当前位置:首页>文档>2005数学一解析_26.考研数学(一)(二)(三)真题_26.1考研数学(一)真题_02.1987-2025年数一真题答案解析

2005数学一解析_26.考研数学(一)(二)(三)真题_26.1考研数学(一)真题_02.1987-2025年数一真题答案解析

  • 2026-04-10 01:15:48 2026-02-23 16:30:57

文档预览

2005数学一解析_26.考研数学(一)(二)(三)真题_26.1考研数学(一)真题_02.1987-2025年数一真题答案解析
2005数学一解析_26.考研数学(一)(二)(三)真题_26.1考研数学(一)真题_02.1987-2025年数一真题答案解析
2005数学一解析_26.考研数学(一)(二)(三)真题_26.1考研数学(一)真题_02.1987-2025年数一真题答案解析
2005数学一解析_26.考研数学(一)(二)(三)真题_26.1考研数学(一)真题_02.1987-2025年数一真题答案解析
2005数学一解析_26.考研数学(一)(二)(三)真题_26.1考研数学(一)真题_02.1987-2025年数一真题答案解析
2005数学一解析_26.考研数学(一)(二)(三)真题_26.1考研数学(一)真题_02.1987-2025年数一真题答案解析
2005数学一解析_26.考研数学(一)(二)(三)真题_26.1考研数学(一)真题_02.1987-2025年数一真题答案解析
2005数学一解析_26.考研数学(一)(二)(三)真题_26.1考研数学(一)真题_02.1987-2025年数一真题答案解析
2005数学一解析_26.考研数学(一)(二)(三)真题_26.1考研数学(一)真题_02.1987-2025年数一真题答案解析
2005数学一解析_26.考研数学(一)(二)(三)真题_26.1考研数学(一)真题_02.1987-2025年数一真题答案解析

文档信息

文档格式
pdf
文档大小
4.009 MB
文档页数
10 页
上传时间
2026-02-23 16:30:57

文档内容

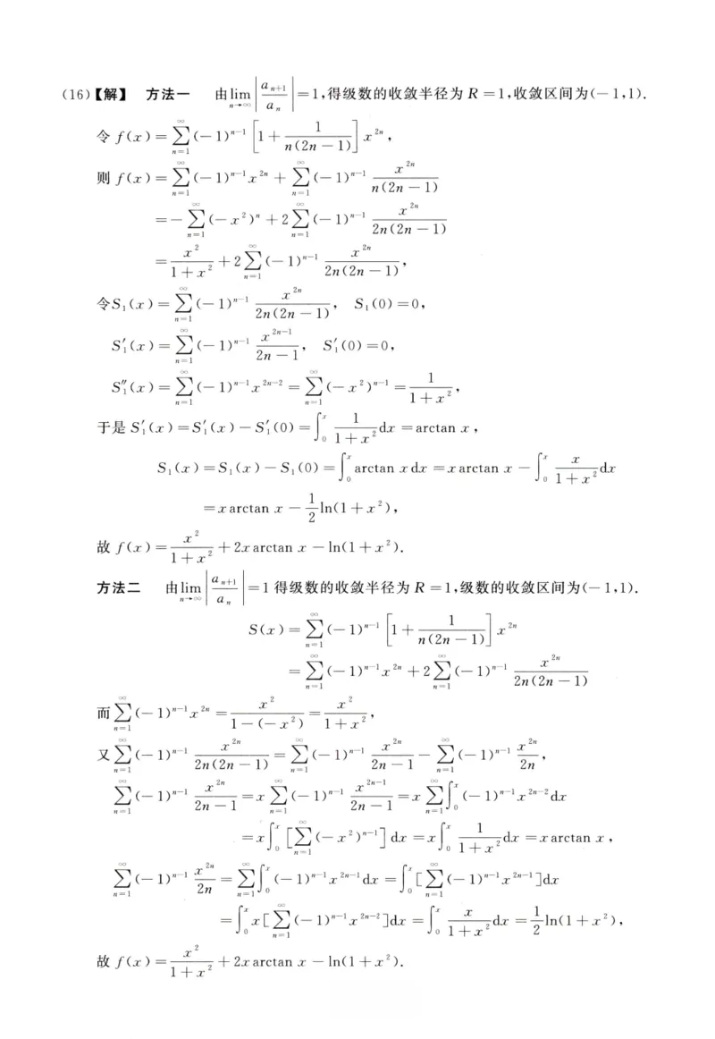
2005年数学(一)真题解析 一、填空题 1 1 (1)【答案】 y = —j?------ "2 4 工 1 2 【解】 由 lim — !旦工(2工+1)=可, j--* 00 JC x2 x \ _ . —工 丄 lim =lim 2工 + 1 - 丿二 !史 2(2工 + 1) 工一>8 x 2 丄 得曲线夕 的斜渐近线方程为 =2工 + 1 一才. x\n x x (2)【答案】夕= ——- 2 【解】方法一 将 xyf + 2j/ = jt In jr 化为 3/-----y = In x 9 解得 JC In 工• e*"山 + C e伽 _ 存3 +c), 2 In dr + C 诗,得c=o,故汁警—耆. 由夕⑴ 方法二 由 xy' + 2j = j: In j?,得工5' + 2xy = jc 2 In x,即(工彳歹)'=x2In x 9解得 - r 3 1 22夕= jr2 In jc djr + C = —In x x3 + C , 于是歹 X 3 +c),由 y(l)= —得c=o,故》 x\n x x 3 X 3 ? (3)【答案】 3u X du y 0U _ N 【解】 3x ~ 3, dy 6, az 9 ' 1 1 1 由狂 ,得 3, 3, 3z 3 (1,2,3) (1,2,3) (1,2,3) du 4x 丄+丄X丄+丄 ><丄=遁 3n 箱 3 V3 3 73 3 (1,2,3) (4)【答案】(2-V2)ttR3. , R2 z0 2,2 【解】方法一由 ,_____________侍工+$ =〒• z = JR2 — jc2 — y2 9 D 2 令D:^2+jz2 由高斯公式得 jTjr dydz ydzdx -zdx dy = sjjdv = sjjdjr dy VR2-x2-y2 t____ dz 工 Q D=3 f d(9 r ( JR2 — r2 —厂)d厂=6兀 F厂一 / dr —兀尺 Jo Jo Jo =—3兀 F VR2-r2d(R2 — /)—理=(2-V2)kK3. Jo V2 方法二 由高斯公式得 JJjc dj/d^ ydzdx + n dr dy =3 「 r2sin 9)d厂=6tc 'f sin (pd(p 严 r22 dr J 0 J 0 J 0 0 J o n =2nR3 (1 一 乡)=(2 - ^2 )nR3. (5)【答案】2. 【解】方法一 因为 B — (a i + a2 + a3,a i + 2a2 + 4a3 .a j + 3a2 + 9a:3) /I 1 =A 1 2 3 , J '1 4 1 1 1 所以 | B | = | A | • 1 2 3 = (3 — 1)(3 —2)(2 — 1) =2. 1 4 !) 方法二 |B|=|© + a 2 十 a 3, a i + 2a 2 + 4a 3 9 a 】+ 3a 2 + 9a 3 | =1 a i + a 2 + ct 3 2 + 3ct 3,a 2 + 5a 3 | =la. 十 a 2 + a 3 9 a 2 + 3 a 3,2 a 3 | 2 | a 1 + a 2 + a 3 9 a ? + 3 a 3 9 a 3 2 | ct i + a 2 9 ct 2 9 a 3 | 2|tti9Ct2*ct3| 2. 方法点评:本题注意范德蒙德行列式的使用. (6) 【答案】毎1 3 48 【解】 令 4 ={X =汀(亍=1,2,3,4),B ={Y = 2},则 P(A,) =3(,=1,2,3,4), 4 PCB | AJ =0, P(B | A2) =-^,卩(_8|比)=+,P(B | A4) =^, 乙 J 4 由全概率公式得 P{Y = 2}-P(B) = 2p(Ai)F(B 丨 A,) =£(£ + £ + ,=] 4'2 3 4,48 二、选择题 (7) 【答案】(C). 【解】 当& IW 1时,1 w 71+ I3n <72 ,由夹逼定理得lim 71+ |汀” =1; M-*OO 当ixi>i时,&13 <7i+1十 wmu =72i^p, 由夹逼定理得lim 71+ I3" =|^|3, ii, |jc |c 1, 即心)=」n —/(—1) —x3 一 1 fl (— 1) = lim lim =一 3 9 H + 1 j? + 1 x-*-r /(工)一/(—1) /+(— 1) = lim =lim -—= 0 , •Z + 1 工—1+ x + \ 因为/C(-i)# i),所以/(工)在工=—1处不可导; 心)一/⑴ fl ( 1) = lim =lim ------- = 0 9 x 一 1 li- 工一1 心)一/⑴ X — 1 /+ (1) = lim lim -------- = 3 , 一+ x 一 1 工一1+ x — 1 因为/1(1)工所以/■&)在工=1处不可导, 即/(工)在(―°°, + °°)内连续,但有两个不可导点,应选(C). 方法点评:讨论由极限形式表示的函数的连续性与可导性时,先计算极限,求出函数的表 达式,再讨论函数的有关特性. (8) 【答案】(A). 【解】 方法一 f⑺ =3芒为偶函数,但尸(工)=工3 +C不一定是奇函数,(E)不对; /(j? ) = cos x 一 1为周期函数,F(h) = sin x 一 x + C不是周期函数,(C)不对; 于(工)=2工为单调增函数,FQ)=工2 +C不是单调函数,(D)不对,应选(A). 方法二 设 /(— ) = — f Cjc),令尸(工)=[/(/)山, J a 则 F (— J7 ) = [ f (t)dt - [ /(— iz ) (― dw ) = [ f(u)du J a J —a J —a =I f(u)du + [ f(u)du = I f(u)du = F(jc), J —a J a J a 于是FQ)为偶函数; 反之,设F(—_z)=F(z),两边求导得一F'(—工)=尸'(2),或7"(—_z) = —/"(z),即于(工) 为奇函数,应选(A). 方法点评:设FQ)为yQ)的原函数,则/(^)与F(x)的奇偶性、周期性如下: (1) fQ)是奇函数的充要条件是F&)为偶函数; (2) 产(工)是偶函数时,FQ)不一定是奇函数,/(x)的所有原函数中只有 F(^)= J,/(z)dz为奇函数,但当FQ)是奇函数时,/(^) 一定是偶函数; (3) 若于(工)为周期函数,FQ)不一定是周期函数,但当FQ)为周期函数时 JQ) —定 为周期函数. (9) 【答案】(E). 【解】 由ZT—=卩'(2 + ) +卩'(乂 — y) +。(工+夕)一。(工一』)9 —=(p (x y) — (p (工一夕)+ 0 (工 + y ) + 0 (z — jy ) 9 dy g2 得一冷=cp" (jc + j/) + 申"(z — y) +0(^* + 丿)一— jy)9u (P〃(王 + y) +卩〃(工一丿)+ /(久 + 夕)一0‘(无一y)9 显然a : = q―F,应选(B). ox oy (10)【答案】(D). 【解】令 F (j? ,y,z) = xy 一 zln y + e,2 一 1, (x ,y ,z) = y + ze!I , F^, (x ,z) = x----, F'z (j? ,y ,z) = — lny+ze", $ 因为 F; (0,1,1)= 2H0, F:(0,l,l)= —1H0, F: (0,1,1)= 0,所以工夕一zln _y+e" = 1 在点(0,1,1)确定两个具有连续偏导数的函数工=j:(y,z)及y = y (j: ,z),应选(D). 方法点评:本题需要掌握多元隐函数的存在定理. 设 F(x ,y ,z )连续可偏导,F(jc0 ,y0 ,z0) =0,若 F:(z(),;yo,Zo)HO,则在点(攵。,》。,*。) 的邻域内确定二元函数工=攵(夕,2:),其他情况类似. (11)【答案】(E). 【解】 方法一 因为矩阵的不同特征值对应的特征向量线性无关,所以© ,业线性无关. 由 Aa A | ct i Au =l 入 a ,彳导 A (a ct ==入 a 】A ? oc 1 j 2 2 2 i - 2 1 2 • /i am (a! ,A(a( +a2))=(ai ,a2)( 1 ,A (a , +a,)线性无关的充分必要条件是矩阵 \0 X 2 /I A ] \ 1 A1 可逆,即 H0,故入2工0,应选(总). \0 A2/ 0入2 方法二 令 kxa} +kiA(.ax 4 «2)= 0,由 A(a} 4 a2)=入 “1+ X2a2,得 怡2(入』[+ A2a2)=0,整理得(4 + X1k2)a1 +X2k2az =0. \k j + 入虫2 = ° , 因为a,,a2线性无关,所以 于是a,,A(a, +02)线性无关的充分必要条 U 2怡 = 0 , 2 \k ] + 入 怡 1 2 = 0, 件是紅0 +紅A(0 +°2)=0当且仅当紅=k2=0,即方程组 只有零解, U 怡 =0 2 2 于是1 A1 H0,故入 工0,应选(E). 2 (12)【答案】(C). 0 1 0\ 【解】 令叭 1 0 0 ,由题意得B =E]2A. 0 0 U 由 |B |= \El2 I • |A | = - |A I , B1 =A~lE^ -=A~yEu, 得 B* =\ B \ B ==-\ A I • A^E}2 =-A*E12 或一E* =A*E]2, 即交换A*的第1、2两列得一,应选(C). 方法点评:本题考查初等变换与伴随矩阵. 设A为可逆矩阵,当研究A*时,一般需要使用公式A* = |A |AT ,即将伴随矩阵问题转 化为逆矩阵问题,注意使用如下结论: (1) 设为可逆的n阶矩阵,则(AB)* =B*A* ; (2) 设分别为可逆的m 阶及z?阶矩阵,则'A 'A O\^ _f\B\A* O B' —( O O o A O A ° △广=(_】呵( O 5 B O B O B O> \\B\A* O (13) [答案】(B). 【解】 P {X = 0} = 0.4+a, P{X+Y = l}=P{X=0,Y = l}+P{X=l,Y = 0}=a+b, P {X = 0 ,X + Y = 1} — P {X = 0, Y = 1} =a, 因为{x= 0}与{X+Y= 1}相互独立,所以(a+b)(0.4 + a) = a,又因为a+b= 0.5, 所以 a = 0.4,6= 0.1,应选(E). (14) 【答案】(D). 【解】 由X】〜N(0,l),得Xf〜/ (I). n n 由X,〜N(0,l)G = 2,3,“・皿),得工X:〜%2(九—1)且X]与工X:独立, :=2 i=2 由F分布的定义得 ~兰凶-------F(l,«-1),即「" Xi〜尸(1皿—1),应选(D). 1) fxi i=2 i=2 方法点评:设总体X〜N(〃y2),Xj ,X2,-,X„为来自总体X的简单随机样本,熟练掌 握如下结论: (1)匸上〜N (0,1); (2)匸上〜/(” 一 1); O O (3) ----[岁-~ X 2(72 — 1 ) ; (4) ^2 (Xi — ")2 〜X 2(Z2 )・ O 1 = 1 三、解答题 (15)[解】 如图所示,令Di = {(工,夕)|工?+j/ z arctan x — 0 =工arctan x----ln(l+/), •Z 2 故/'(乂 ) =-----7 + 2工 arctan x — ln( 1 + j; 2 )・ 1 +工 方法二 由lim p±L =1得级数的收敛半径为R =1,级数的收敛区间为(一1,1). "f8 | a„ I 1 SQ) = Y(—1)"T 1 + ] 2” 一 n (2n — 1)_ n — l =£(一 1)"一 1 工 2” + 2 0 ^ 0 (—1)”T 2和鳥 2 二 n 1) n = 1 而 £(— 1)"一匚 2” X 2 _ X 2 1一(一小—1+工八 ” =1 又 n = 1 £(- 1)"T n — 1 arctan x 9 「[£(- IL 八 -i 血 Jo ” = 1 ——~~ djr = £ln( ] + g 2), 皿= 1 + z L 0 故fG ) + 2jc arctan jc — ln( 1 + jr2 ). 1 + jr(17)【解】 由已知条件得 /(0) =0,/(3) =2,/(0) =2,/(3) =-2,//(3) =0. 由分部积分得 [(;+Z "〃(攵)dz = f(7 + 工)甘"(工) 2 J o Jo =(jr2 + j? )/,z(j: ) | —J (2j? + V)ff\jc )dz 「 「 3 3 3 =— (2jc + l)d/z(j7) = — (2jc +1)/,(j?) + 2 /z (jc )dj? J 0 0 Jo =—7 厂(3) (0) +2『/'(工)山=16 + 2/(^) 3 =20. J 0 0 (18) L证明】(I )令卩(工)=fCx ) — 1+ h,爭(0) = — 1,^(1) = 1. 因为卩(0)^(1) V 0,所以由零点定理,存在F 6 (0,1),使得卩0) =0,即/(?) =1-^. (n)由微分中值定理,存在7] e(o,c),^ e(c,i),使得 丿⑴一g) 一 E J ' ]_g i-e 故十 5)F(C=1. 方法点评:本题考查零点定理与拉格朗日中值定理. 设/'(工)在[a,b]上连续,在(a ,6)内可导,若题中只出现则一般需要找出 三个点,两次使用拉格朗日中值定理.本题已知条件出现/(0)=0,/(1)=1连同_/(£)=1一£, 故三个点为o,ea. 申3 (19)【解】 (I )P(x ,y)= Q(z ) 2工 2 +j/4 2j72 + J/4 dQ 2 j/ ( 2jc 2 + j^4 )—8 j? 2 y 3P _(2_z' + 3/)伞'(y )—4_y3 申(y) 3x (2j?2 + )2 ' (2工2+夕")2 设C是任意一条右半平面工>0内正向闭曲线,如图所示,在c上 取两点人,£将0分为L,,L2,再取从点A至点B的有向曲线 使得L?+L3与L2+L3都是绕原点的正向闭曲线,由已知条件 术 爭(y)dz + 2巧七 _ £ 卩(夕)山 + 2巧(1夕_ 侍Vq+q 2x2 +y' _A Vl2+l3 2x2 +y' ' 两式相减得 X 卩(夕)dr + Jc 2j72 + j/4 因为对任意右半平面的闭曲线c都赴 m 烛 (n) =0,所以曲线积分与路径 无关,于是字=算即2亍 y — 2x2(p\y}+

2. 0, 其他. 1, (23)【解】(I )方法一 Yi =Xi —乂 = Xi —丄=(1 — 丄)X】一丄X?---------丄X”, n - = 1 \ n ' n n 因为X,〜N(0,l)(WQ且X1,X2,…,X”相互独立,所以匕 服从正态分布. / 1 \ 2 1 1 „ — 1 又因为E(y1)=o,D(y1)= 1—— d(xj + 4d(x2)+... + 4d(xj = - \ n 丿 n n n 所以Y]〜N(0,土二,同理Y,〜N仏匸二)(1 £亍W “), \ n 丿 \ 7? / 27 -- "1 于是 D(Y,) =-------(1 Wn). n 方法二 因为 X:〜N(0,l),所以 E(X,) =0,D(X,) =1(: =1,2,…皿), E(X)=丄亍 E(X,)= 0, D(文)=D(X,)= —, E(X2)= D(X)+(EX)2=—. n , = i n ,=i n n E(Y,) =E(X, -X) =E(X,) -E(X) =0, D(Y,) =E(Y-)- (EY.y =E(Y» =E(X^ - 2X,X + X2) 2 ― = E(X» ——E[X;(Xi + ••• + X”)] + E(X2) n 2 ] 1 =1 ——E(X° + —= 1 ——. n n n (n )Cov(Yi ,Y”)= Cov(Xi ~X,Xn -X) = Cov(Xi ,X”)一Cov(X] ,X) -Cov(X”,X) +Cov(X,X) 1 _ 1 — = Cov(Xi ,X]十X? + …+X”) Cov(X”,Xi +X2 + …+X”)+D(X) n n =一丄Cov(X】,XJ — 丄Cov(X”,X”)+ 丄= ti n n Ti n n