当前位置:首页>文档>2012年高考数学试卷(理)(四川)(解析卷)_数学历年高考真题_新·PDF版2008-2025·高考数学真题_数学(按年份分类)2008-2025_2012·高考数学真题

2012年高考数学试卷(理)(四川)(解析卷)_数学历年高考真题_新·PDF版2008-2025·高考数学真题_数学(按年份分类)2008-2025_2012·高考数学真题

  • 2026-03-02 23:59:57 2026-02-12 06:27:22

文档预览

2012年高考数学试卷(理)(四川)(解析卷)_数学历年高考真题_新·PDF版2008-2025·高考数学真题_数学(按年份分类)2008-2025_2012·高考数学真题
2012年高考数学试卷(理)(四川)(解析卷)_数学历年高考真题_新·PDF版2008-2025·高考数学真题_数学(按年份分类)2008-2025_2012·高考数学真题
2012年高考数学试卷(理)(四川)(解析卷)_数学历年高考真题_新·PDF版2008-2025·高考数学真题_数学(按年份分类)2008-2025_2012·高考数学真题
2012年高考数学试卷(理)(四川)(解析卷)_数学历年高考真题_新·PDF版2008-2025·高考数学真题_数学(按年份分类)2008-2025_2012·高考数学真题
2012年高考数学试卷(理)(四川)(解析卷)_数学历年高考真题_新·PDF版2008-2025·高考数学真题_数学(按年份分类)2008-2025_2012·高考数学真题
2012年高考数学试卷(理)(四川)(解析卷)_数学历年高考真题_新·PDF版2008-2025·高考数学真题_数学(按年份分类)2008-2025_2012·高考数学真题
2012年高考数学试卷(理)(四川)(解析卷)_数学历年高考真题_新·PDF版2008-2025·高考数学真题_数学(按年份分类)2008-2025_2012·高考数学真题
2012年高考数学试卷(理)(四川)(解析卷)_数学历年高考真题_新·PDF版2008-2025·高考数学真题_数学(按年份分类)2008-2025_2012·高考数学真题
2012年高考数学试卷(理)(四川)(解析卷)_数学历年高考真题_新·PDF版2008-2025·高考数学真题_数学(按年份分类)2008-2025_2012·高考数学真题
2012年高考数学试卷(理)(四川)(解析卷)_数学历年高考真题_新·PDF版2008-2025·高考数学真题_数学(按年份分类)2008-2025_2012·高考数学真题
2012年高考数学试卷(理)(四川)(解析卷)_数学历年高考真题_新·PDF版2008-2025·高考数学真题_数学(按年份分类)2008-2025_2012·高考数学真题
2012年高考数学试卷(理)(四川)(解析卷)_数学历年高考真题_新·PDF版2008-2025·高考数学真题_数学(按年份分类)2008-2025_2012·高考数学真题
2012年高考数学试卷(理)(四川)(解析卷)_数学历年高考真题_新·PDF版2008-2025·高考数学真题_数学(按年份分类)2008-2025_2012·高考数学真题
2012年高考数学试卷(理)(四川)(解析卷)_数学历年高考真题_新·PDF版2008-2025·高考数学真题_数学(按年份分类)2008-2025_2012·高考数学真题
2012年高考数学试卷(理)(四川)(解析卷)_数学历年高考真题_新·PDF版2008-2025·高考数学真题_数学(按年份分类)2008-2025_2012·高考数学真题
2012年高考数学试卷(理)(四川)(解析卷)_数学历年高考真题_新·PDF版2008-2025·高考数学真题_数学(按年份分类)2008-2025_2012·高考数学真题
2012年高考数学试卷(理)(四川)(解析卷)_数学历年高考真题_新·PDF版2008-2025·高考数学真题_数学(按年份分类)2008-2025_2012·高考数学真题

文档信息

文档格式
pdf
文档大小
0.713 MB
文档页数
17 页
上传时间
2026-02-12 06:27:22

文档内容

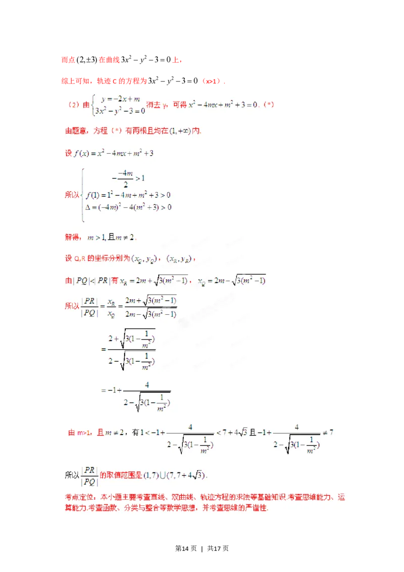
2012 年普通高等学校招生全国统一考试(四川卷) 数 学 (理工类) 【试题总评】历年的四川高考试题都始终遵从源于教材、注重基础、全面考查、突出主干、 注重思想、考查本质、多考点想,少考点算、能力立意、突出思维、稳中有进, 2012年高 考数学四川卷也不例外,作为四川省最后一届的大纲版学习考试,在此次的高考中,试卷在 题型、题量、难度分布上保持了相对的稳定,同时也有适当的创新,在2010年四川高考中 把17、18、19题考点内容进行调整后,此次高考试卷也对试题的顺序做了适当的顺序调整, 打破了以前的传统式的考题顺序。2012年四川高考数学卷很大一部分试题直接源于教材或 由教材上的例题、习题、复习题改变而成,这些试题注重基础知识的理解和运用。例如第 (1)、(5)、(8)等15个题目。从而也充分说明了高考对基础知识的重视,立足于教材、回归到 教材、重视课本、减轻学业负担,实施素质教育的导向作用。2012年四川高考数学解答题 目注重学生对基础知识的理解和运用,在题型上面略有创新,题目的灵活性加强,不再像 以往试题固定化模式解题。解答题部分注重考察学生的思维能力,运算能力,分析问题和 解决问题的能力,创新意识,考察函数,方程的转化、划归,特殊和一般等思想方法。总的 来说,2012年四川高考数学试题相对稳定,注重基础,保持了四川卷的命题风格,同时又 立足于现行高中数学教材和教学实际试题。 参考公式: 如果事件互斥,那么 球的表面积公式 P(A+ B)= P(A)+ P(B) S= 4pR2 如果事件相互独立,那么 其中R表示球的半径 P(A×B)= P(A) P(B) 球的体积公式 g 4 如果事件A在一次试验中发生的概率是 p,那么 V = pR3 3 在n次独立重复试验中事件A恰好发生k次的概率 其中R表示球的半径 P(k)= Ckpk(1- p)n-k(k= 0,1,2,… ,n) n n 第一部分 (选择题 共 60 分) 注意事项: 1、选择题必须使用2B铅笔将答案标号涂在机读卡上对应题目标号的位置上。 2、本部分共12小题,每小题5分,共60分。 一、选择题:每小题给出的四个选项中,只有一项是符合题目要求的。 1.(1+x)7的展开式中x2的系数是( ) A、21 B、28 C、35 D、42 第1页 | 共17页(1-i)2 2、复数 =( ) 2i A、1 B、-1 C、i D、-i ìx2 -9 ï ,x<3 3、函数 f(x)=í x-3 在x=3处的极限是( ) ï îln(x-2),x³3 A、不存在 B、等于6 C、等于3 D、等于0 4、如图,正方形ABCD的边长为1,延长BA至E,使AE =1,连接EC、ED则 sinÐCED=( ) D C 3 10 10 5 5 A、 B、 C、 D、 10 10 10 15 答案:B E A B 1 5、函数y =ax - (a>0,a¹1)的图象可能是( ) a 第2页 | 共17页6、下列命题正确的是( ) A、若两条直线和同一个平面所成的角相等,则这两条直线平行 B、若一个平面内有三个点到另一个平面的距离相等,则这两个平面平行 C、若一条直线平行于两个相交平面,则这条直线与这两个平面的交线平行 D、若两个平面都垂直于第三个平面,则这两个平面平行 r r r r a b 7、设a、b都是非零向量,下列四个条件中,使 r = r 成立的充分条件是( ) |a| |b| r r r r r r r r r r A、a=-b B、a//b C、a=2b D、a//b且|a|=|b| [来源: 力和对充分必要条件的理解能力. 8.已知抛物线关于x轴对称,它的顶点在坐标原点O,并且经过点M(2,y )。若点M 到该 0 第3页 | 共17页抛物线焦点的距离为3,则|OM |=( ) A、2 2 B、2 3 C、4 D、2 5 9、某公司生产甲、乙两种桶装产品。已知生产甲产品1桶需耗A原料1千克、B原料2千 克;生产乙产品1桶需耗A原料2千克,B原料1千克。每桶甲产品的利润是300元,每 桶乙产品的利润是400元。公司在生产这两种产品的计划中,要求每天消耗A、B原料都 不超过12千克。通过合理安排生产计划,从每天生产的甲、乙两种产品中,公司共可获得 的最大利润是( ) [来源:学科网] A、1800元 B、2400元 C、2800元 D、3100元 [来源:学|科|网] 10、如图,半径为 R的半球O的底面圆O在平面a内,过点O作平面a的垂线交半球面 于点A,过圆O的直径CD作平面a成45o角的平面与半球面相交,所得交线上到平面a A 的距离最大的点为B,该交线上的一点P满足ÐBOP=60o,则A、 B P两点间的球面距离为( ) D 2 pR 3 P A、Rarccos B、 C、Rarccos D、 O 4 4 3 α C pR 3 第4页 | 共17页11、方程ay =b2x2 +c中的a,b,cÎ{-3,-2,0,1,2,3},且a,b,c互不相同,在所有这些方 程所表示的曲线中,不同的抛物线共有( ) A、60条 B、62条 C、71条 D、80条 p 12、设函数 f(x)=2x-cosx,{a }是公差为 的等差数列, n 8 f(a )+ f(a )+×××+ f(a )=5p, 1 2 5 第5页 | 共17页则[f(a )]2 -aa =( ) 3 1 5 1 1 13 A、0 B、 p2 C、 p2 D、 p2 16 8 16 第二部分 (非选择题 共 90 分) 注意事项: (1)必须使用0.5毫米黑色签字笔在答题卡上题目所指示的答题区域内作答,作图题可先 用铅笔绘出,确认后再用0.5毫米黑色签字笔描清楚。答在试题卷上无效。 (2)本部分共10个小题,共90分。 二、填空题(本大题共4个小题,每小题4分,共16分。把答案填在答题纸的相应位置 上。) 13、设全集U ={a,b,c,d},集合A={a,b},B={b,c,d},则 (C A) (C B)= U U U ___________。 第6页 | 共17页14、如图,在正方体ABCD-ABC D 中,M 、N 分别是棱CD、CC D 1 C 1 1 1 1 1 1 B A 1 1 N 的中点,则异面直线AM 与DN 所成角的大小是____________。 1 D C M 答案:900 A B x2 y2 15、椭圆 + =1的左焦点为F ,直线x=m与椭圆相交于点A、B,当DFAB的周 4 3 长最大时,DFAB的面积是____________。 16、记[x]为不超过实数x的最大整数,例如,[2]=2,[1.5]=1,[-0.3]=-1。设a为正 a x +[ ] n x 整数,数列{x }满足x =a,x =[ n ](nÎN*),现有下列命题: n 1 n+1 2 ①当a=5时,数列{x }的前3项依次为5,3,2; n 第7页 | 共17页②对数列{x }都存在正整数k,当n³k时总有x = x ; n n k ③当n³1时,x > a -1; n ④对某个正整数k,若x ³ x ,则x =[ a]。 k+1 k n [来源:学|科|网Z|X|X|K] 其中的真命题有____________。(写出所有真命题的编号) 第8页 | 共17页三、解答题(本大题共6个小题,共74分。解答应写出必要的文字说明,证明过程或演算 步骤。) 17、(本小题满分12分) 某居民小区有两个相互独立的安全防范系统(简称系统)A和B,系统A和B在任意 1 时刻发生故障的概率分别为 和 p。 10 49 (Ⅰ)若在任意时刻至少有一个系统不发生故障的概率为 ,求 p的值; 50 (Ⅱ)设系统A在3次相互独立的检测中不发生故障的次数为随机变量x,求x的概率分 布列及数学期望Ex。 18、(本小题满分12分) wx 函数 f(x)=6cos2 + 3sinwx-3(w>0)在一个周期内的图象如图所示,A为图 2 象的最高点,B、C为图象与x轴的交点,且DABC为正三角形。 (Ⅰ)求w的值及函数 f(x)的值域; 8 3 10 2 (Ⅱ)若 f(x )= ,且x Î(- , ),求 f(x +1)的值。 0 5 0 3 3 0 第9页 | 共17页19、(本小题满分12分) 如图,在三棱锥P-ABC 中,ÐAPB=90o,ÐPAB=60o,AB= BC =CA,点P 在平面ABC内的射影O在AB上。 P (Ⅰ)求直线PC与平面ABC所成的角的大小; C (Ⅱ)求二面角B-AP-C的大小。 39 答案:(Ⅰ)arctan (Ⅱ)arctan2 13 A B 第10页 | 共17页第11页 | 共17页20、(本小题满分12分) 已知数列{a }的前n项和为S ,且a a =S +S 对一切正整数n n n 2 n 2 n 都成立。 (Ⅰ)求a ,a 的值; 1 2 10a (Ⅱ)设a >0,数列{lg 1}的前n项和为T ,当n为何值时,T 最大?并求出T 的最 1 a n n n n 大值。 [来源:学,科,网] 第12页 | 共17页21、(本小题满分12分) 如图,动点M 到两定点A(-1,0)、B(2,0)构成 DMAB,且ÐMBA=2ÐMAB,设动点M 的轨迹为C。 y M (Ⅰ)求轨迹C的方程; (Ⅱ)设直线y =-2x+m与y轴交于点P,与轨迹C相交 A O B x |PR| 于点Q、R,且|PQ|<|PR|,求 的取值范围。 |PQ| 第13页 | 共17页而点(2,±3)在曲线3x2 - y2 -3=0上, 综上可知,轨迹C的方程为3x2 - y2 -3=0(x>1). 第14页 | 共17页22、(本小题满分14分) an 已知a为正实数,n为自然数,抛物线y =-x2 + 与x轴正半轴相交于点A ,设 f(n) 2 为该抛物线在点A处的切线在y轴上的截距。 (Ⅰ)用a和n表示 f(n); f(n)-1 n3 (Ⅱ)求对所有n都有 ³ 成立的a的最小值; f(n)+1 n3+1 n 1 27 f(1)- f(n) (Ⅲ)当0