当前位置:首页>文档>精品解析:陕西省咸阳市实验中学2023-2024学年高三上学期适应性训练(一)地理试题(原卷版)_2024年2月_01每日更新_21号_2024届陕西省咸阳市实验中学高三下学期适应训练(一)

精品解析:陕西省咸阳市实验中学2023-2024学年高三上学期适应性训练(一)地理试题(原卷版)_2024年2月_01每日更新_21号_2024届陕西省咸阳市实验中学高三下学期适应训练(一)

  • 2026-03-25 03:07:48 2026-02-18 07:54:41

文档预览

精品解析:陕西省咸阳市实验中学2023-2024学年高三上学期适应性训练(一)地理试题(原卷版)_2024年2月_01每日更新_21号_2024届陕西省咸阳市实验中学高三下学期适应训练(一)
精品解析:陕西省咸阳市实验中学2023-2024学年高三上学期适应性训练(一)地理试题(原卷版)_2024年2月_01每日更新_21号_2024届陕西省咸阳市实验中学高三下学期适应训练(一)
精品解析:陕西省咸阳市实验中学2023-2024学年高三上学期适应性训练(一)地理试题(原卷版)_2024年2月_01每日更新_21号_2024届陕西省咸阳市实验中学高三下学期适应训练(一)
精品解析:陕西省咸阳市实验中学2023-2024学年高三上学期适应性训练(一)地理试题(原卷版)_2024年2月_01每日更新_21号_2024届陕西省咸阳市实验中学高三下学期适应训练(一)
精品解析:陕西省咸阳市实验中学2023-2024学年高三上学期适应性训练(一)地理试题(原卷版)_2024年2月_01每日更新_21号_2024届陕西省咸阳市实验中学高三下学期适应训练(一)
精品解析:陕西省咸阳市实验中学2023-2024学年高三上学期适应性训练(一)地理试题(原卷版)_2024年2月_01每日更新_21号_2024届陕西省咸阳市实验中学高三下学期适应训练(一)
精品解析:陕西省咸阳市实验中学2023-2024学年高三上学期适应性训练(一)地理试题(原卷版)_2024年2月_01每日更新_21号_2024届陕西省咸阳市实验中学高三下学期适应训练(一)
精品解析:陕西省咸阳市实验中学2023-2024学年高三上学期适应性训练(一)地理试题(原卷版)_2024年2月_01每日更新_21号_2024届陕西省咸阳市实验中学高三下学期适应训练(一)
精品解析:陕西省咸阳市实验中学2023-2024学年高三上学期适应性训练(一)地理试题(原卷版)_2024年2月_01每日更新_21号_2024届陕西省咸阳市实验中学高三下学期适应训练(一)

文档信息

文档格式
docx
文档大小
3.591 MB
文档页数
9 页
上传时间
2026-02-18 07:54:41

文档内容

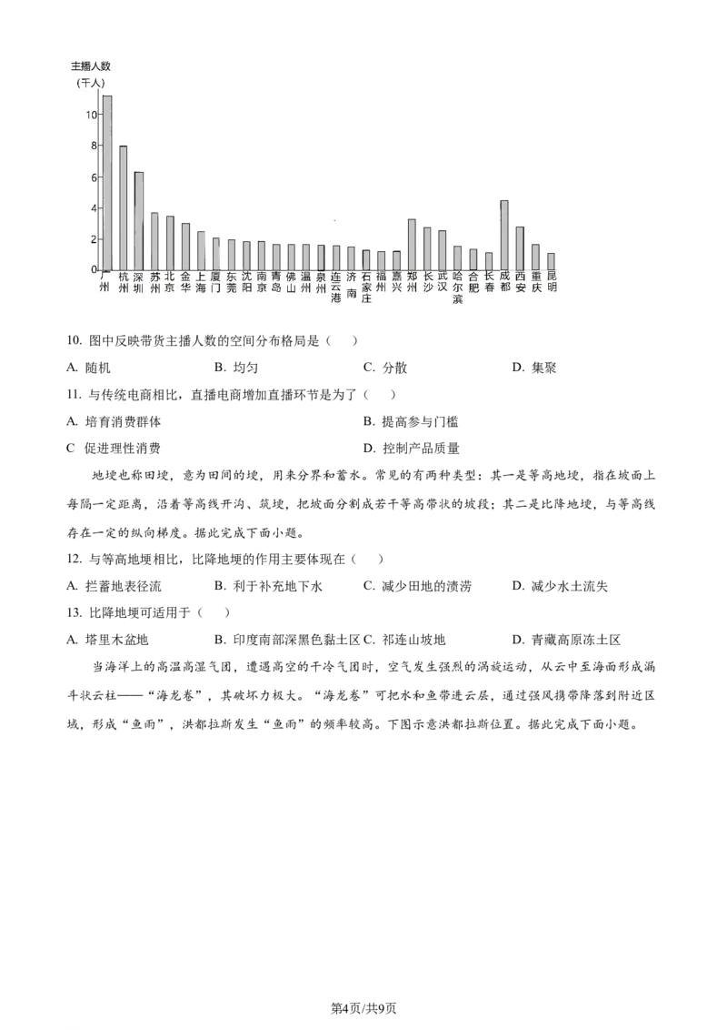
咸阳市实验中学 2024 届高三适应性训练(一) 地理试题 注意事项: 1.本试题共8页,满分100分,时间90分钟。 2.答卷前,考生务必将自己的姓名、班级和准考证号填写在答题卡上。 3.回答选择题时,选出每小题答案后,用2B铅笔把答题卡上对应题目的答案标号涂黑。如 需改动,用橡皮擦干净后,再选涂其它答案标号。回答非选择题时,将答案写在答题卡上。 写在本试卷上无效。 4.考试结束后,监考员将答题卡按顺序收回,装袋整理;试题不回收。 第I卷(选择题共44分) 一、选择题(本大题共22小题,每小题2分,共44分。在每小题给出的四个选项中,只有 一项是符合题目要求的。) 2022年8月,中国老年人才网正式上线,对发掘老年人力资源具有积极的促进作用。当前,全社会已 充分意识到老年群体中蕴含着丰富潜能和广阔市场,促进低龄老年(60~69岁)人口再就业已经从理念转 化为实际探索。据此完成下面小题。 1. 以下最适合低龄老年人口再就业的职业是( ) A. 会计师 B. 档案员 C. 工程师 D. 推销员 2. 低龄老年人口再就业( ) ①有利于促进老年群体“银发红利”的实现 ②会降低全年龄群体就业市场的活跃度 ③有利于缓解我国的人口老龄化问题 ④会削弱中华民族“老有所养”的优良文化传统 A. ①② B. ③④ C. ②③ D. ①③ 就近城镇化是我国中西部地区破除异地城镇化模式弊端,推进新型城镇化健康发展的现实路径选择。 某科研团队把我国中西部地区的就近城镇化进一步分为本镇城镇化、本县城镇化、本省城镇化三种类型 (如图)。据此完成下面小题。 第1页/共9页 学科网(北京)股份有限公司的 3. 图示甲、乙、丙分别代表 最可能是( ) A. 省会、小城镇、县城 B. 小城镇、县城、省会 C. 小城镇、省会、县城 D. 县城、省会、小城镇 4. 关于就近城镇化的特点,下列说法合理的是( ) A. 生态环境影响较小 B. 以工商业者迁移为主 C. 迁入地为大中城市 D. 有利于区域协调发展 5. 推进中西部地区就近城镇化的核心举措是( ) . A 推进非农产业发展 B. 扩大建设用地供给 C. 健全城市公共服务 D. 完善社会福利保障 下图为某地区地质剖面图(甲为断层),据此完成下面小题。 第2页/共9页 学科网(北京)股份有限公司6. 图中地质作用形成的先后顺序正确的是( ) A. 丁晚于丙 B. 甲晚于乙 C. 甲晚于丙 D. 丁晚于乙 7. 图中石灰岩厚度差异较大,主要原因是( ) A. 岩性差异 B. 侵蚀差异 C. 水热差异 D. 堆积差异 苔藓植物是喀喇昆仑山区地被层植物主要的建群种,垂直分异明显。下图示意喀喇昆仑山苔藓植物垂 直地带分布及其种数垂直分布规律。据此完成下面小题。 的 8. 喀喇昆仑山山麓地带苔藓植物种数较少 主要原因是( ) A. 人类干扰 B. 光照较弱 C. 热量不足 D. 风力强劲 9. 喀喇昆仑山苔藓植物种数峰值区( ) A. 以灌丛草甸植被为主,植被盖度高 B. 降水较多,坡面水分条件好 C. 腐殖质层较薄,土壤分层差且贫瘠 D. 分布下界受热量因素影响大 近年来短视频社交平台抓住变革契机,带动传统电商从被动营销转向互动营销,使直播带货快速兴起 为新兴电子商务业态。下图示意我国最大短视频社交平台带货主播人数分布(全国前30名城市)。据此完 成下面小题。 第3页/共9页 学科网(北京)股份有限公司10. 图中反映带货主播人数的空间分布格局是( ) A. 随机 B. 均匀 C. 分散 D. 集聚 11. 与传统电商相比,直播电商增加直播环节是为了( ) A. 培育消费群体 B. 提高参与门槛 . C 促进理性消费 D. 控制产品质量 地埂也称田埂,意为田间的埂,用来分界和蓄水。常见的有两种类型:其一是等高地埂,指在坡面上 每隔一定距离,沿着等高线开沟、筑埂,把坡面分割成若干等高带状的坡段;其二是比降地埂,与等高线 存在一定的纵向梯度。据此完成下面小题。 12. 与等高地埂相比,比降地埂的作用主要体现在( ) A. 拦蓄地表径流 B. 利于补充地下水 C. 减少田地的渍涝 D. 减少水土流失 13. 比降地埂可适用于( ) A. 塔里木盆地 B. 印度南部深黑色黏土区C. 祁连山坡地 D. 青藏高原冻土区 当海洋上的高温高湿气团,遭遇高空的干冷气团时,空气发生强烈的涡旋运动,从云中至海面形成漏 斗状云柱——“海龙卷”,其破坏力极大。“海龙卷”可把水和鱼带进云层,通过强风携带降落到附近区 域,形成“鱼雨”,洪都拉斯发生“鱼雨”的频率较高。下图示意洪都拉斯位置。据此完成下面小题。 第4页/共9页 学科网(北京)股份有限公司14. 最易受“海龙卷”影响的区域位于洪都拉斯( ) A. 东南部 B. 西南部 C. 西部 D. 北部 15. 推测洪都拉斯“鱼雨”现象出现频率最高的时段是( ) A. 2~3月 B. 5~7月 C. 9~10月 D. 12月~次年1月 16. “海龙卷”破坏力极大的直接原因是( ) A. 风力强劲 B. 气压极高 C. 雷暴频发 D. 对流旺盛 彼得罗巴甫洛夫斯克是俄罗斯堪察加边疆区的首府,是堪察加半岛最大的城市和俄罗斯远东地区第四 大城市,人口近20万。该市无铁路与外界连接,一般都是通过飞机或海运与外界联系。目前每年有很多游 客到访,现在有20家公司提供滑翔伞的产品。下图为彼得罗巴甫洛夫斯克地理位置示意图及滑翔伞照片。 据此完成下面小题, 17. 彼得罗巴甫洛夫斯克没有修建铁路的自然原因是( ) ①需求量低②地理位置偏僻,距内陆远③地表冻土多④资源匮乏 A. ①② B. ②③ C. ③④ D. ①④ 18. 推测促使彼得罗巴甫洛夫斯克市早期兴起的主要产业最可能是( ) A. 滑翔伞制造业 B. 旅游业 C. 采矿业 D. 渔业 第5页/共9页 学科网(北京)股份有限公司19. 当地滑翔伞需求量较大的原因主要是( ) . A 出行较方便 B. 购买力较强 C. 地势起伏大 D. 天气多变 某天文爱好者在同一地点连续3个月对太阳位置进行观测,记录了每月22日当地7时太阳位置并合成 如下示意图。据此完成下面小题。 20. 观测者选择的月份可能是( ) A. 11、12、1 B. 3、4、5 C. 5、6、7 D. 8、9、10 21. 该地最可能位于( ) A. 上海 B. 悉尼 C. 新加坡 D. 巴西利亚 22. 6月份,该地影子朝向正西的时刻约为当地时间( ) A. 6:00 B. 9:00 C. 15:00 D. 18:00 第Ⅱ卷(非选择题共56分) 二、非选择题(本大题包括必考题和选考题两部分,共56分。第23~25题为必考题,每个试 题考生都必须作答。第26~27题为选考题,考生根据要求作答。) 23. 阅读图文资料,完成下列要求。 英国东南部人口密度较大,经济发达,能源消费结构以常规能源为主。为改善能源结构和实现碳中和 目标,英国大力发展海上风电。目前,英国已建成40多个海上风电场(下图)。同时,英国也加快与其它 国家清洁能源的互联合作,例如与丹麦共建的“维京连线”工程,可实现两国清洁能源的双向传输。 第6页/共9页 学科网(北京)股份有限公司(1)与西部海域相比,说明英国东部海域风电场分布更多的主要原因。 (2)分析海上风电场采用海底电缆方式输电的优势。 (3)简述“维京连线”工程对调节英国风电供需的作用。 24. 阅读图文材料,完成下列要求。 普洱市宁洱县困鹿山村深居山林之中,其古茶园中有存活百年、高大挺拔的普洱古茶树,曾是清代皇 家贡茶园。20世纪70~80年代,普洱茶市场价格低,当地村民将部分古茶树砍断矮化,改种粮食作物、 经济作物和台地茶(树龄较短、生长较快、密植高产,一般需要按期施肥及喷洒农药),但效益不佳,村 民大量外出务工。2000~2007年,随着“普洱茶热”的兴起和对普洱茶“愈陈愈香”的追求,当地政府大 力发展以古树茶为主的普洱茶产业,兴建“生态茶园”,将在古茶园中传统木屋居住的茶农,搬迁至距离 古茶园1km之外的现代化楼房。2019年困鹿山村古树茶以每公斤5万~8万元的价格登上云南普洱茶价格 榜首。下图示意普洱市及困鹿山村地理位置。 第7页/共9页 学科网(北京)股份有限公司(1)与台地茶相比,分析困鹿山村古树茶价格昂贵的原因。 (2)说明茶农搬迁至古茶园1km之外,对困鹿山村普洱茶产业发展的积极影响。 (3)指出该村大力发展普洱茶产业可能给发展带来的潜在问题。 25. 阅读图文材料,完成下列要求。 盐沼常发育于潮间带的淤泥质海岸;盐生草本植物生长于盐沼面上并受海水的周期性淹没,对水温极 为敏感。盐沼面上的潮沟网系具有输送水沙物质的功能。盐沼区的变化受潮水涨落影响,小潮时水流主要 在潮沟中运动,大潮时水流可浸漫盐沼的大部分,水流溢出潮沟、漫过盐沼表面。近年来由于气候变化, 盐沼面积大幅度减少,亟待保护。江苏弶港盐沼(下图)地处中国东部淤进型强潮海岸,潮沟广泛发育, 盐沼达15km²。 (1)根据当地自然环境,简述盐生草本植物的生长习性。 (2)分析潮水涨落时,潮水通过潮沟对盐沼区地表形态变化的影响。 (3)从气候的角度分析近年来弶港盐沼地面积大幅度减少的原因。 (4)有专家建议将盐沼区开发成为滨海湿地公园,你是否同意,请表明观点并说明理由。 26. [地理——选修3:旅游地理] 第8页/共9页 学科网(北京)股份有限公司近年来,西藏凭借独特且丰富的旅游资源吸引了许多人,游客规模呈指数式增长。根据入藏旅游流网 络结构,可将西藏旅游地划分为3种节点类型,由核心节点到边缘节点,自然和社会环境条件逐渐变差。 旅游组织模式主要分为团队游(以中老年群体为主)和自助游(以年轻人群体为主),团队游和自助游在 游客群体、旅游偏好、支出成本等方面存在较大差异。图示意入藏旅游目的地层级体系与团队游、自助游 组织模式对应关系。 从涉及的旅游地节点类型角度,说明入藏团队游和自助游的异同点,并分析原因。 27. [地理——选修6:环境保护] 阅读图文材料,完成下列要求。 近年来,农业面源污染逐渐成为农村水体污染的主要类型。江西省定南县是珠江流域东江发源地之一, 境内定南河是东江一级支流。定南县农村面积约755 km2,以种植业、水产养殖业及畜禽养殖业为主,农 业面源污染严重。下图分别示意2021年定南县农业面源污染物总氮、总磷排放量的空间分布。 指出2021年定南县总氮、总磷排放量的空间分布特点,并为减少其排放量提出可行性建议。 第9页/共9页 学科网(北京)股份有限公司