当前位置:首页>文档>精品解析:天津市朱唐庄中学2023-2024学年高三上学期10月第一次检测数学试题(原卷版)(1)_2023年10月_0210月合集_2024届天津市朱唐庄中学高三上学期10月第一次检测

精品解析:天津市朱唐庄中学2023-2024学年高三上学期10月第一次检测数学试题(原卷版)(1)_2023年10月_0210月合集_2024届天津市朱唐庄中学高三上学期10月第一次检测

  • 2026-03-18 04:46:26 2026-02-13 11:42:20

文档预览

精品解析:天津市朱唐庄中学2023-2024学年高三上学期10月第一次检测数学试题(原卷版)(1)_2023年10月_0210月合集_2024届天津市朱唐庄中学高三上学期10月第一次检测
精品解析:天津市朱唐庄中学2023-2024学年高三上学期10月第一次检测数学试题(原卷版)(1)_2023年10月_0210月合集_2024届天津市朱唐庄中学高三上学期10月第一次检测
精品解析:天津市朱唐庄中学2023-2024学年高三上学期10月第一次检测数学试题(原卷版)(1)_2023年10月_0210月合集_2024届天津市朱唐庄中学高三上学期10月第一次检测
精品解析:天津市朱唐庄中学2023-2024学年高三上学期10月第一次检测数学试题(原卷版)(1)_2023年10月_0210月合集_2024届天津市朱唐庄中学高三上学期10月第一次检测
精品解析:天津市朱唐庄中学2023-2024学年高三上学期10月第一次检测数学试题(原卷版)(1)_2023年10月_0210月合集_2024届天津市朱唐庄中学高三上学期10月第一次检测
精品解析:天津市朱唐庄中学2023-2024学年高三上学期10月第一次检测数学试题(原卷版)(1)_2023年10月_0210月合集_2024届天津市朱唐庄中学高三上学期10月第一次检测
精品解析:天津市朱唐庄中学2023-2024学年高三上学期10月第一次检测数学试题(原卷版)(1)_2023年10月_0210月合集_2024届天津市朱唐庄中学高三上学期10月第一次检测
精品解析:天津市朱唐庄中学2023-2024学年高三上学期10月第一次检测数学试题(原卷版)(1)_2023年10月_0210月合集_2024届天津市朱唐庄中学高三上学期10月第一次检测
精品解析:天津市朱唐庄中学2023-2024学年高三上学期10月第一次检测数学试题(原卷版)(1)_2023年10月_0210月合集_2024届天津市朱唐庄中学高三上学期10月第一次检测

文档信息

文档格式
docx
文档大小
0.484 MB
文档页数
5 页
上传时间
2026-02-13 11:42:20

文档内容

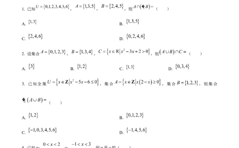
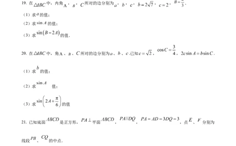
天津市朱唐庄中学 2023-2024 学年度第一次检测 高三 数学 本试题分为第Ⅰ卷和第Ⅱ卷两部分,满分150分,考试时间120分钟.考生务必填写清楚班级、 姓名、学号.将答案填写在答题卡上,考试结束后上交. 第Ⅰ卷(共60分) 一、单项选择(每题 5分,共 60 分.每题仅有一个正确选项,请将正确选项写到答题卡 上) 1. 已知 , , ,则 ( ) A. B. C. D. 2. 设集合 , , ,则 ( ) A. B. C. D. 3. 已知全集 ,集合 ,集合 ,则集合 ( ) A. B. C. D. 4. 已知p: ,q: ,则p是q的( ) A. 充分而不必要条件 B. 必要而不充分条件 C. 充分必要条件 D. 既不充要也不必要条件 5. 已知 ,命题 是一元二次方程 的一个根,命题 ,则 是 的( ) A. 充分不必要条件 B. 必要不充分条件 C. 充分必要条件 D. 既不充分也不必要条件 第1页/共5页 学科网(北京)股份有限公司6. 设 ,则“ ”是“ ”的( ) A. 充分不必要条件 B. 必要不充分条件 . C 充要条件 D. 既不充分也不必要条件 7. 下列可能是函数 的图象的是( ) A. B. C. D. 8. 函数 的大致图象为( ) A. B. C. D. 9. 我国著名数学家华罗庚曾说:“数缺形时少直观,形缺数时难入微,数形结合百般好,隔裂分家万事休.” 在数学的学习和研究中,常用函数的图象来研究函数的性质,已知函数 的部分图象如图所示.则 的解析式可能是( ) 第2页/共5页 学科网(北京)股份有限公司A. B. C. D. 10. 设 , , ,则 、 、 的大小关系为( ) A. B. C. D. 11. 设 ,则 的大小关系为( ) A. B. C. D. 12. 已知函数 是定义在 上的偶函数,且在 上单调递减,若 , , 则 , , 大小关系为( ) . A B. C. D. 第Ⅱ卷(共90分) 二、填空题(每题5分,共30分) 13. 已知i是虚数单位,化简 的结果为______. 14. 复数 (其中i 为虚数单位),则 =___________. 15. 已知复数 为 共轭复数,则 的虚部为___________. 的 第3页/共5页 学科网(北京)股份有限公司16. 在 的展开式中, 的系数是________. 17. 若 展开式的二项式系数和为64,则展开式中第三项的二项式系数为______. 18. 已知 的展开式中各项系数和为243,则展开式中常数项为______. 三、解答题(每题15分,共60分) 19. 在 中,内角 , , 所对的边分别为 , , , , , . (1)求 的值; (2)求 的值; (3)求 的值. 20. 在 中,角 、 、 所对的边分别为 、 、 .已知 , , . (1)求 的值; 的 (2)求 值; (3)求 的值 21. 已知底面 是正方形, 平面 , , ,点 、 分别为 线段 、 的中点. 第4页/共5页 学科网(北京)股份有限公司(1)求证: 平面 ; (2)求直线EF与平面 夹角的正弦值; (3)求点F到面PAC的距离 22. 如 图 , 在 四 棱 锥 中 , 平 面 , 且 , 为 的中点. (1)求平面 与平面 所成锐二面角的余弦值; (2)求点N到直线BC的距离 (3)在线段 上是否存在一点 ,使得直线 与平面 所成角的正弦值为 ,若存在,求出 的值;若不存在,说明理由. 第5页/共5页 学科网(北京)股份有限公司