 1 4k2 1 4(k2 1)(n1) 8k2n 3 又n1,即n10,得  (n1)0,得n , 4k2 1 4k2 1 5 3 3 满足n2 4k2 1,故直线l :ykx 过定点P(0, ). 11分 1 5 5 3 (ⅱ)当m0时,直线l :y ,椭圆上不存在两个不同的点M,N 关于直线l 对称,则 2 2 2 1 m0,故设直线l 的方程为y xn. 1 m  1 y xn,   m 4 8n 4 联立方程 消去y得(1 )x2  x4n2 40,  n2 10, x2  y2 1, m2 m 2 m2  4 8mn 4m2(n2 1) 设M(x ,y ),N(x ,y ),则x x  ,xx  , 1 1 2 2 1 2 4m2 1 2 4m2 1 8n 2m2n 故y  y  (x x )2n 2n , 1 2 m 1 2 4m2 4m2 1 1 1 n m2n2 4 y y ( x n)( x n) xx  (x x )n2  , 1 2 m 1 m 2 m2 1 2 m 1 2 4m2 x x y  y 4mn m2n 故MN 的中点坐标为( 1 2, 1 2),即( , ). 2 2 4m2 4m2 3 4mn m2n 3 由于M,N 两点关于直线l :ymx 对称,把中点坐标( , )代入l :ymx 中, 2 2 4m2 4m2 2 2 数学答案 第7页(共9页) {#{QQABYYol4go4wBbACY5KUQGUCgsQsIMhLUoEQRCUqAwKABFABKA=}#}m2n 4mn 3 4m2 得: m  ,即n . 4m2 4m2 2 2m2 4m2(n2 1) m2n2 4 由OM ON 得,xx  y y 0,则  0,即5m2n2 4m2 40, 1 2 1 2 4m2 4m2 4m2 20 把n 代入5m2n2 4m2 40,得11m4 24m2 800,得m2 4或m2  (舍), 2m2 11 4m2 4 当m2 4时,n 1,满足 n2 10,故m2. 17分 2m2 m2 19.(17分) 命题立意:试题主要考查元素、集合、子集、绝对值运算等基础知识;考查学生的逻辑思维, 运算求解,独立思考和创新应用等能力,同时重点考查学生应用所学知识分析问题,解决问题 的能力;重点考查从特殊到一般,转化与化归,分类讨论等数学思想与方法. (1)(1,4,1)的“相邻元”为:2,4,1,1,5,1,1,4,2. 3分 (2)因为m2,所以C 1,2,4,5. 设Ax ,x ,,x ,x 1,2,4,5 ,显然A中每一个元素恰有9个“相邻元”. 1 2 9 i 设U {u|u(1,1,u ,,u ),u {1,2,4,5}},构造BðU ,则集合B中的元素个数为 49 47. 3 9 i A 对集合B中的任意元素b(b,b ,,b ),在集合U 中至多存在一个u(1,1,u ,,u ), 1 2 9 3 9 满足 b 1 b 1 b u  b u 1,从而b(b,b ,,b )在集合B中至少有8个“相邻元”, 1 2 3 3 9 9 1 2 n 所以49 47是“好数”. 9分 (3)设C {x|x3k2,kN*,且k m},C {x|x3k1,kN*,且km}. 1 2 ①当n2025时, 集合A{|(x,x ,,x ),x C,i1,2,3,,2025}中的每一个元素均有2025个“相邻元”. 1 2 n i 设B d3 {|(x 1 ,x 2 ,,x 2025d3 , 1 , 2 ,, d3 ),x t C 1 , t C},则B d3 中含有m2025d3(2m)d3个元素. 设B {|(y,y ,,y ,x,x ,,x ,,,, ),y C ,x C,C},i1,2. di 1 2 2025di1 1 2 di1 di 1 2 di t 2 t 1 t 则B 中含有m2025di(2m)di 个元素,i1,2.并且B ,B ,B 两两交集为空集, di d 1 d 2 d 3 设Q A(B B B ),则Q共有: d1 d2 d3 (2m)2025 (m2025d1(2m)d1 m2025d2(2m)d2 m2025d3(2m)d3)个元素. ②对于c(c,c ,c ,,c )Q,有c在每一个B (i1,2,3)中,至多有一个“相邻元”. 1 2 3 2025 di 下面证明该结论:设b (s,s ,,s )B ,b (p,p ,,p )B ,且均是C的“相邻元”.由 1 1 2 2025 di 2 1 2 2025 di 于cB ,则c与b ,b 不同元素在前2025d 位,且后d 位相同,即b ,b ,后d 位相同. di 1 2 i i 1 2 i 设c与b 不同位置为m,即s c ;c与b 不同位置为t,即 p c . 1 m m 2 t t 当mt相同时,又C中与c 差为1的只有一个数,则b b . m 1 2 当mt 时, c s  c s  c s  c s 1, 1 1 2 2 2025 2025 m m 数学答案 第8页(共9页) {#{QQABYYol4go4wBbACY5KUQGUCgsQsIMhLUoEQRCUqAwKABFABKA=}#}c  p  c  p  c  p 0或2. 1 1 2 2 2025 2025 所以c在每一个B 中,至多有一个“相邻元”. di ③c不能在B ,B 中均有“相邻元”,1i j3.下面证明该结论: di dj B 元素中第2025d 1,2025d 2,,2025d 都是C 中元素. di i1 i1 i 2 B 中第2025d 1,,2025d 都是C 中元素. dj j1 j 1 故B ,B 中至少有3个元素属于不同的C 和C . di dj 1 2 所以不存在b B ,b B ,均是c的“相邻元”. 1 di 2 dj 由①②③知c在Q中至少有2024个“相邻元”,故: (2m)2025 (m2025d1(2m)d1 m2025d2(2m)d2 m2025d3(2m)d3)是“好数”. 17分 数学答案 第9页(共9页) {#{QQABYYol4go4wBbACY5KUQGUCgsQsIMhLUoEQRCUqAwKABFABKA=}#}