当前位置:首页>文档>湖北部分学校2023-2024学年下学期高三2月开学考试生物(1)_2024年2月_022月合集_2024届湖北部分学校下学期高三2月开学考试

湖北部分学校2023-2024学年下学期高三2月开学考试生物(1)_2024年2月_022月合集_2024届湖北部分学校下学期高三2月开学考试

  • 2026-03-30 03:44:15 2026-02-17 13:11:05

文档预览

湖北部分学校2023-2024学年下学期高三2月开学考试生物(1)_2024年2月_022月合集_2024届湖北部分学校下学期高三2月开学考试
湖北部分学校2023-2024学年下学期高三2月开学考试生物(1)_2024年2月_022月合集_2024届湖北部分学校下学期高三2月开学考试
湖北部分学校2023-2024学年下学期高三2月开学考试生物(1)_2024年2月_022月合集_2024届湖北部分学校下学期高三2月开学考试
湖北部分学校2023-2024学年下学期高三2月开学考试生物(1)_2024年2月_022月合集_2024届湖北部分学校下学期高三2月开学考试
湖北部分学校2023-2024学年下学期高三2月开学考试生物(1)_2024年2月_022月合集_2024届湖北部分学校下学期高三2月开学考试
湖北部分学校2023-2024学年下学期高三2月开学考试生物(1)_2024年2月_022月合集_2024届湖北部分学校下学期高三2月开学考试

文档信息

文档格式
pdf
文档大小
1.763 MB
文档页数
6 页
上传时间
2026-02-17 13:11:05

文档内容

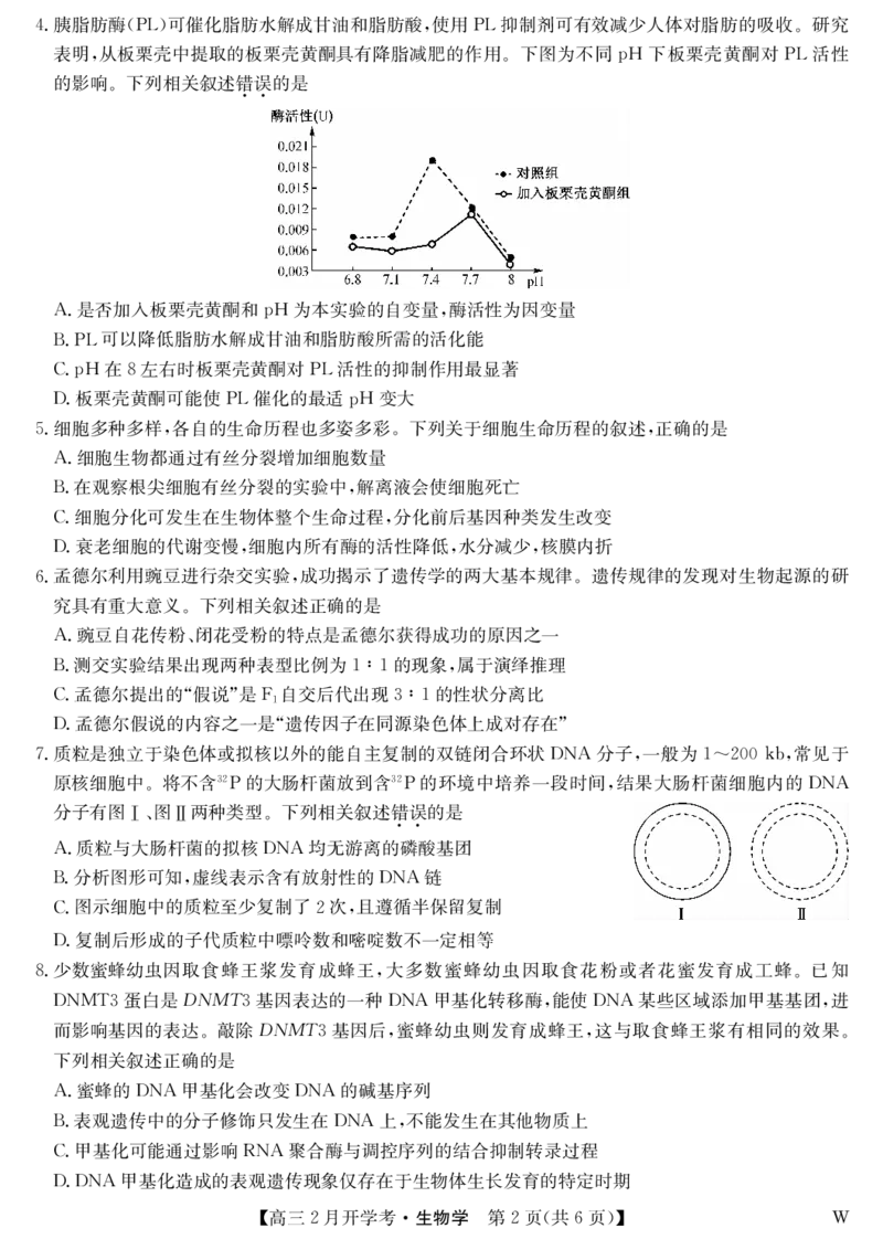
!"*+% ! !! $!%&! "%!"#$%&’()%&’*+$!,$"&&$"-"./’($0! !%1’2"-345678&%(9:;<=>?@ABCDEFGHIJKL! )%-3M1."NB1O1P1’QR!%&’ST’%U1OV"6!*WAX1’QRYZ’ H[1O\]^;#)%&’N678&%(9:;<=>?@AP1’QR_’[1’‘aF M1"’()*+,-./)012"34*5#6789:)12$ !!!!!!!!!!!!! !!!! !!!!!!!! +%!#b’cd$e-cd! ;#<=*!>*?!"@*"A@*#B"?$%B$3A@*C(/DE?@A!&,*BA!#,*CDEF+ )-%",&G>3HIJKL&MNOPJL>Q!R"%’#,)STUVWXYZ8O .%PJLO[I\]^_‘aFb8cdJKL *%?@AefBgOhCijkl8*+mno /%,-.5?@A8p? /%^_nEq(cid:226)*(cid:128)*+]@A*.(cid:151)(cid:152)&nEB(cid:133)K$IC(cid:226)*ª(cid:228) 0%DE^_8FG(cid:228)H&^_z(cid:210)3“8(cid:254)(cid:137)(cid:252)%&Dn(cid:237)(cid:238)&Iyz‡ #%JK»rsLM(cid:146)§N¤"#&b(cid:209)O(cid:154)¥(cid:159)(cid:160)%8˘mK!PQ)(cid:159)(cid:160)PQ8(cid:226)⁄~*+(cid:129)(cid:217)8æ (cid:242)˛3Rm(cid:155)S)STUVWXYZ8O .%LM(cid:212)T(cid:160)U*VTWU8MXOJK»YZb(cid:209)8[$6[ *%<¤"#\]^⁄˘I(cid:192)_‘aj"8"8⁄Æ&b(cid:218)cdef /%JK»ł^8’gh(O9(cid:212)¤(cid:133)F^⁄)8"8(cid:137)in`‘ " 0%JK»gh8zj6[O’(cid:159)(cid:160)$o(cid:128)˙(cid:217)kl]mb~n(cid:128)( ’%A(cid:214)Oop(cid:218)kl]´qIh{8a(cid:212)¨rº8tiVFsi02.no&[tj"!!&&:;&uv(cid:218) [I^_5)w‘>)!48mxy.z{>)!48s|5}0[(cid:134)˝ƒ&\]mxy.^_z802. no3(cid:149)"*(cid:149)#˘IC_)STUVWX(cid:156)(cid:157)8O "" .%A(cid:214)(cid:158)mxy.8qI02.~(cid:127)(cid:128)`8fLK(cid:129) *%n(cid:130)(cid:149)(cid:131)q(cid:132)&(cid:133)(cid:213)(cid:192)(cid:154)>3z(cid:134)(cid:137)802.i /%(cid:149)(cid:154)^_58A(cid:214)”(cid:238)rº¥!(cid:135)&(cid:136)(cid:137)(cid:138)(cid:139)(cid:140)(cid:141)rº 0%rº(cid:133)(cid:131)b8oFA(cid:214)5(cid:142)(cid:143)7e(cid:144)(cid:145)7‘[=U(cid:146) -%(cid:238)7(cid:147)(cid:148)(cid:149)(cid:150)$ø(cid:151)(cid:148)(cid:152)(cid:153)(cid:226)(cid:154)b(cid:148)(cid:152)&mH7(cid:147)(cid:148)(cid:149)(cid:150)$ø(cid:151)TU´(cid:155)T(cid:147)(cid:226)(cid:154)b‰(cid:148))(cid:156)(cid:132) 02<3)?@O!"#$)K$(cid:192)R8[I02.˜KE(cid:204)(cid:157)“&aØ02.(cid:158)(cid:159)(cid:139)(cid:140)(cid:160)…˜KK(cid:129)&(cid:146) ¡(cid:176)–K$8(cid:192)R)¢‹!"#$)K$(cid:133)&(cid:147)(cid:148)(cid:149)(cid:150)£(cid:226)(cid:154)b(cid:148)(cid:152)&⁄(cid:158)ø(cid:151)(cid:148)(cid:152)(cid:153)3U˙8(cid:236)]) STUVWXYZ8O .%(cid:147)(cid:148)802.˜KE=ª(cid:228)02.8¥K(cid:138)T *%(cid:192)8(cid:159)(cid:160)58no(cid:190)¿ƒ(cid:226)*(cid:128)02.m&‘a(cid:226)*(cid:128)§¤+Am /%˜KEqa3(cid:151)(cid:176)–12.'F“(cid:158)“«(cid:138)T8\FŒº(cid:204)‹(cid:151)(cid:152) 0%02.˜KE›b8(cid:192)8(cid:159)(cid:160)⁄Æfin(cid:128)(cid:218)*+]*fl(cid:226)(cid:154)8M=˝(cid:176) !!"!#$%&"!"#!’!!!!!(#)#($% $=%(cid:158)–(cid:150)8†(cid:131)W*+;K$«º&K$_j**8A](cid:192)⁄jfl†&K$_j*;8A](cid:192)⁄j‡†&K $_j;;8A](cid:128)·(cid:181)˝(cid:176)>?)STUVWXYZ8O .%‡†¶•A]ƒN¤&§(cid:133)F‡†(cid:210)‚8‘aj"+! *%„(cid:151)fl(cid:176)8(cid:212)”»…&‰I(cid:190)5*8K$¿(cid:192)w=6m /%~o[F(cid:146)§<¤qp1(cid:192) (cid:154)(cid:229)(cid:239)4W]$)STUVWX(cid:156)(cid:157)8O "" .%Yuß(cid:252)S&\](cid:253)(cid:254)(cid:242)(cid:243)8>Qº=(cid:128))%=!#%"??@A+5 *%(cid:149)(cid:154)5&(cid:211)(cid:242)(cid:243)(cid:255)!˝(cid:229)(cid:239)*^_q(cid:216)W)I!"&Ø(cid:229)(cid:239)4n(cid:150)6… /%$(cid:158)>1\F(cid:133)&6…¥^_ym#$(cid:243)(cid:204)‚?@87Q 0%%%(cid:158)&^_ymU(cid:231)W]8\F(cid:226)*’(&=(cid:144)(cid:226)(cid:243))* "!%˜'O(cid:181)˜_'+*,(cid:144)(cid:129)8[I-(cid:137).(cid:239)/(cid:160)k*)STUVWX(cid:156)(cid:157)8O "" .%01e21583yb(cid:218)œ]fi4(cid:204)5’[/6(cid:213) *%^_,(cid:137)3^_a5—7˜_'+*,+k8^_ /%œ]8‹9(cid:147)8˜_'+*,]⁄¥fi4(cid:204)5˛3fi46:(cid:209)a 0%œ]5a;}¢˜_'+*,8*^_O(cid:128)<(cid:223)5nEbfl8 ")%=>‘fi(cid:176)–ˆ?@Q*(cid:252)%AA&G=6…(cid:240)YB(cid:220))æ(cid:242)(cid:226)⁄&(cid:128)ˆ?CD(cid:176)EF\‰Fb8G H4&a(cid:176)–IJłƒfl(cid:220)&6…łƒK(cid:220)&6LM=>aN)STUVWXYZ8O .%GH4O[IO+"4&(cid:153)s(cid:236)]º= *%EFGH4˝ƒd(cid:246)P(cid:155)«ºEF(cid:219)(cid:220)Qq /%EFGH4(cid:133)=R(cid:146)ˆ?IJłƒ^_(cid:221)fl 0%Fs+QST4q—‹GH48*f(cid:153)s !!"!#$%&"!"#!’!!!!)(#)#($% $"+%æ(cid:242)\Uæ(cid:242)¥(cid:158)(cid:139)(cid:140)5VWX8I(cid:190)7Q(cid:228)E&Z{‰I(cid:190)(cid:128)7Yz^*(cid:192)e>?(cid:192)8‘Z#%$ [(cid:213)(cid:247)(cid:149)(cid:210)(cid:154))STUVWXYZ8O .%.Ye*Y8%ZU(cid:146)&VWXI(cid:190)7QU˙ *%*Ye/YVWXI(cid:190)8Y\\(cid:224)jD]_ /%&!BYƒVWXI(cid:190)7Q8(cid:228)EO^6…(cid:133)(cid:237)(cid:238)_6… 0%s‘aRbc“d‰I(cid:190)8I(cid:190)(cid:131)(cid:220)˝&%‘a+—ef£\]gm "(%h(cid:201)(cid:140)iOjklm(cid:244)n˝F5oMlp=¨Sqr8R(cid:246)"s&V(cid:204){ot*uvw*„xp=q æy(cid:226)z&hø5{|}o~(cid:133)F8*n(cid:127)(cid:128))STUVWXYZ8O .%(cid:129)(cid:130)(cid:131)(cid:132)oth(cid:201)(cid:133)(cid:134)(cid:210)38*+(cid:224)b[A*u(cid:204)5 *%h(cid:201)(cid:140)iq3(cid:236)"⁄’C5e(&]⁄¥*+H,(cid:137)8ƒ(cid:216)(cid:135)Z /%s(cid:136)EaNL(cid:136)´r)n8D**+(cid:190)rh(cid:201)&]⁄¥(cid:223)“[f 0%h(cid:201)*u(cid:190)r˝(cid:231)(cid:137)(cid:138)~§(cid:146)§$(cid:226)rs&˙˝(cid:210)øUV(cid:140)i(cid:139)F "#%(cid:140)(cid:141)(cid:142)(cid:143)(cid:144)(cid:145)(cid:146)F¥(cid:140)(cid:141)e(cid:142)(cid:143)8](cid:147)*T(cid:147)&˛Ø§/0(cid:135)Ze(cid:209)a(cid:254)(cid:137)6…&(cid:148)m(cid:201)(cid:149)(cid:150)\(cid:213)8 d(cid:151))(cid:149)"jº(cid:153)(cid:140)(cid:141)(cid:142)(cid:143)(cid:144)8(cid:152)(cid:153)(cid:149),(cid:149)!j‘˙(cid:140)(cid:141)(cid:154)(cid:158)(cid:142)(cid:143)AQ‘~Tl(cid:155)>Q*(cid:144)(cid:156)(cid:220)e+ (cid:157)(cid:158)n#+(cid:157)(cid:158)n(cid:159)!&AA(cid:159)(cid:160)$8(cid:176)–)STUVWX(cid:156)(cid:157)8O "" !!!!!! (cid:149)" (cid:149)! .%(cid:140)(cid:141)(cid:142)(cid:143)(cid:144)(cid:226)¡(cid:210)s.I8FGC_(cid:158)¢L.U˙ *%(cid:149)"5£⁄2¥(cid:216)fl¡ƒ[8§¤q›fi§¤'*+(cid:146)(cid:147)(cid:152)(cid:153) /%(cid:181)(cid:149)!q(cid:132)&(cid:140)(cid:141)(cid:154)(cid:158)(cid:142)(cid:143)AQ‘~(cid:144)(cid:156)(cid:220)(cid:176)–‘m 0%Tl(cid:155)>Q˜(cid:140)(cid:141)(cid:154)(cid:158)(cid:142)(cid:143)AQ‘86m¡(cid:252)%&AQ‘j+8"˝(cid:144)8+(cid:157)(cid:158)n(! "’%“«O[I‹W\(cid:213)›fi8HflO+&h§flA(cid:176)–}«(cid:131)£T¡†‡)·%ts`(cid:181)}0¶•" ⁄“«8mP‚}(cid:154))STUVWX(cid:156)(cid:157)8O "" .%rs`(cid:181)}0¶•}0qh(cid:140)æ“«„”AI8(cid:159)(cid:160)M(cid:137) *%s(cid:144)(cid:156)~`]8“«`(cid:181)»,8˝ƒ(cid:159)fl&}(cid:154)(cid:236)](cid:159)(cid:160) /%`(cid:181)}0(cid:151)(cid:152)5}0Kz(cid:160)…8V…"4O*fl4e^_n54 0%“«`(cid:181)}0(cid:151)(cid:152)5s{8}0Kø§¤(cid:148)‰~d(cid:246)(cid:190).¿f "-%·%tw(cid:192):`´ˆ˜¯(cid:231)5˛3“«(cid:153)s8’()#&K$(cid:204)(cid:147)˘T^_5&}(cid:154)^¥(cid:204)K$M´ ˘T)STUVWX(cid:156)(cid:157)8O "" .%w’()#&K$(cid:145)(cid:147)˘T^_qs˙y.(cid:204)Ec *%(cid:224)¨K$(cid:192)R(cid:201)]O}(cid:154)(cid:204)K$M´˘T8I˚‰(cid:153) /%’()#&K$b(cid:209)(cid:209)(cid:147)˘T^_kl]m0¸caYu(cid:192)R 0%4/1(cid:204)6’()#&K$˝d(cid:246)˝˛˘I¥K´ˇ8(cid:144)+ !!"!#$%&"!"#!’!!!!+(#)#($% $P#Q<=*!>*?&@*"?%&B$ "=%#"(n$—(cid:209)·O+*fls|(cid:210)(cid:211)&@(cid:209)⁄(cid:212)!&(cid:213)(cid:214)(cid:215)(cid:150),(cid:216)(cid:217)⁄(cid:212)%&@]s|`(cid:218))(cid:247)(cid:149)j—(cid:209) ·O+^_z(cid:226)*8(cid:222)n^_FG(cid:151)(cid:152)(cid:154)(cid:155)(cid:149))(cid:219)(cid:220)ST(cid:221)(cid:222)- #"$(cid:128)—(cid:209)·O+8(cid:214)F(cid:153)s(cid:151)(cid:152)5&!!!!qh(cid:153)j(cid:223)˝(cid:224)n/C8(cid:201)]+A)—(cid:209)·O+8⁄ ! Æ3u(cid:128)@(cid:209)VV&¡(cid:128)(cid:216)(cid:217)(cid:226)$(cid:239)(cid:240)/C&⁄[M(cid:137)ª(cid:211)8„(cid:228)O !) ! #!$%r(cid:246)p<{(cid:229)/C58C(cid:128)—(cid:209)·O+(cid:176)fl^_58(cid:160)¢(cid:151)(cid:152)&q3(cid:151)!!!!!!!!#· ! %(cid:230)c$(cid:146)§(cid:231)Ł) #)$(cid:158)æ(cid:242)ˆ`j¥Ø(cid:242)(cid:212)(cid:220)~(cid:158)[Œ—(cid:209)·ºlO+(cid:214)F(cid:153)s(cid:158)^_.(cid:239)8(cid:176)–&<=¥‘˙(cid:236)(cid:237) S/C(cid:239)(cid:240)(cid:236)(cid:192)(cid:158)(cid:237)z(cid:236)(cid:192)&\](cid:247)S(cid:192)(cid:210)(cid:154)) ! (cid:212)(cid:220)+D ( "& "( !& !( )& (cid:214)(cid:238)S/C ! (cid:239)(cid:240)(cid:236)(cid:192)+#?E"F$ " "%( !%= )%( )%" ) (cid:239)(cid:240)S/C ! (cid:237)z(cid:236)(cid:192)+#?E"F$ &%# &%= "%" ! )%) )%= &g˝s|(cid:212)(cid:220)º=j!&D&‰ºlO+(cid:128)(cid:131)V(cid:152)(cid:153)z(cid:214)(cid:238)"#F8ß(cid:252)S&[æ(cid:216)(cid:133)(cid:152)(cid:153)z /C(cid:237)(cid:238)Qj!!!!) ! %·æ\U(cid:226)⁄&(cid:128)(cid:214)(cid:238)(cid:236)(cid:237)S&(cid:176)fl^_5G=(cid:146)§(cid:214).(cid:239)&QC(cid:158)/C(cid:229)(cid:230)(cid:137)\F1G*4#/$& ! ! ( C(cid:158)1G*4(cid:128)1G;HIJ@“ˇE(cid:153)sS„[(cid:204)T¯(cid:231)(cid:237)z/C 8(cid:151)(cid:152)&‰(cid:151)(cid:152)=»(cid:242).34e ! ! 2.047&$(cid:228)ł!˙(cid:153)+8@Qd(cid:246)(cid:252)%(cid:214).(cid:239))3\(cid:243)j&6F3œ(cid:253)qh(cid:252)%(cid:214).(cid:239)&f (cid:181)O!!!!!!!!!!!!)(cid:244)¯(cid:231)(cid:236)(cid:237)eaQ(cid:228)E(cid:211)(cid:244)&(cid:214).(cid:239)(cid:158)3ı.(cid:239)8(cid:139)N(cid:128)(cid:218) !!!!!!!!!!!) !&%#"-n$“(cid:246)(cid:247)Uł83le(cid:127)lO[~U~(cid:137)i&Io8ø(cid:149)eœßO(cid:252)[~U~(cid:137)i)⁄3(cid:253)F 3lœß“(cid:246)(cid:158)(cid:253)F(cid:127)lø(cid:149)“(cid:246)N¤&(cid:128)U˙s|(cid:236)(cid:237)S*fl&(cid:226)⁄953[(cid:254)(cid:192)_j3lœß " #O(cid:254)<$&§(cid:255)9~(cid:192)⁄j3lø(cid:149))93lø(cid:149)O(cid:254)(cid:212)¤Z9&9“(cid:246)O(cid:254)53lø(cid:149)3!’+(cid:254)& " " ! ! (cid:127)lø(cid:149)3!"!(cid:254)&3lœß3="(cid:254)&(cid:127)lœß3’"(cid:254))(cid:219)(cid:220)ST(cid:221)(cid:222)- #"$:;hmN¤"#\]qe<&(cid:214)(cid:131)W!!!!~(cid:146)!K$«º&(cid:137)(cid:138)K$!!!!=Q&(cid:247)Uł "l”(cid:238)W˘~(cid:146)!K$«º&#;O!!!!!!!!!!!!!!!!!!) #!$953lø(cid:149)O(cid:254)3!!!!IK$_&(cid:127)lœßO(cid:254)5aº=(cid:159)(cid:160)8‚!!!!) ! #)$%(cid:246)(cid:128)95$»%(cid:140)(cid:141)(cid:253)F83lø(cid:149)A(cid:204)&q(cid:210)ø8&(cid:220)(cid:230)cO !) ! #+$(cid:145)’O(cid:254)<^⁄8[$3˘Iqa-&(!)•‘k*(cid:226)*¥(cid:212)¤,%+!8(cid:158)TU(cid:214)«º(cid:214)(cid:131) !!"!#$%&"!"#!’!!!!((#)#($% $8K$(cid:226)*¥,(cid:228))-˝˛&.8"#(cid:230)/Z=O0I[$(cid:210)’&%1^2(cid:176)\]ø\3) "#(cid:230)/- !) 2(cid:176)\]ø\3- !) !"%#"#n$ˆ4C(cid:201)567F8O[IH(cid:137)9„(cid:156)9’(8:*&§*$6[OH;n(cid:150)8[I?@(cid:137)9„¢A&§n(cid:150)e(cid:153)sœf(cid:247)(cid:149)(cid:210)(cid:154))(cid:219)(cid:220)ST(cid:221)(cid:222)- #"$H;<(cid:244),ABy(cid:146)(cid:147),AƒB8(cid:230)Cj!!!!)H;