当前位置:首页>文档>化学安徽省华师联盟2025~2026学年秋季学期高二期中质量检测(6092B)_2025年11月高二试卷_251121安徽省华师联盟2025~2026学年秋季学期高二期中质量检测(6092B)(全)

化学安徽省华师联盟2025~2026学年秋季学期高二期中质量检测(6092B)_2025年11月高二试卷_251121安徽省华师联盟2025~2026学年秋季学期高二期中质量检测(6092B)(全)

  • 2026-03-21 09:57:11 2026-02-18 13:20:23

文档预览

化学安徽省华师联盟2025~2026学年秋季学期高二期中质量检测(6092B)_2025年11月高二试卷_251121安徽省华师联盟2025~2026学年秋季学期高二期中质量检测(6092B)(全)
化学安徽省华师联盟2025~2026学年秋季学期高二期中质量检测(6092B)_2025年11月高二试卷_251121安徽省华师联盟2025~2026学年秋季学期高二期中质量检测(6092B)(全)
化学安徽省华师联盟2025~2026学年秋季学期高二期中质量检测(6092B)_2025年11月高二试卷_251121安徽省华师联盟2025~2026学年秋季学期高二期中质量检测(6092B)(全)
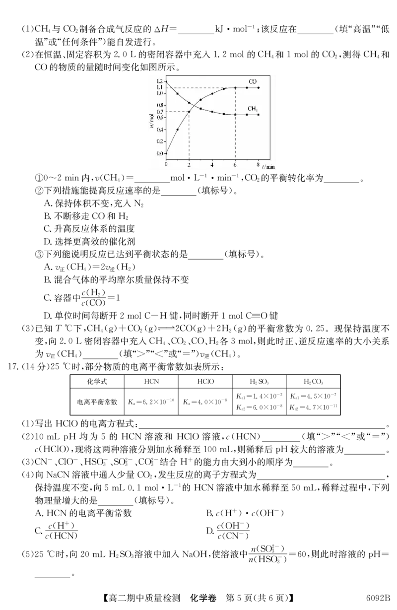
化学安徽省华师联盟2025~2026学年秋季学期高二期中质量检测(6092B)_2025年11月高二试卷_251121安徽省华师联盟2025~2026学年秋季学期高二期中质量检测(6092B)(全)
化学安徽省华师联盟2025~2026学年秋季学期高二期中质量检测(6092B)_2025年11月高二试卷_251121安徽省华师联盟2025~2026学年秋季学期高二期中质量检测(6092B)(全)
化学安徽省华师联盟2025~2026学年秋季学期高二期中质量检测(6092B)_2025年11月高二试卷_251121安徽省华师联盟2025~2026学年秋季学期高二期中质量检测(6092B)(全)

文档信息

文档格式
pdf
文档大小
0.856 MB
文档页数
6 页
上传时间
2026-02-18 13:20:23

文档内容

%#%’!%#%",-./,#!"#$%&’( !"$% &’()% !(!"!##"&#$%&)’"’’ %(#()*%&+,*-*.*/01’23/45/26*-7&8%&9:;*/01<=/ >?*-@ABC(D23/+8EF#(’GHCIJKLM:.*/01N/?*/OPQ) *&*+,%-./01,234&5$%#)6789:,34’ !!!!!!!!!!!!! !!!! !!!!!!!! *(RST/UV%23WXY!Z[\]Z^\Z_‘’ ab8c?d%?!.@%&A@%*B&?.%B’5A@%C+1DE?@A:B 0(CD*EFG+H0IJKLMN6OPQ:RS &(TUVWX*Y"Z[+\]^&;,_‘;ab_ ,(cDde_H0IfghJgij&klmnKfgno 1(hgpqrstuvwxyqr&z_{|}&b& %(,/"2#3%+ "2#"#,+/+"2#Bp~(cid:127)N6Z(cid:128):(cid:129)(cid:130)PQ’(cid:131):b&(,+/+"8#:\]b"# % * ?:$;>,478:!’(cid:138)23b;,(cid:152)(cid:153)(cid:154)(cid:155)(cid:156)@A:B ! 0(+ "2#3 /"2#$$$+/"2#!"#?:";>,478:! % % % % &(%+/"2#$$$%+ "2#3/"2#!"#%%";>,478:! % % % * ,(,+/+"8#3 /"2#$$$,/"2#3%+/"2#!"#?:$;>,478:! * % % % % 1(,/"2#3*+ "2#$$$,+/+"8#3+/"8#!"#?"$:*"#;>,478:! % % * % .(23(cid:157)us_D(cid:158)(cid:159)(cid:160)3¡¢g£:B 0(%’!!##@&(cid:132)lm⁄!&¥p:A+ƒ§ &(¤,/$':“«{‹!›fifl$g' ,(u(cid:145)(cid:176)D–†‡·(cid:181)p¶•‚„(cid:127) 1(LMN6O$&”»!l:PQ…‰ !!"#$%&’(!!"#!)!!!!!*"+"*#$ "#$%& 书书书’(231(cid:190)RS)¿S(cid:192);,PQ(cid:152)`:´¶$@A:B 0(+/ˆs˜¯(cid:151)2:¿˘%%-+/"B#.%%-+/"8#.%%-+/"2#. % % % % &(˙B¨(cid:130)(cid:201)b˚_¸(cid:149):;,PQ&(cid:142)B(cid:204)bPQ ,(˝l2&,=,/"B#$$$,=/"B#3,/"2#s_˛¸Wˇ&(cid:138)—PQ:"#%# * % 1((cid:209)(cid:181)(cid:210)(cid:211)-=,/(cid:212)(cid:213)(cid:214)-=+,/(cid:212)(cid:213):PQ&(cid:142)a{bPQ % * * (cid:215)(cid:216)ij&(cid:147)6"!)§(cid:217)% ij"+,//+&&?!())C!#:’#klmn[opqr?stuvw’xuye,/ az{ = % +,//+&|}%~p(cid:127)(cid:128)w,/((cid:129)&(cid:130)xu(cid:131)=(cid:132)(cid:133)(cid:134)(cid:135)(cid:136)(cid:137)’ "((cid:218)(cid:219)lm2&01+,//+(cid:220)(cid:150):´¶@A:B !"+3# 0((cid:201)‹(cid:221)&+,//-=(cid:212)(cid:213)&(cid:220)(cid:150)$ ƒ§ !"+,//+# &((cid:201)‹(cid:221)&A+?!!:Op&+,//+ (cid:222)(cid:223)(cid:141)(cid:224)Æ` (cid:226)ª ,((cid:228)‹(cid:221)&+,8(cid:127)(cid:213)&(cid:220)(cid:150)$!"/+:#(cid:229)} 1((cid:230)(cid:231)⁄!lm&(cid:220)(cid:150)$!"+,//:#ƒ§ )(231(cid:190)Ł;PQØ(cid:153):´¶Œº:B 0((cid:149)6+,//+(cid:236)(cid:153)$&(cid:237)ˆ(cid:238)(cid:239)(cid:240):æ(cid:242)(cid:211)(cid:243)6 &((cid:230)(cid:231)⁄!lm&H(cid:244)!,/:(cid:141)(cid:224)‘;(cid:144) % ,((cid:149)6,/‡+/:ı(cid:143)(cid:246)(cid:247)B+&3,/$$$&,//+ % % 1((cid:149)6,/:”»(cid:239)!(cid:190)(cid:149)6+,//+:”»(cid:239) D(˝l2&23łø(cid:223)œˆß(cid:219)(cid:220)(cid:150)$(cid:218)(cid:219)_}&+(cid:237):B 0((cid:252)(cid:253)(cid:254)(cid:255):(cid:220)(cid:150)$%,E%3)-=3)F/%:)-/: . * &(A+?!:(cid:220)(cid:150)$%G3)HI%3),8:)-/: * !"+3# ,(82 ?!%:(cid:220)(cid:150)$%-=3)+,/:),8:)F/%: !"/+:# * . 1((cid:201)‹!"#(cid:149)r(cid:127):(cid:220)(cid:150)%G3)-=3)-/:)F/%: * * $($%&’"D+J6(cid:140)(cid:137)#ß(cid:137)XB(cid:218)(0)*(cid:210)&+(cid:222)(cid:223)(cid:141)(cid:224)a+J6",y#"#+33J6:"’y#’ (cid:131)<+A+Sy-.aD(#!$("’23/挺:B 0(0(cid:221)&$%&’(cid:220)(cid:150)1‹¥p$2,y &(`90—ß(cid:137)X:(cid:220)(cid:150)$(cid:228)‹(cid:221)&-+ &(cid:220)(cid:150)3,ySa’y * ,($%&’ß(cid:137)X4(cid:190)*(cid:222)g% 1(`90—ß(cid:137)X:(cid:220)(cid:150)$1(cid:201)(cid:221)&-=/+(cid:220)(cid:150)&+(cid:222)(cid:223)(cid:141)(cid:224)5(cid:226) !#(6l)67:897:$&Wˇ(cid:134)2PQ0"B#3*&"2#"#%,"2#3%1"2#!"#%#&(cid:138)23´¶ Œº:B 0((cid:231)7:(cid:139)(cid:127)(cid:213)8ms;S;^&s_´(cid:255)PQ<=(cid:141)(cid:224) &(<=(cid:141)(cid:224)^&⁄!(cid:213)>lm&?C’ )’ (cid:142)(cid:229)} @ Æ ,(ˆ7:$@‹A(cid:127)&›BCD(cid:229)}&EPQ(cid:143)(cid:144)sS 1(07:(cid:213)F›G&HH(cid:229)}IJ(cid:213)F(cid:139)K;fœL !!"#$%&’(!!"#!)!!!!%*"+"*#$ "#$%&!!(23u(cid:145)MN_<=u(cid:145)O::B ”P u(cid:145)MN u(cid:145)O: `G,K/(cid:220)(cid:150)$1(cid:201)(cid:221)&-=/+(cid:220)(cid:150)&;1(cid:201)(cid:221)&+F/ TU(cid:220)(cid:150)(cid:210)V(cid:239)W(cid:134)2(cid:141)(cid:224):XY% % % ) % . 0 (cid:220)(cid:150)&QRSyS; ,K/%:"Zy#3+/"#%,K/%:",y#3%+3 % ) % . & DA+[(&+H(cid:211)+,-(cid:220)(cid:150):A+ \]& = "+H#(cid:211)& = "+,-#:}§ 0’49#(!478,9:!:GJ(cid:220)(cid:150)‡’49!478,9:!: , TUHI*3(cid:211)J:PQB‘aHÆPQ HI,8(cid:220)(cid:150)@f^N_&1(cid:201)GF,-(cid:220)(cid:150)&QRSyS; * `a0b(cid:213)F)bcmdfip:efgh$fi1(cid:201)*1b 1 W\HI*3‡,E%3W—PQ:Ł;I7 cm:„;E(cid:220)(cid:150)‡j(cid:210)k(cid:220)(cid:150) !%(23´¶@A:B 0(˜l˜›2&+ "2#3,8"2#$$$%+,8"2#ˆhl‡m\…‰2:"#s˜ % % &(Dno:A+gp((cid:220)(cid:150):A+&(cid:218)(cid:219)?Cq7YK ,(br%:&:js(cid:127)‡j"fi(cid:147)(cid:148)\]&tu{|b&v 1(˝l2&A+?*:(cid:181)(cid:210)‡A+?!%:-=/+(cid:220)(cid:150)b(cid:213)F^N(cid:136)(cid:146)(cid:220)(cid:150)2(cid:210)(cid:239) !*(˝l2&cma#(#!478,9:!&(cid:213)Fa( :e((cid:218)wVL/+‡ # ( -/+&(cid:201)p(cid:209)£x(cid:213)Fa(^&(cid:220)(cid:150)A+(cid:132)82 :S;(cid:134)(cid:135)(cid:136) ( # (cid:137)’(cid:138)23´¶@A:B 0(L/+)-/+yB*V&k-/+:V(cid:239)\ L/+B &(˝l2&L/+(cid:220)(cid:150)$3p(cid:222)(cid:223)|:!%"+3#%=’M !"+3#,!"L/+# ,(˜(cid:218)lm2&L/+(cid:220)(cid:150)$ %=%M !"L3# !"L3# ( 1((cid:209)£^& (cid:132)82 (cid:229)(cid:201)zƒ§ !"-3# ( # !.((cid:218) (cid:219) l m 2&ˆ 7 F 6 a ! 9 : 8 9 7 : $&¸ (cid:149) P Q%,+/+ "2#3,/"2# * "#,+,//+"2#’ * łr%}~^:r%:& (cid:141)(cid:224)^:r%:& 7:{| ,+/+ ,/ ,+,//+ ,+,//+ * * * # #(" #(" # #(* $ # # !(% % #(* #() #(" 23´¶Œº:B 0(7:$<=(cid:141)(cid:224)^&#("478,9:!’!",+,//+#’!(%478,9:! * &(›G7:#(cid:213)F&(cid:141)(cid:224)@`(cid:226)ª&E)",+/+#3)",+,//+#?#("478 * * ,(}~¯(cid:151)2&7:%PQ`ÆPQ(cid:152)`Wˇ !",/# 1((cid:141)(cid:224)^&7:$ :˘%#%$ !",+,//+# * !!"#$%&’(!!"#!)!!!!**"+"*#$ "#$%&P)Q<=%%>%?.@%&?’DB’ !’("!’f#;,B(cid:218)(cid:127)Hu(cid:145)a(cid:128)(cid:129):˛D4,’ #((cid:130)u(cid:145)§øD’#49#(’#478,9:!(cid:181)(cid:210)(cid:211)’#49#(’’478,9:!-=/+(cid:220)(cid:150)ˆ(cid:134)(cid:135)(cid:131)(cid:132) $Wˇ$‡PQPQb:((cid:219)% "!#(cid:133)u(cid:145)(cid:131)(cid:132)(cid:134)(cid:135)&(cid:135)$z(cid:136)(cid:221):(cid:218)((cid:137)(cid:138)(cid:139):B!!!!’ "%#u(cid:145)((cid:146)(cid:140)1L(cid:141)(cid:134)2(cid:140)(cid:136)(cid:137)’ (cid:143)~lm*/@ ! u(cid:145)(cid:142)L (cid:144)(cid:145)lm*/@ (cid:141)(cid:142)lm(cid:146)"*:*#/@ % % ! (cid:181)(cid:210) -=/+"=N# (cid:141)(cid:142)˘ ! %"(# %"(% %"(! %$(. % %)(. %)(# %)(% *%(% !!!! * %"(! %’($ %"(# %$(. . %"(* %"(! %"(% %$() &(cid:147)(cid:141)(cid:134)(cid:140)H<(cid:141)(cid:142)lm(cid:146)"*:*#?!!!!@’ % ! ’(cid:148)(cid:149)(cid:150)a#(’#478,9:!(cid:181)(cid:210)(cid:211)#(’’478,9:!-=/+(cid:220)(cid:150):8m(cid:142)a!2,O4:*&$‡ _(cid:149)6(cid:220)(cid:150):\b7a!?.(!D>,2:!,@:!’(cid:138)(cid:134)?u(cid:145)((cid:146):$‡PQPQb "#?!!!!;>,478:!"(cid:151)(cid:152)§Lm_(cid:218)J#’ (23MN$?C$‡PQPQb"#Y}:B!!!!"(cid:153)(cid:154)|#’ 0((cid:155)(cid:156)u(cid:145):(cid:231)(cid:157)(cid:176)l(cid:158)! &(Db(cid:213)F)br%:&cm:,+,//+(cid:220)(cid:150)(cid:159)(cid:160)(cid:181)(cid:210) * ,(fv(cid:142)0-=/+(cid:220)(cid:150)¡‹a0(cid:181)(cid:210):§]¢$ 1(Dlm[((cid:219)-=/+(cid:220)(cid:150)}~lm_£⁄((cid:219)(cid:181)(cid:210):lm $(fi;z¡1(cid:219)BcD(cid:131),478:!# .!% ).* .*" !#)% !!"#$%&’(!!"#!)!!!!.*"+"*#$ "#$%&"!#,+ (cid:211),/q¿N6(cid:127)PQ:"#?!!!!;>,478:!(—PQˆ!!!!"(cid:153)*!l+*K . % l+(cid:214)*†‡…‰+#_˛¸Wˇ’ "%#ˆ6l)(cid:212)(cid:219)7Fa%(#9:897:$@‹!(%478:,+ ‡!478:,/&((cid:146),+ ‡ . % . ,/:r%:&(cid:132)^(cid:133)S;(cid:134)(cid:135)(cid:136)(cid:137)’ &#!%456(cid:139)&’",+ #?!!!!478,9:!,456:!&,/:(cid:141)(cid:224)‘;(cid:144)a!!!!’ . % ’23`´_(cid:244)!PQ(cid:143)(cid:144):B!!!!"(cid:153)(cid:154)|#’ 0((cid:151)ˆ(cid:213)FsS&@‹- % &(sæ(cid:226)˜,/‡+ % ,(⁄!PQ(cid:213)>:lm 1(”»¯!I:Ł;X (23_´(cid:255)PQ(cid:131)<=(cid:141)(cid:224)¯(cid:151):B!!!!"(cid:153)(cid:154)|#’ 0(’ ",+ #?%’ "+ # @ . Æ % &(^N(cid:127)(cid:213):(cid:141)(cid:142)˘˙%&(cid:151)ˆsS !"+ # ,(7:$ % ?! !",/# 1(IJ^(cid:133)¨æ¶%478,:+(cid:240)&˜^æ¶!478,(/(cid:240) "*#(cid:131)<-@2&,+ "2#3,/ "2#"#%,/"2#3%+ "2#:(cid:141)(cid:224)˝La#(%’’v(cid:151)ˆlms . % % S&`%(#9897:$@‹,+ ),/),/)+ ł*478&(cid:138)(cid:201)^@)ÆPQ(cid:143)(cid:144):}§1> . % % a’ ",+ #!!!!"(cid:153)*%+*’+(cid:214)*?+#’ ",+ #’ @ . Æ . !)("!.f#%’@^&(cid:192)fr%:(cid:222)(cid:223)(cid:141)(cid:224)˝L(cid:134)(cid:140)(cid:136)(cid:137)% ;,(cid:154) +,- +,8/ +F/ +,/ % * % * & ?!(.C!#:% & ?.(’C!#:) (cid:222)(cid:223)(cid:141)(cid:224)˝L &?"(%C!#:!# &?.(#C!#:D =! =! = = & ?"(#C!#:D & ?.()C!#:!! =% =% "!#(cid:156)|+,8/:(cid:222)(cid:223)(cid:152)(cid:153)(cid:154)% !’ "%#!#49A+ (cid:142)a’: +,-(cid:220)(cid:150)‡ +,8/(cid:220)(cid:150)&!"+,-#!!!!"(cid:153)*%+*’+(cid:214)*?+# !"+,8/#&v0˚e((cid:220)(cid:150)fi(cid:201)p(cid:209)£x!##49&(cid:138)(cid:209)£_A+]}:(cid:220)(cid:150)a !’ "*#,-:),8/:)+F/:)F/%:),/%:qN+3:_¸3}=§:(cid:204)˝a!!!!’ * * * ".#`-=,-(cid:220)(cid:150)$(cid:228)‹(cid:221)&,/&¸(cid:149)PQ:(cid:223)œ(cid:152)(cid:153)(cid:154)a !& % (cid:151)ˆlmsS&`’49#(!478,9:!:+,-(cid:220)(cid:150)$(cid:201)p(cid:209)£x’#49&(cid:209)£(cid:236)(cid:153)$&23 r¢&(cid:229)}:B!!!!"(cid:153)(cid:154)|#’ 0(+,-:(cid:222)(cid:223)(cid:141)(cid:224)˝L &(!"+3#,!"/+:# !"+3# !"/+:# ,( 1( !"+,-# !",-:# )"F/%:# "’#%’@^&`%#49+F/(cid:220)(cid:150)$(cid:201)‹-=/+&C(cid:220)(cid:150)$ * ?"#&(cid:138)(cid:201)^(cid:220)(cid:150):A+? % * )"+F/:# * !!!!’ !!"#$%&’(!!"#!)!!!!’*"+"*#$ "#$%&!D("!’f#j;r"+F#B(cid:218)(˛ˇ(cid:127)(cid:213)&LM(cid:134)H—Dv((cid:152)¶cD+F’ % % (cid:152)¶(cid:218)%Z…:j;r(cid:129)(cid:190)qr’PQ¡¢a,+ "2#3%+F"2#"#,F"2#3.+ "2#!"#? . % % % 3%"’;>,478:!&PQ(cid:236)(cid:153)fe(cid:246)Wˇ% PQ#%%+F"2#"#%+ "2#3F"2#!"# ?3!D%;>,478:! % % % ! PQ$%,+ "2#3F"2#"#,F"2#3%+ "2#!"# . % % % % "!#PQ$:"# ?!!!!;>,478:!’ % "%#6›…‰2&0%478+F‡!478,+ (cid:209)‹PQ:$&ˆs˜lm2PQ(cid:140)˜^(cid:133)_&((cid:146) % . + ‡F(cid:213)FfL(cid:134)(cid:135)(cid:136)(cid:137)’ % % &(cid:210)(cid:211)!(cid:140)(cid:137)!!!!"(cid:153)*+ +(cid:214)*F+#:(cid:213)FfL(cid:132)PQlm:S;(cid:210)(cid:211)’ % % ’(cid:212)U¸v&D##!$##@(cid:139)&,F:(cid:213)FfLa#&+H_:¡(cid:213)B !’ % "*#ˆ-@)!##;<=2&}~^(cid:214))"+F#Q)",+#?%Q!"˜^(cid:228)‹(cid:218)(cid:219)&:-Wˇ(cid:209)£&-s % . % % (cid:215)(cid:211)PQ#`(cid:130)897:$@‹PQr&¸(cid:149)PQ,+"2#3%+F"2#"#,F"2#3.+"2#’ . % % % &(cid:212)U¸v&(cid:228)‹- (cid:209)£H(cid:244)!,+ :(cid:141)(cid:224)‘;(cid:144)&+¡(cid:213)B !’ % . )"- # ."+F# ’(cid:216) % ?!&k(cid:141)(cid:224)^ % ?%&(cid:138)›B(cid:141)(cid:224)˝L& ?!!!!;<=%"Df›[(cid:217): )",+ # .",F# A . % (cid:141)(cid:224)˝L(cid:218)›B(cid:141)(cid:224)˝L&&f›b(cid:190)(cid:219)›Cr%:&fL#’ A (cid:152)¶"%cDLM(cid:220)(cid:127),/(cid:211) +FN6(cid:221)(cid:128)j",/F#’PQ¡¢a,/"2#3+F"2#"# % % ,/F"2#3+ "2#!"#’#’ % !",/# ".#ˆ0Ł;X:67897:$WˇPQ&(cid:222)}~ ?/&(cid:140)˜^(cid:133)(cid:139),/:‘;(cid:144)(cid:211)/ !"+F# % (cid:192)PQlm:1>(cid:134)(cid:135)(cid:136)(cid:137)’ &/!!"(cid:153)*%+*’+(cid:214)*?+&_˜#/("##@^&&!!!!&’ ! % = M ’lm!(cid:190)’##@^&,/:‘;(cid:144)(cid:223)(cid:224)ƒ§:¡(cid:213)H_B !"(cid:153)e…#’ !!"#$%&’(!!"#!)!!!!"*"+"*#$ "#$%&