当前位置:首页>文档>数学答案_2025年1月_250119江西智慧上进教育稳派联考2025届高三年级上学期期末教学质量质量检测1月联考(全科)_江西稳派1月期末数学

数学答案_2025年1月_250119江西智慧上进教育稳派联考2025届高三年级上学期期末教学质量质量检测1月联考(全科)_江西稳派1月期末数学

  • 2026-03-25 02:19:07 2026-02-11 06:41:37

文档预览

数学答案_2025年1月_250119江西智慧上进教育稳派联考2025届高三年级上学期期末教学质量质量检测1月联考(全科)_江西稳派1月期末数学
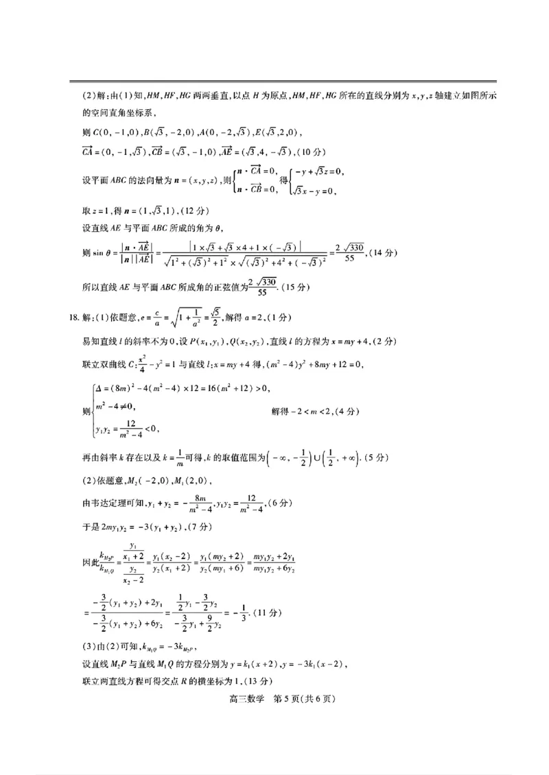
数学答案_2025年1月_250119江西智慧上进教育稳派联考2025届高三年级上学期期末教学质量质量检测1月联考(全科)_江西稳派1月期末数学
数学答案_2025年1月_250119江西智慧上进教育稳派联考2025届高三年级上学期期末教学质量质量检测1月联考(全科)_江西稳派1月期末数学
数学答案_2025年1月_250119江西智慧上进教育稳派联考2025届高三年级上学期期末教学质量质量检测1月联考(全科)_江西稳派1月期末数学
数学答案_2025年1月_250119江西智慧上进教育稳派联考2025届高三年级上学期期末教学质量质量检测1月联考(全科)_江西稳派1月期末数学
数学答案_2025年1月_250119江西智慧上进教育稳派联考2025届高三年级上学期期末教学质量质量检测1月联考(全科)_江西稳派1月期末数学
数学答案_2025年1月_250119江西智慧上进教育稳派联考2025届高三年级上学期期末教学质量质量检测1月联考(全科)_江西稳派1月期末数学
数学答案_2025年1月_250119江西智慧上进教育稳派联考2025届高三年级上学期期末教学质量质量检测1月联考(全科)_江西稳派1月期末数学
数学答案_2025年1月_250119江西智慧上进教育稳派联考2025届高三年级上学期期末教学质量质量检测1月联考(全科)_江西稳派1月期末数学
数学答案_2025年1月_250119江西智慧上进教育稳派联考2025届高三年级上学期期末教学质量质量检测1月联考(全科)_江西稳派1月期末数学

文档信息

文档格式
pdf
文档大小
2.182 MB
文档页数
6 页
上传时间
2026-02-11 06:41:37