当前位置:首页>文档>荆州中学高二年级下学期起点考历史试卷_2024-2025高二(7-7月题库)_2025年03月试卷_0306湖北省荆州中学2024-2025学年高二下学期起点考试

荆州中学高二年级下学期起点考历史试卷_2024-2025高二(7-7月题库)_2025年03月试卷_0306湖北省荆州中学2024-2025学年高二下学期起点考试

  • 2026-03-22 14:26:04 2026-02-19 05:18:39

文档预览

荆州中学高二年级下学期起点考历史试卷_2024-2025高二(7-7月题库)_2025年03月试卷_0306湖北省荆州中学2024-2025学年高二下学期起点考试
荆州中学高二年级下学期起点考历史试卷_2024-2025高二(7-7月题库)_2025年03月试卷_0306湖北省荆州中学2024-2025学年高二下学期起点考试
荆州中学高二年级下学期起点考历史试卷_2024-2025高二(7-7月题库)_2025年03月试卷_0306湖北省荆州中学2024-2025学年高二下学期起点考试
荆州中学高二年级下学期起点考历史试卷_2024-2025高二(7-7月题库)_2025年03月试卷_0306湖北省荆州中学2024-2025学年高二下学期起点考试
荆州中学高二年级下学期起点考历史试卷_2024-2025高二(7-7月题库)_2025年03月试卷_0306湖北省荆州中学2024-2025学年高二下学期起点考试
荆州中学高二年级下学期起点考历史试卷_2024-2025高二(7-7月题库)_2025年03月试卷_0306湖北省荆州中学2024-2025学年高二下学期起点考试
荆州中学高二年级下学期起点考历史试卷_2024-2025高二(7-7月题库)_2025年03月试卷_0306湖北省荆州中学2024-2025学年高二下学期起点考试
荆州中学高二年级下学期起点考历史试卷_2024-2025高二(7-7月题库)_2025年03月试卷_0306湖北省荆州中学2024-2025学年高二下学期起点考试

文档信息

文档格式
docx
文档大小
0.678 MB
文档页数
8 页
上传时间
2026-02-19 05:18:39

文档内容

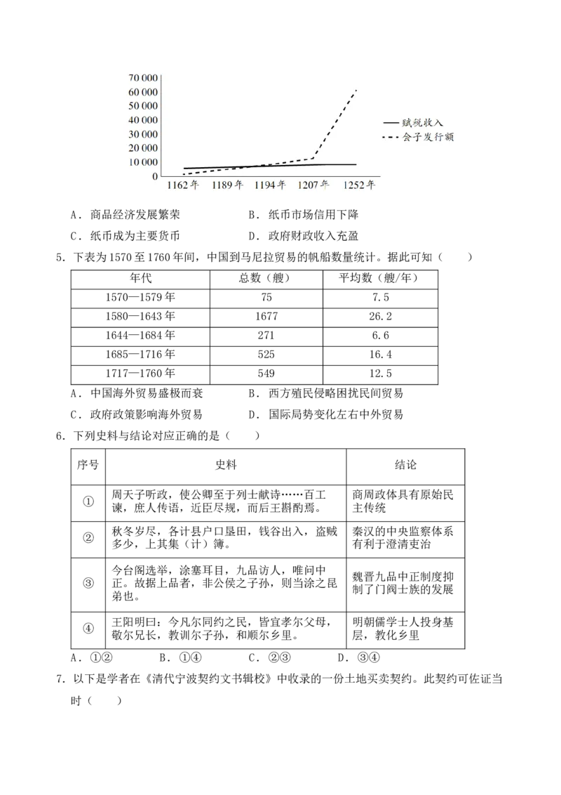
荆州中学 2024-2025 学年高二下学期起点考试 历史试题 (全卷满分100分 考试用时75分钟) 一、选择题:本题共 15小题,每小题3分,共45分。在每小题给出的四个选项中,只有一 项是符合题目要求的。 1.《史记·货殖列传》载“太公望封于营丘(临淄),地潟卤(盐地,不适宜耕种),人 民寡,于是太公劝其女功,极技巧,通(通商)鱼盐,则人物归之。”这反映了 ( ) A.临淄因经济发达成为城市 B.重农抑商政策确立 C.因地制宜推动城市发展 D.工商业市镇的兴起 2.“商鞅变法在精神文化层面保留了秦国的文化传统,进而获得了成功;北魏孝文帝改革 大量吸收了汉文化,腐蚀了拓跋族勇武质朴的特点和长处,埋下了六镇之乱的祸根”。 该历史表达旨在强调,改革要( ) A.顺应历史发展潮流 B.加强对地方的控制 C.依托本民族的文化 D.采取多样化的策略 3.《唐律疏议》是唐朝刑律及其疏注的合编,如表所示是《唐律疏议》中的节选篇目。由 此可知,《唐律疏议》( ) “率土黔庶,皆有籍书。若一户之内,尽脱漏不附籍者,所由家 《户婚 长合徒三年”;“每丁,租二石,调絁、绢二丈,绵三 律》 两……”;“诸卖口分田者,一亩笞十,二十亩加一等,罪止杖 一百,地还本主,财没不追” 《职制 “若……为举人。皆取方正清循,名行相副”;“诸监临主司受 律》 财而枉法者,一尺杖一百,一疋(同匹)加一等,十五正绞” A.强调礼法结合 B.重视官民治理 C.注重官员监察 D.限制土地兼并 4.下图所示为南宋赋税收入与会子(纸币)发行额(单位:万贯)据此表明,当时 ( )A.商品经济发展繁荣 B.纸币市场信用下降 C.纸币成为主要货币 D.政府财政收入充盈 5.下表为1570至1760年间,中国到马尼拉贸易的帆船数量统计。据此可知( ) 年代 总数(艘) 平均数(艘/年) 1570—1579年 75 7.5 1580—1643年 1677 26.2 1644—1684年 271 6.6 1685—1716年 525 16.4 1717—1760年 549 12.5 A.中国海外贸易盛极而衰 B.西方殖民侵略困扰民间贸易 C.政府政策影响海外贸易 D.国际局势变化左右中外贸易 6.下列史料与结论对应正确的是( ) 序号 史料 结论 周天子听政,使公卿至于列士献诗……百工 商周政体具有原始民 ① 谏,庶人传语,近臣尽规,而后王斟酌焉。 主传统 秋冬岁尽,各计县户口垦田,钱谷出入,盗贼 秦汉的中央监察体系 ② 多少,上其集(计)簿。 有利于澄清吏治 今台阁选举,涂塞耳目,九品访人,唯问中 魏晋九品中正制度抑 ③ 正。故据上品者,非公侯之子孙,则当涂之昆 制了门阀士族的发展 弟也。 王阳明曰:今凡尔同约之民,皆宜孝尔父母, 明朝儒学士人投身基 ④ 敬尔兄长,教训尔子孙,和顺尔乡里。 层,教化乡里 A.①② B.①④ C.②③ D.③④ 7.以下是学者在《清代宁波契约文书辑校》中收录的一份土地买卖契约。此契约可佐证当 时( )张门毛氏……民田四亩五分……其四址:上至永德房田,下至出业人田,里至……出 业人田,外至蒋家浦人更山为界……三面议开,田价钱壹百念(廿)壹千文正,其钱 当日随契收足……此系两愿,各无异言,立此永卖契为照。 道光十七年三月 注:“三面议开”指买方、卖方和证人三方商议确定,是清代契约的固定格式。 A.契约格式固定不变 B.土地兼并日趋严重 C.货币信贷显著发展 D.市场交易程序规范 8.1912年孙中山认为“国家之贫富,可以铁道之多寡定之”;1919年,孙中山在发表的 《实业计划》中提出“铁路能使人民交接日密,祛除省见,消弭一切地方观念之相嫉妒 与反对……各处方言将归消灭,而中国形成民族共同自觉之统一的国语必将出现矣”。 孙中山观念的转变( ) A.深受国内外政局变动的影响 B.促进了民族资本主义的繁荣 C.体现了反帝爱国运动的发展 D.有利于民主共和制度的巩固 9.下表是晋察冀边区北岳区1943年土地买卖关系表(单位:亩),这主要得益于根据地( ) 阶层 卖土地数 卖出百分比 买土地数 买入百分比 工人 4 0.11% 29.80 1.35% 雇农 7.3 0.2% 102.15 4.63% 贫农 492.46 13.4% 669.89 30.396 中农 765.0 20.93% 1192.18 54.1% 富农 1061.33 29.06% 113.77 5.16% 地主 1320.61 36.13% 35.25 1.59% 小工商业者 4.50 0.12% 60.70 2.71% A.减租减息政策的执行 B.进行了土地改革运动 C.贯彻“三三制”原则 D.开展“大生产”运动 10.农业的出现是人类经济和社会生活的第一次革命。人类学会了生产自己需要的产品,有 能力大批地定居下来,并且投入到许多新的工作中去,随之而来的就是专门的非农业的 工艺的发展。据此可知,农业的产生( ) A.促使人类开始选择和驯化野生动物 B.促进了生活和生产方式的变化 C.使人类摆脱了早期的渔猎采集生活 D.导致了第一次社会分工的出现 11.法国大革命后,拿破仑所领导的法国军队横扫欧洲大陆,一方面证明了民族军队的优势, 另一方面也传播了民族主义意识形态和民族国家政治形态。到19世纪和20世纪,民族主义和民族国家扩散到整个欧洲,甚至整个世界。据此推知,民族国家的大量出现 ( ) A.推动了国际政治格局的演变 B.根源于自由平等观念广泛传播 C.确立了近代国际法基本原则 D.缘于近代国际外交制度的建立 12.下图为某校历史兴趣小组绘制的“19世纪以来国际货币体系演化特征”图,其中属于布 雷顿森林体系的是( ) A.① B.② C.③ D.④ 13.从1915年到1960年,英国各类农场总数从32万个减少到29万个,到1983年进一步减 至18万个,其中300英亩以上的大型农牧场所占土地总面积的比例由27.8%提高到 54.3%。这一变化表明英国( ) A.农牧业的衰退迹象明显 B.人地矛盾日益突出 C.更多依赖国际粮食市场 D.生产方式发生巨变 14.城市轨道交通是一种依托轨道运行、借助电力驱动的城市公共客运系统。从20世纪70 年代开始,资本主义发达国家进入城市轨道交通建设高峰期,10年内全世界共建设了约 1600公里城市轨道交通线路。这一“高峰期”出现的直接原因是( ) A.汽车工业陷入瓶颈 B.能源危机连续爆发 C.政府加强宏观调控 D.城市规模快速扩张 15.下图为讽刺20世纪90年代美国提出“基于规则的国际秩序”的漫画。俄罗斯外长评论 道:”这些所谓的‘规则'越不具体,美国就越能对其随意‘装扮'。”法国前驻美大使 说:“所谓'基于规则的国际秩序',实际是不公平的‘西方秩序'。”由此可知( )A.意识形态斗争主导国际秩序的制定 B.单边霸权主义破坏了国际法原则 C.资本主义阵营内部的分化日益严重 D.“大国一致”原则丧失存在价值 二、非选择题:本题共4小题,共55分。 16.【中国古代的对外交往】(14分) 材料一 自唐初以来,朝廷以积极的态度谋求和平的国际交往。唐代侨民极多,长安城有侨民10万余人。就侨 民所从事的职业来看:有僧侣、学者、画家、匠人、艺人、商人等。唐代外商们广泛参与经济活动,使唐 代的社会生产不仅要满足国内需求,更要承担起国际生产的任务。《唐律》中甚至还包含了中国古代法律 中第一个涉外条文:“诸化外人,同类自相犯者,各依本俗法;异类相犯者,以法律(唐律)论。”唐朝 统治者处理当时国际关系时,贯彻儒家“平天下”与“协和万邦”的理想。在和平共存思想的指导下,唐 朝与周边和平交往。唐都长安成为国际性大都市。 ——摘编自沈福伟《中西文化交流史》 材料二 (明)隆庆改元,福建巡抚都御史涂泽民请开海禁,准贩东西二洋……隆庆六年,郡守罗青宵……议征 商税,以及贾舶……万历三年,中丞刘尧海请税舶以充兵饷,岁额六千……于时商引俱海防官管给,每引征 税有差,名曰引税。 ——摘编自张燮《东西洋考》 材料三 国朝(指清朝)设关之初,番舶入市者仅二十余柁。至则劳以牛酒,令牙行主之,沿明之习,命曰 “十三行”。舶长曰“大班”,次日“二班”,得居停“十三行”,余悉守舶……乾隆初年,洋行有二十家……至(乾隆)二十五年,洋商立“公行”,专办夷船货税,谓之“外洋行”…… ——摘编自梁廷枏(nán)《粤海关志》 (1)根据材料一,概括唐代对外交往的特点。(6分) (2)根据材料并结合所学知识,概括中国古代对外交往的趋势,并加以阐释。(8分) 17.【粮食安全】(14分) 材料一 17世纪的西欧由于气候变化,饥荒横行,引起了粮食供应危机。当时传统的两轮或三轮耕作制被不同 程度废止,广为人们接受的是农牧轮作制。从法国加来海峡到夏朗德的所有地区都增加了适应气候而且产 量颇高的荞麦和斯佩尔特小麦的种植。伊比利亚半岛早在 16世纪末就引入玉米,16世纪末17世纪初,玉 米种植已普及整个意大利半岛。而雨水丰沛则使来自亚洲的稻米种植面积不断增加。英国的东部“大水 平”工程,30余年造田30.7万英亩。荷兰工程师发明的排水方法每年可增 6—7平方英里可耕地。英法等 国建立了济贫院、养济院等救济机构实施救济,多次颁布法令要求乡绅带头赈灾。城镇和教区也提供一些 日常救济和临时救济。17世纪上半叶,年均14万吨谷物通过荷兰松得海峡向西流动以满足西北欧及地中 海国家和城市的粮食需求。法国柯尔伯时期则禁止粮食和其他农产品的出口而鼓励外国同类产品的输入。 ——摘编自孙义飞、尹璐《17世纪西欧气候变迁与粮食供应危机》 材料二 新中国成立以来我国粮食安全政策的发展情况 时间 主要内容 进行土地改革、大兴水利等粮食增产政策及粮食自由购销和政府调控市场相结 1949—1952年 合的粮食流通政策1953—1977年 采取各种措施增加粮食产量、实施粮食统购统销、压低粮价、限制粮食分配 1978—1984年 粮食购销政策不变,提高粮食收购价格,计划调控方式初步转变 1985—1993年 废除粮食统购统销制度,扩大市场对生产的调节 在供求改善的前提下,通过宏观调控,逐步建立适应社会主义市场经济体制的 1994—2003年 粮食宏观调控体系,调节农民收入 2004年以来 健全粮食宏观调控体系,推进城乡统筹,促进城乡发展一体化 ——摘编自周庆元《建国以来党领导粮食安全工作的历史进程与基本经验》 (1)根据材料一并结合所学知识,概括17世纪西欧应对粮食供应危机的举措。(6分) (2)根据材料二并结合所学知识,指出影响我国粮食安全政策演变的主要因素。谈谈你从新中国粮食安 全政策中得到的启示。(8分) 22.【中德铁路事业的发展】(15分) 材料一 甲午中日战争后,虽然中国铁路事业驶入正轨,但囿于经费支出、人才缺失、材料匮乏等阻碍,清政 府不得不向西方列强“求援”,使他们乘机大肆掠夺和控制中国铁路权益。为了鼓励和规范铁路建设,清 政府于1903年颁发《铁路简明章程》,规定无论华洋官商均可禀请修筑铁路,正式向民间社会开放筑路权。 于是,中国民族资产阶级发起了收回路权运动,创立商办铁路公司,自筹资金修建铁路,以保中国自主权。 1903年至1907年,共有15个省先后创建商办铁路公司,筹资修建铁路900余公里。商办铁路虽声势浩大, 可成效有限,而且弊端百出。 ——摘编自李海滨《近代中国铁路的曲折发展》 材料二 德国是一个特殊的国家,以铁路建设为先导开启工业并实现了工业化。德国的铁路建设可以分为三个 阶段,即起步阶段、全面建设阶段和高潮阶段。在铁路建设过程中,政府一方面为参与铁路建设的企业颁 发兴建许可证,鼓励私人投资,并制定相关法律,为私人或公司提供法律保障;另一方面通过贷款以及直 接投资等形式,大力推行铁路国有化建设。德国还抓住第二次工业革命的发展机会,将新发明运用到铁路 建设上,并对原来旧有的铁路线进行电气化改造。19世纪80年代,德国拥有的铁路线长度居欧洲第一位、 世界第二位。——摘编自刘娜《工业革命时期德国政府在铁路建设中的作用》 (1)根据材料一并结合所学知识,概括19世纪末20世纪初中国铁路事业发展的状况并分析原因。(8分 (2)根据材料二,概括近代德国铁路发展的特点,并综合以上材料,指出影响中德铁路建设的共同因素。 (7分) 23.【近现代信息传递方式的演变】(12分) 材料 表3近现代信息传递方式的演变 序号 时间 具体史实 ① 18世纪 英国与印度的书信往返大致需要两年时间。 ② 19世纪70年代 英国铺设了连接英格兰与苏伊士、孟买的海底电缆。 ③ 1876年 美国人亚历山大·贝尔获得了电话专利,并将电话商用化。 ④ 1933年 美国总统罗斯福首次以广播的形式向全国公众发表谈话。 ⑤ 1957年 苏联发射了世界上第一颗人造地球卫星,开启了卫星通信时代。 ⑥ 20世纪后半叶 全球总共有13台互联网根服务器,美国掌握其中10台。 ——摘编自【美】德伯拉·L·斯帕《技术简史》等 依据材料,提取两个或以上的信息,围绕“近现代信息传递方式的演变”,自拟观点,并结合世界近 现代史加以阐释。(要求:提取信息,观点明确,史论结合,逻辑清晰)