当前位置:首页>文档>荆州中学2023级高二下学期起点考试数学答案_2024-2025高二(7-7月题库)_2025年03月试卷_0306湖北省荆州中学2024-2025学年高二下学期起点考试

荆州中学2023级高二下学期起点考试数学答案_2024-2025高二(7-7月题库)_2025年03月试卷_0306湖北省荆州中学2024-2025学年高二下学期起点考试

  • 2026-04-02 15:12:35 2026-02-19 05:15:26

文档预览

荆州中学2023级高二下学期起点考试数学答案_2024-2025高二(7-7月题库)_2025年03月试卷_0306湖北省荆州中学2024-2025学年高二下学期起点考试
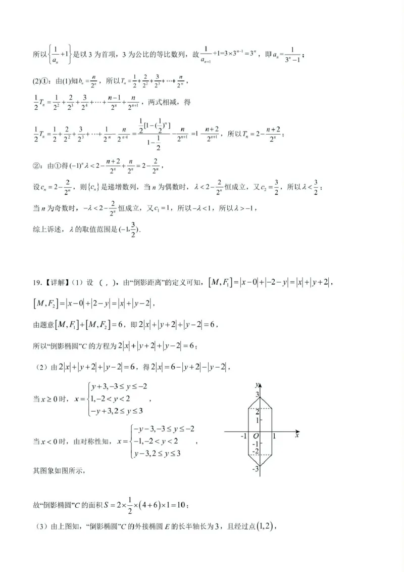
荆州中学2023级高二下学期起点考试数学答案_2024-2025高二(7-7月题库)_2025年03月试卷_0306湖北省荆州中学2024-2025学年高二下学期起点考试
荆州中学2023级高二下学期起点考试数学答案_2024-2025高二(7-7月题库)_2025年03月试卷_0306湖北省荆州中学2024-2025学年高二下学期起点考试
荆州中学2023级高二下学期起点考试数学答案_2024-2025高二(7-7月题库)_2025年03月试卷_0306湖北省荆州中学2024-2025学年高二下学期起点考试

文档信息

文档格式
pdf
文档大小
0.530 MB
文档页数
4 页
上传时间
2026-02-19 05:15:26