当前位置:首页>文档>成都市第七中学2025-2026学年高三上学期8月入学考试历史_2025年8月_250828四川省成都市第七中学2025-2026学年高三上学期8月入学考试(全科)

成都市第七中学2025-2026学年高三上学期8月入学考试历史_2025年8月_250828四川省成都市第七中学2025-2026学年高三上学期8月入学考试(全科)

  • 2026-04-09 22:23:43 2026-02-11 08:03:31

文档预览

成都市第七中学2025-2026学年高三上学期8月入学考试历史_2025年8月_250828四川省成都市第七中学2025-2026学年高三上学期8月入学考试(全科)
成都市第七中学2025-2026学年高三上学期8月入学考试历史_2025年8月_250828四川省成都市第七中学2025-2026学年高三上学期8月入学考试(全科)
成都市第七中学2025-2026学年高三上学期8月入学考试历史_2025年8月_250828四川省成都市第七中学2025-2026学年高三上学期8月入学考试(全科)
成都市第七中学2025-2026学年高三上学期8月入学考试历史_2025年8月_250828四川省成都市第七中学2025-2026学年高三上学期8月入学考试(全科)
成都市第七中学2025-2026学年高三上学期8月入学考试历史_2025年8月_250828四川省成都市第七中学2025-2026学年高三上学期8月入学考试(全科)
成都市第七中学2025-2026学年高三上学期8月入学考试历史_2025年8月_250828四川省成都市第七中学2025-2026学年高三上学期8月入学考试(全科)
成都市第七中学2025-2026学年高三上学期8月入学考试历史_2025年8月_250828四川省成都市第七中学2025-2026学年高三上学期8月入学考试(全科)
成都市第七中学2025-2026学年高三上学期8月入学考试历史_2025年8月_250828四川省成都市第七中学2025-2026学年高三上学期8月入学考试(全科)
成都市第七中学2025-2026学年高三上学期8月入学考试历史_2025年8月_250828四川省成都市第七中学2025-2026学年高三上学期8月入学考试(全科)
成都市第七中学2025-2026学年高三上学期8月入学考试历史_2025年8月_250828四川省成都市第七中学2025-2026学年高三上学期8月入学考试(全科)
成都市第七中学2025-2026学年高三上学期8月入学考试历史_2025年8月_250828四川省成都市第七中学2025-2026学年高三上学期8月入学考试(全科)
成都市第七中学2025-2026学年高三上学期8月入学考试历史_2025年8月_250828四川省成都市第七中学2025-2026学年高三上学期8月入学考试(全科)

文档信息

文档格式
pdf
文档大小
4.182 MB
文档页数
8 页
上传时间
2026-02-11 08:03:31

文档内容

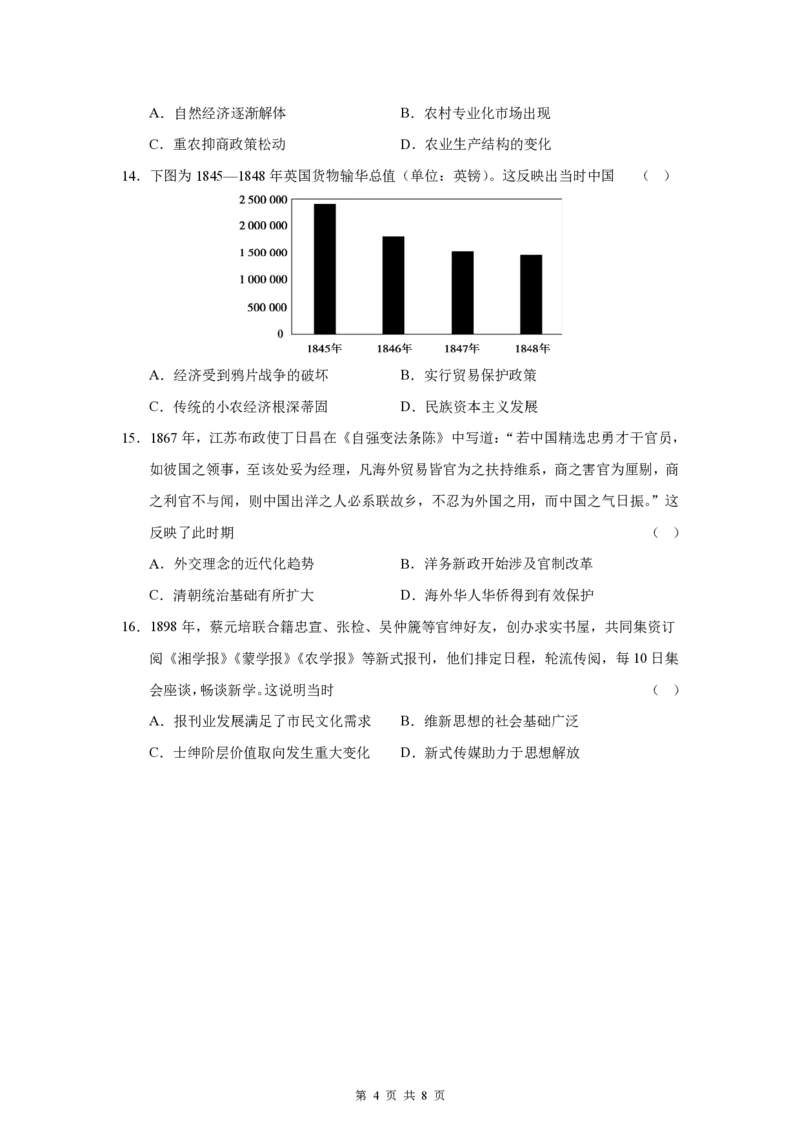
2025—2026 学年度上期高 2026 届入学考试 历史试卷 考试时间:75分钟 满分:100分 一、选择题(16题,每题3分,共48分) 1.距今6500—5000年的西辽河流域红山文化和距今5800—5300年的长江下游凌家滩文化, 相隔1000余千米,却具有相似的玉器种类,包括玉人、玉龟、玉筒形器、勾体龙形器、 双联璧、玉环、玉镯和玉璧等。玉人头戴矮冠、双手回放在颌下、腰束窄带、双膝微曲 这些细节都酷似。据材料可以推知 ( ) A.玉器是国家产生的标志 B.区域交流促进文明发展 C.中华文明具有多元特征 D.南北方文化的特征相似 2.在商朝统治下,商王与周边的方国和部族的首领不一定有血缘关系,但是方国和部族内 的居民多是聚族而居的;在西周的分封制下,大部分诸侯与王室有血缘关系,而封国内 民众的血缘关系却被打破。这一变化表明西周时期 ( ) A.地缘政治取代了血缘政治 B.国家治理能力明显提高 C.诸侯国之间兼并战争频繁 D.重视建立同源共祖意识 3.下面是先秦时期部分学派的思想主张。据此可推知,这些学派都 ( ) 学派 思想主张 儒家 礼之用,和为贵。先王之道,斯为美。 清静少欲,柔弱不争;水善利万物而不争,处众人之所恶,故几于道。夫唯不争, 道家 故无忧。 墨家 天下之人兼相爱,强不执弱、众不劫寡、富不侮贫、贵不傲贱、诈不欺愚。 法家 不刑而民善,刑重也。刑重者,民不敢犯,故无刑也。 A.认为社会治理应德法兼用 B.宣扬构建社会运行的强制规范 C.主张塑造和谐有序的社会 D.强调君主统治应重视以人为本 4.秦朝关于传递文书的法律规定:“行传书、受书,必书其起及到日月夙莫(暮),以辄相 报也。书有亡(遗失)者,亟告官……书廷辟有曰报,宜到不来者追(追查)之。”这 反映出秦朝 ( ) 第 1 页 共 8 页9.宋代,知州通判共理州政,职权范围大体相当。为有效监督限制知州,收地方钱谷于中 央,知州一般不签署钱谷之事,通判有财政专责,掌管部分版账税籍、征收总制钱及其 它杂税等。这一现象表明宋代 ( ) A.实行崇文抑武的方针 B.重视财政专业化管理 C.通判是最高地方长官 D.限制地方权力的集中 10.契丹有众部酋长集会选举契丹王的习俗。耶律阿保机即汗位后,不断扩张心腹团体,让 他们以护卫、侍从、幕僚之类的角色行使权力,在平定部落显贵联合发动的叛乱后,将 与心腹团队的亲密的私人关系逐步转化为君臣关系。这反映出契丹 ( ) A.民族认同意识加强 B.部落血缘观念淡化 C.国家体制的封建化 D.中枢决策日趋复杂 11.14世纪成书的《口述传记》,描述了西藏僧人邬坚巴在被卷入一场严重军事冲突后,没 有借助自己的宗教身份,而是完全依据事件实际过程并援引元朝法律和行政制度进行抗 辩。这体现了 ( ) A.西藏地区完全实现了世俗化治理 B.元朝国家治理向边疆地区有效拓展 C.藏传佛教僧人彻底放弃宗教权威 D.元朝法律与藏地习惯法的相互冲突 12.下面两幅地图为明、清两朝在东北地区设置的地方管理机构。据图可知,明、清两朝 ( ) A.对东北地区进行了有效管辖 B.使东北正式归于中国的版图 C.东北地区面临西方列强威胁 D.在东北实行灵活的统治方式 13.《明史资料丛刊》载:潍坊地区“丝绸之家不力耕而力织,利什倍于田,山民有起家至 巨万者。”其中昌邑盛产茧绸,该县北部庄庄安机,户户织绸,年产近10万匹。柳疃更 是“机户如林,商贾骈集……裨贩络绎不绝于道,镳车之来十数里衔尾相接。”这些现 象反映了该地区 ( ) 第 3 页 共 8 页A.自然经济逐渐解体 B.农村专业化市场出现 C.重农抑商政策松动 D.农业生产结构的变化 14.下图为1845—1848年英国货物输华总值(单位:英镑)。这反映出当时中国 ( ) A.经济受到鸦片战争的破坏 B.实行贸易保护政策 C.传统的小农经济根深蒂固 D.民族资本主义发展 15.1867年,江苏布政使丁日昌在《自强变法条陈》中写道:“若中国精选忠勇才干官员, 如彼国之领事,至该处妥为经理,凡海外贸易皆官为之扶持维系,商之害官为厘剔,商 之利官不与闻,则中国出洋之人必系联故乡,不忍为外国之用,而中国之气日振。”这 反映了此时期 ( ) A.外交理念的近代化趋势 B.洋务新政开始涉及官制改革 C.清朝统治基础有所扩大 D.海外华人华侨得到有效保护 16.1898年,蔡元培联合籍忠宣、张检、吴仲篪等官绅好友,创办求实书屋,共同集资订 阅《湘学报》《蒙学报》《农学报》等新式报刊,他们排定日程,轮流传阅,每10日集 会座谈,畅谈新学。这说明当时 ( ) A.报刊业发展满足了市民文化需求 B.维新思想的社会基础广泛 C.士绅阶层价值取向发生重大变化 D.新式传媒助力于思想解放 第 4 页 共 8 页二、非选择题(4小题,共52分) 17.阅读材料,回答下列问题。(15分) 材料一 战国时代,三流九教思想盛行,理论不一,纷争不已。但在消费观念上,基本上都 视“尚俭”为一种社会美德,人们的消费行为一般都能趋从俭约。例如:晏婴,“事齐灵公、 庄公、景公,以节俭力行重於齐。”……“至高祖,孝文,孝景皇帝,循古节俭,宫女不过 十余,厩马百余匹。”……“文、景之际,建元之始,民朴而归本,吏廉而自重,殷殷屯屯, 人衍而家富。”……西汉中期以降,汉人的消费观念逐渐发生转变,奢侈消费成为人们所仿 效、追慕的时尚消费方式。……武帝建元以后,皇亲宗室、公卿大夫以下者,“争于奢侈”, 竞相攀比。 ——摘编自温乐平《试说秦汉消费观念由“尚俭”到“崇奢”的演变》 材料二 明中叶以降,江南经济进入高度成长时期,这一地区的经济中心——苏州,成为全 国最繁华的城市。苏州的繁华带来了奢侈消费的风尚,使它成为当时的时尚之都,邻近的地 区纷起仿效,奢侈消费风尚逐渐弥漫于苏松杭嘉湖诸府所属各县各市镇,并通过频繁地往返 各地的商人为媒介,很快向各地散播。在奢侈性消费中表现最为突出的是王公贵族和上层士 绅。他们集特权和财富于一身,成为晚明奢侈商业的最大受益者,并在权力的庇护下,抢占 商机,与此同时,商人通过与士大夫相结交攀附,逐渐跻身士绅之列。这一潮流催生出晚明 乃至整个帝制晚期的一个新的社会阶层,那就是绅商,这个阶层将权力与财富相结合,成为 明清中国社会的一个突出现象。士大夫热衷于奢侈商业活动,对中国社会的发展可谓利弊兼 有,而绅商形成的另一途径,即由商入仕,则可帮助我们解读何以中国商人难以形成自己独 立的阶级意识。 ——摘编自樊树志《晚明大变局》等 (1)根据材料一并结合所学知识,概括战国到汉代消费观念的变化,并分析影响变化的因素。 (7分) (2)根据材料二并结合所学知识,概括晚明以来奢侈消费风尚的特点及影响。(8分) 第 5 页 共 8 页18.阅读材料,回答下列问题。(13分) 材料一 下图为明代私家藏书楼的空间分布状况 ——摘编自杨璐嘉《中国私家藏书楼时空分布特征及其成因》 材料二 据记载,五代至清末藏书家共1175人,其中明人就有427人。明代私人藏书家包 括明室诸藩、官僚、重臣、士大夫阶层、乡村地主豪绅以及一般的读书人。其中,常熟毛晋 的汲古阁藏书84000册,宁波范钦的天一阁藏书70000卷,山阴祁承烨的澹生堂藏书80000 卷。祁承烨在《澹生堂藏书约》中,编撰了读书、聚书、鉴书、购书四篇训文,提出了“购 书三原则”(眼界欲宽、精神欲注、心思欲巧)和“鉴书五法”(审轻重、辨真伪、核名实、 权缓急、别品类)。部分藏书家摒弃了历史上“借书与人为不孝”的旧观念,公开自己的珍 藏,进行文化传播。 ——摘编自文献《明代私人藏书兴旺原因及特征》 (1)根据材料一、二,概括明代私家藏书的特征,并结合所学知识分析其原因。(8分) (2)根据材料一、二,并结合所学知识,分析明代私人藏书风尚的历史影响。(5分) 第 6 页 共 8 页19.阅读材料,回答下列问题。(12分) 材料 1898年,清政府批准英国福公司在山西采矿,期限为60年。但政府保密,民众知之 甚少。1905年福公司到平定勘查,并禁止民矿开采。平定绅商与民众强烈反对福公司行径, 保矿运动的星火点燃。消息传到太原,学界罢课抗议,指出“矿存则山西存,矿亡则山西亡”, 请求清廷作废合同,价赎矿权。全省各地各界不断抗议。部分官员认为政府“举最可珍可贵 可爱惜之路矿权视如敝履”,离心倾向逐渐加深。 1906年晋籍留日学生李培仁蹈海殉矿。太原举行万人追悼大会,“当宣读完其绝命书, 听众无不掉泪。”会后各界群众举行声势浩大的示威游行,保矿运动达到了高潮。此后,各 界时有以李烈士纪念会的形式联合谋事,“凝聚晋人争矿之精神,而夺福公司之气矣”。 福公司倍感压力,经多次商谈,讹诈赎矿金275万两白银。政府财政困难。晋商渠本 翘,“以公义为重”,集祁县、平遥等地票号资金,于1908年2月21日,代表山西人民, 出席赎矿仪式。历时3年,山西人民收回了矿权。同年山西商办全省保晋矿务有限总公司成 立,总经理渠本翘颁布公司章程,规定“本公司惟收华股,不收洋股”,又规定“购置开矿 机器,从事采煤。”保晋矿务公司逐渐成为山西近代资本最雄厚的民族资本企业。 ——摘编自赵莎《晚清山西路矿权利的丧失及收回矿权运动的胜利》等 (1)根据材料并结合所学知识,分析山西保矿运动的时代背景。(6分) (2)根据材料并结合所学知识,谈谈山西保矿运动在中国近代史上的意义。(6分) 第 7 页 共 8 页20.阅读材料,回答下列问题。(12分) 材料 中国传统科技的发展源远流长,有其自身的特色和优势。其演进过程可从以下几个角 度予以探究。 角度 内涵 中国传统科学技术具有“经世致用”的实践性或实用性,是以兼顾满足 实用性强 国家政治需要和满足人们日常生产生活需要为特征的。 中国古代科技的交融性,是指科技、理工、文理的交融,中国古代的格 交融性特征明显 致学、博物学、物理学、天文历法算术,都是综合性的科学。 具有开放性 中国传统科学技术的开放性,表现在中外科技和科学文化的交流上。 中国古代科学技术的发展涉及多个领域,包括农业、工程、医药、冶金 多元化发展 等。这些领域都得到了长期持续的研究和发展。 中国古代历史文献中丰富的气象、气候、物候、地理等资料,对于5000 发挥独特作用 年气候史重建、500年旱涝史重建及其隐含周期的发现发挥了重要作用。 ——摘编自王渝生《解码中国古代科学文化优秀“基因”》 请从材料中任意选取一个角度,对中国古代科技发展史进行分期,并运用中国古代史知识进 行阐述。(要求:写出选取的角度,分期明确,阐述须有史实依据,逻辑清晰。) 第 8 页 共 8 页