当前位置:首页>文档>250603_111231-第五章-大数定律与统计初步答案解析_01.2026考研数学有道武忠祥刘金峰全程班_01.2026考研数学武忠祥刘金峰全程班_00.书籍和讲义_00.配套书籍_2026考研数学习题册答案详解

250603_111231-第五章-大数定律与统计初步答案解析_01.2026考研数学有道武忠祥刘金峰全程班_01.2026考研数学武忠祥刘金峰全程班_00.书籍和讲义_00.配套书籍_2026考研数学习题册答案详解

  • 2026-03-03 14:49:13 2026-02-28 15:49:42

文档预览

250603_111231-第五章-大数定律与统计初步答案解析_01.2026考研数学有道武忠祥刘金峰全程班_01.2026考研数学武忠祥刘金峰全程班_00.书籍和讲义_00.配套书籍_2026考研数学习题册答案详解
250603_111231-第五章-大数定律与统计初步答案解析_01.2026考研数学有道武忠祥刘金峰全程班_01.2026考研数学武忠祥刘金峰全程班_00.书籍和讲义_00.配套书籍_2026考研数学习题册答案详解
250603_111231-第五章-大数定律与统计初步答案解析_01.2026考研数学有道武忠祥刘金峰全程班_01.2026考研数学武忠祥刘金峰全程班_00.书籍和讲义_00.配套书籍_2026考研数学习题册答案详解
250603_111231-第五章-大数定律与统计初步答案解析_01.2026考研数学有道武忠祥刘金峰全程班_01.2026考研数学武忠祥刘金峰全程班_00.书籍和讲义_00.配套书籍_2026考研数学习题册答案详解
250603_111231-第五章-大数定律与统计初步答案解析_01.2026考研数学有道武忠祥刘金峰全程班_01.2026考研数学武忠祥刘金峰全程班_00.书籍和讲义_00.配套书籍_2026考研数学习题册答案详解
250603_111231-第五章-大数定律与统计初步答案解析_01.2026考研数学有道武忠祥刘金峰全程班_01.2026考研数学武忠祥刘金峰全程班_00.书籍和讲义_00.配套书籍_2026考研数学习题册答案详解
250603_111231-第五章-大数定律与统计初步答案解析_01.2026考研数学有道武忠祥刘金峰全程班_01.2026考研数学武忠祥刘金峰全程班_00.书籍和讲义_00.配套书籍_2026考研数学习题册答案详解
250603_111231-第五章-大数定律与统计初步答案解析_01.2026考研数学有道武忠祥刘金峰全程班_01.2026考研数学武忠祥刘金峰全程班_00.书籍和讲义_00.配套书籍_2026考研数学习题册答案详解
250603_111231-第五章-大数定律与统计初步答案解析_01.2026考研数学有道武忠祥刘金峰全程班_01.2026考研数学武忠祥刘金峰全程班_00.书籍和讲义_00.配套书籍_2026考研数学习题册答案详解
250603_111231-第五章-大数定律与统计初步答案解析_01.2026考研数学有道武忠祥刘金峰全程班_01.2026考研数学武忠祥刘金峰全程班_00.书籍和讲义_00.配套书籍_2026考研数学习题册答案详解
250603_111231-第五章-大数定律与统计初步答案解析_01.2026考研数学有道武忠祥刘金峰全程班_01.2026考研数学武忠祥刘金峰全程班_00.书籍和讲义_00.配套书籍_2026考研数学习题册答案详解
250603_111231-第五章-大数定律与统计初步答案解析_01.2026考研数学有道武忠祥刘金峰全程班_01.2026考研数学武忠祥刘金峰全程班_00.书籍和讲义_00.配套书籍_2026考研数学习题册答案详解
250603_111231-第五章-大数定律与统计初步答案解析_01.2026考研数学有道武忠祥刘金峰全程班_01.2026考研数学武忠祥刘金峰全程班_00.书籍和讲义_00.配套书籍_2026考研数学习题册答案详解
250603_111231-第五章-大数定律与统计初步答案解析_01.2026考研数学有道武忠祥刘金峰全程班_01.2026考研数学武忠祥刘金峰全程班_00.书籍和讲义_00.配套书籍_2026考研数学习题册答案详解

文档信息

文档格式
pdf
文档大小
0.763 MB
文档页数
14 页
上传时间
2026-02-28 15:49:42

文档内容

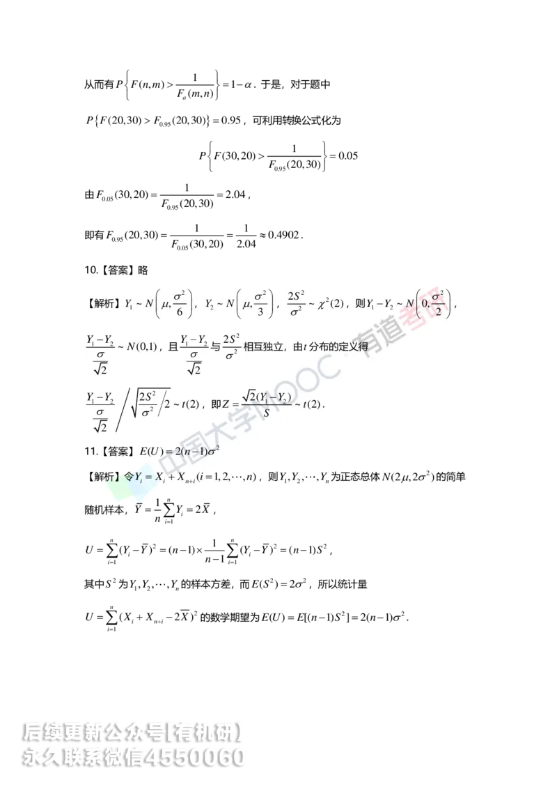
第五章 大数定律与统计初步 巩固练习 1.【答案】 1 9 【解析】 P  X 3  ( D 3 X ) 2 9 2 2 1 9           . 2.【答案】 1 2 【解析】 P  X  E X  2   D 2 X 2  2 4  1 2 . 3.【答案】 9 8 【解析】记“第i箱的重量”为随机变量 X i , i  1 , 2 , , n ,则 E X i  5 0 , D X i  2 5 . 由中心极限定理可知: n i 1 X i 近似服从 N ( 5 0 n , 2 5 n ) . 由题可知: P     P  0 n i   .9 X 1 n i 1 5 0 7 7  5 0 0 0 i X  5 0 n i 5 n 0 0  5 0 n 5 n     2     5  0 0 0 5 1   0 5 n 0 0 0 n  n  1 0 n  所以, 1 0 0 0  n 1 0 n  2 . 令 n t,则10t2 2t10000,即5t2 t5000, 解得: t   1  1 1  0 1 0 0 0 0  9 . 9 , 所以 n  9 8 .0 1 ,故最多装98箱. 4.【答案】(1)PX kCk 0.2k0.8100k,k 0,1, ,100;(2)0.927 100【解析】(1) X 服从概率为0.2的二项分布,则 P  X  k   C k1 0 0 0 .2 k 0 .8 1 0 0  k , k 0,1, ,100. (2)EX 20, D X  1 6 ,根据棣莫弗-拉普拉斯定理(中心极限定理)可知: X 近似 服从 N ( 2 0 , 1 6 ) .所以,  X 20  P14 X 30 P1.5 2.5  4  (2.5)(1.5) (2.5)1(1.5) 0.994(10.933) 0.927. 5.【答案】略 【解析】因为 X 1 , X 2 , , X n 独立同分布, 所以, X 21 , X 22 , , X 2n 独立同分布,且 E X 2n 、 D X 2n 均存在, 所以,根据中心极限定理可知, n i 1 X 2i 近似服从正态分布, 1 n 故Z  X2 也近似服从正态分布. n n i i1 又因为 E Z n  E X 2  a 2 DX2 EX4 (EX2)2 a a2 ,DZ    4 2 , n n n n 所以 Z n 近似服从 N  a 2 , a 4  n a 22  . 6.【答案】B 【解析】由题意, X 1 , X 2 独立,则 ( X 1 , X 2 ) N ( 0 , 0 ; 2 , 2 ; 0 )   , 所以(X X ,X X )服从正态分布,且X X 和X X 均服从N(0,22), 1 2 1 2 1 2 1 2 又因为 C o C D v ( o ( X v X 1 ( X ) 1 1 X , X D , X 2 ) 1 ( X 1 2 C ) o X v 2 ( ) X 2 2 , X 1 2 ) 0 C , o v ( X 1 , X 2 ) C o v ( X 2 , X 2 )              所以(X X ,X  X ) N(0,0;22,22;0),故 1 2 1 2X 1  X 2 与X X 相互独立且同服从 1 2 N ( 0 , 2 2 )  , 同理,X X 和X  X 也相互独立且均服从 3 4 3 4 N ( 0 , 2 2 )  .故 (X X )2 (X X )2 Y  1 2 3 4 (X  X )2 (X  X )2 1 2 3 4 (X X )2 (X X )2 1 2  3 4 2    22 22   ~ F(2,2) (X  X )2 (X  X )2 1 2  3 4 2    22 22  答案应选(B). 7.【答案】B 2 2 【解析】因为EX2  DX (EX)2  0 , n n E S 2 D X 2    ,所以 E T k n k E X 2 1 k E S 2 n k n 2 1 k 2 2 k 2          , 故 E T k 2 k 2 2     ,即 k  2 .选择(B). 8.【答案】D 【解析】由题意,可得 ( n 1 ) 2 S 2X ~ 2 ( n 1 )     , ( n 1 ) 2 S 2Y ~ 2 ( n 1 )     且它们相互独立,所 以  n1  DT  D 2 (S2 S2)   2 X Y    n1  n1  4  D  S2  D  S2    2 X   2 Y  4[2(n1)2(n1)]4(n1)4. 9.【答案】A 2 2 X nX (n1)S2 nX (n1)S2 【解析】由 ~ N(0,1),得 ~2(1), ~2(n1)且 与  2 2 2 2 n相互独立,于是 ( n n 1 ) 2 X S 2 2 2 1 ( n 1 ) n X S 2 2 ~ F ( 1 , n 1 )       ,应选(A). 10.【答案】 F ( m  1 , n  1 ) 【解析】由题意可得, ( m 1 2 ) S 21 ~ 2 ( m 1 )     , ( n 1 ) 2 S 22 ~ 2 ( n 1 )     ,且相互独立,则 ( m ( n 1 ) 2 1 ) 2 S S 21 22 ( ( m n 1 ) 1 ) S S 2122 ~ F ( m 1 , n 1 )          . 11.【答案】 t ( n  1 ) 【解析】由题意可得, X ~ N 0 , n 2    X nX ,  ~ N(0,1).   n (n1)S2 nX 又 ~2(n1),且 与 2  ( n 1 ) 2 S 2   相互独立,则 ( n 1 ) 2 n S X 2 ( n 1 ) n S X ~ t ( n 1 )       . 12.【答案】 ( n 1 ) 2   【解析】因为 X 1 , X 2 , , X n 独立同分布,所以有E(XT)E(X T) E(X T),故 1 2 nE ( X T1 )       1 n 1 n E E E ( ( n n  E E  ( X   ( X  ( X X  1 T ) X  ( 1 ) E 1 ) E T1 1  n ( ( )  X E  X X  E ( X 2 X  2   2 n n   X  i 1 1 1 )  n  1 2 S ) 2 ) E ( S ) T )   X ) n X  n T  ( X  i n  ( X i 1 ( n T X i 1   )  ) E  2  X ( X 2 ) 2 . n  T )       13.【答案】 【解析】由 X 1 , X 2 , S 21 , S 22 相互独立,可知 a , b 与 X 1 , X 2 相互独立,且 a  b  1 , E ( X 1 ) , E ( X 2 ) ,     则 E ( U )  E ( a ) E ( b )  E ( a b ) E ( 1 ) .           14.【答案】 t ( n  1 ) 【解析】因为 X n 1 ~ N ( , 2 )   , X ~ N , n 2     ,且它们相互独立,所以  n1  X X ~ N 0, 2 ,   n1  n  X X X X n n1  n1 ~ N(0,1), n1  n1  n (n1)S2 ~2(n1). 2 又 X n  1  X (n1)S2 与 相互独立,所以由 2 t 分布的定义,有 X ( n n 1 1 ) 2 X S 2 n ( n n 1 1 ) n n 1 X n 1 S X ~ t ( n 1 )             .综合测试 1.【答案】 8 9 【解析】根据切比雪夫不等式: P  X E ( X )  D ( X 2 )      ,则 P  X E ( X )  1 D ( X 2 )       于是 P ( 2  X  2 0 )  P  X  1 1  9   1  9 9 2  8 9 . 2.【答案】A 【解析】满足独立同分布中心极限定理的条件是X2,X2, ,X2, 相互独立同分布,且期 1 2 n 望和方差均存在. 由题设,X ,X , ,X , 相互独立,因此, 1 2 n X 21 , X 22 , , X 2n , 也相互独 立,但选项(B)(C)中随机变量的期望和方差不存在,选项(D)中随机变量之间分布 参数不同,故分布不同,因此,选项(B),(C),(D)都不正确,故答案选(A). 3.【答案】 8 0 3 2 5 ; 3 【解析】依题设,随机变量 X 1 , X 2 , , X 4 0 相互独立同分布,且概率密度为 f ( x )   2 0 x , , 0 其  他 x  , 1 ,  1 2 于是EX   xf(x)dx   2x2dx  , k  0 3 E ( X 2k )       x 2 f ( x ) d x   1 0 2 x 3 d x  1 2 2 1 2 1 DX      (k 1,2, ,40),则随机变量序列满足独立同分布中心极限定理的 k 2 3 18 2 80 Y 40 Y  3 3 条件,因此有  近似服从 1 2 40 5 18 3 N ( 0 , 1 ) ,故 8 0 3   2 5 , . 3 4.【答案】B 【解析】由题设知,X ,X , ,X 适用中心极限定理的条件,所以,当n充分大时,随 1 2 n 机变量Y 近似服从正态分布,其参数分别为 n1 n 1 1 1 n 1 1 4 EY  EX  n 2,DY  DX  n  , n n i n 1 n n2 i n2 1 n i1 i1 2 4 故答案选(B). 5.【答案】C 【解析】由于 X i ~ U [ 1 , 4 ] ,故 E ( X i )  5 2 , D ( X i )  3 4 ( i  1 , 2 , ...) . 由中心极限定理知, ln i m  P  n i 1 X n i   n 3 2  5 2  t    ( t ) 即 ln i m  P  2 n i 1 X i n  5 n  3 t    ( t ) ,令 3 t  x ,则 t  x 3 ,从而  n  2X 5n   i    x  limP i1  x  . n  n   3   6.【答案】B 【解析】因为 E X  E X  0 , D X  D X n  1 n , E ( S 2 )  D X  1 , 1 所以E(X2) DX (EX)2  , n 且 E ( Y 2 )  E [ ( X  S ) 2 ]  E ( X 2 )  2 E ( X S )  E ( S 2 )  1  1 n  2 E ( X S ) , 又因 X 与S2 相互独立,从而 X 与S 相互独立,故 E ( X S )  E X E S  0 , 因此 E ( Y 2 )  1  1 n ,故答案选(B). 7.【答案】D 1 n  2  X 1 n1 【解析】X  X ~ N0, , n ~ N(0,1),S2  (X X )2 , n n i1 i  n  / n n1 n2 i1 i n1( n 2 ) 2 S 2n 1 ~ 2 ( n 2 )      ,且 X n  1 与 S 2n  1 n1 1 相互独立,X  X  X ,故 n n n1 n n S 2n  1 与 X n 相互独立,则 ( n 2 X / ( n 2 n n ) S 2n2 1) ~ t ( n 2 )       ,即 Y  X S n n  1 n ~ t ( n  2 ) ,故 a  n , b  n  2 , 答案选(D). 8.【答案】(1)略;(2) 2 【解析】(1)因为 X ~ N ( 0 , 2 )  , X 1 , X 2 , X 3 , X 4 , X 5 为来自总体 X 的简单随机样本, X  1 3 3 i 1 X i ,所以 3 X ~ N ( 0 , 1 ) ,  1 2 ( X 4 X 5 ) ~ N ( 0 , 1 )   ,且 X 与 X 4  X 5 相互 独立,从而 3 X 2 ~ 2 ( 1 )     , 1 2 ( X 4 X 5 ) 2 ~ 2 ( 1 )      . 于是 3 X 6X  Z   ~t(1) X X 2 4 5  1  (X X )  4 5   2  Z 2 X 4 6 X X 5 2 1 2 ( 3 X X 4 2 X 5 ) 2 ~ F (1 , 1 )             . (2)因为 S 2  1 2 3 i 1 ( X i  X ) 2 , ( n 1 ) 2 S 2 2 S 2 2 ~ 2 ( 2 )      ,若满足S2 ~2(2),则 2   . 9.【答案】0.4902 1 【解析】设F ~ F(m,n),则 ~ F(n,m),于是 F P  F ( m , n ) F a ( m , n )  P F ( 1 m , n ) F a ( 1 m , n ) P F ( n , m ) F a ( 1 m , n )           从而有 P F ( n , m ) F a ( 1 m , n ) 1       . 于是,对于题中 P  F ( 2 0 , 3 0 )  F 0 .9 5 ( 2 0 , 3 0 )   0 .9 5 ,可利用转换公式化为 P  F ( 3 0 , 2 0 )  F 0 .9 5 ( 1 2 0 , 3 0 )   0 . 0 5 1 由F (30,20) 2.04, 0.05 F (20,30) 0.95 即有 F 0 .9 5 ( 2 0 , 3 0 )  F 0 .0 5 ( 1 3 0 , 2 0 )  2 1 . 0 4  0 . 4 9 0 2 . 10.【答案】略 【解析】 Y 1 ~ N , 6 2     , Y 2 ~ N , 3 2     , 2 S 2 2 ~ 2 ( 2 )  2   ,则Y Y ~ N0, ,  1 2  2  Y 1 2 Y 2 ~ N ( 0 , 1 )   ,且 Y 1 2 Y 2   2S2 与 相互独立,由t分布的定义得 2 Y 1 2 Y 2 2 S 2 2 2 ~ t ( 2 )    ,即 Z  2 ( Y 1 S  Y 2 ) ~ t ( 2 ) . 11.【答案】 E ( U ) 2 ( n 1 ) 2    【解析】令Y  X X (i1,2, ,n),则 i i ni Y 1 , Y 2 , , Y n 为正态总体 N ( 2 , 2 2 )   的简单 随机样本, Y  1 n n i 1 Y i  2 X , U  n i 1 ( Y i  Y ) 2  ( n  1 )  n 1  1 n i 1 ( Y i  Y ) 2  ( n  1 ) S 2 , 其中 S 2 为Y,Y , ,Y 的样本方差,而E(S2)22,所以统计量 1 2 n U  n i 1 ( X i  X n  i  2 X ) 2 的数学期望为 E ( U ) E [ ( n 1 ) S 2 ] 2 ( n 1 ) 2      .拓展提升 1.【答案】 2 5 【解析】 E ( X )  0 , D ( X )  3 , E ( Y )       y f Y ( y ) d y   2  2 y  3 1 y 6 2 d y  0 , E ( Y 2 )       y 2 f Y ( y ) d y   2  2 y 2  3 1 y 6 2 d y  1 2 5 ,故 D ( Y )  E ( Y 2 )  ( E Y ) 2  1 2 5 ,则 E ( X  Y )  0 , D ( X  Y )  D ( X )  D ( Y )  2 C o v ( X , Y )  2 7 5 ,所以 P  X  Y  3   P  ( X  Y )  E ( X  Y )  3   1  D ( X 9  Y )  2 5 . 2.【答案】 1 7 0 0 【解析】令 U  X  Y ,则 E ( U )  E ( X )  E ( Y )  3 , D ( U )  D ( X  Y )  D ( X )  D ( Y )  2 C o v ( X , Y )  4  9  2    1 2   2  3  7 , 于是 P  X  Y  3  1 0   P  U  E ( U )  1 0   1 7 0 0 . 3.【答案】 2 【解析】由题意,记 Y i  X 2 i  X 2 i 1 , i  1 , 2 , , n ,显然 Y i 独立同分布. 1 又EX  , i 2 D X i  1  1 2   1  1 2   1 4 ,故 E Y i  E ( X 2 i  X 2 i 1 )  E X 2 i  E X 2 i 1  0 , D Y i  D ( X 2 i  X 2 i 1 )  D X 2 i  D X 2 i 1  1 2 ,  n  n  n  n n E  Y  EY 0,D  Y  DY  ,  i  i  i  i 2 i1 i1 i1 i1   n  n   n    Y i E   Y i       Y i   由中心极限定理知:limP i1 i1  xlimP i1  x(x), n   n   n  n  D Y   i    2    i1  于是 a  2 . 4.【答案】C 【解析】因为 ~ ( 0 , 2 )  X N ,所以 X i ~ N ( 0 , 2 ) ( i 1 , 2 , , n )   , X ~ N 0 , n 2    . (A)不正确,因为 X i ~ N ( 0 , 1 ) ,所以  n i 1 X i 2 ~ 2 ( n )       ; (B)不正确,因为 X ~ N 0 , n 2    , ( n 1 ) 2 S 2 ~ 2 ( n 1 )     ,且X 与S2 相互独立,所以 ( n n n X 1 ) 2 1 S 2 n S X n i 1 n X S i ~ t ( n 1 )          ; (C)正确,因为 n i 1 X i ~ N ( 0 , n )    ,所以 1 n n i 1 X i n X ~ N ( 0 , 1 )      ,可得 1 n n i 1 X i 2 n X 2 ~ 2 (1 )           又X 与S2 相互独立,则由2分布的可加性知 1 n n i 1 X i 2 ( n 1 ) 2 S 2 ~ 2 ( n )          ; (D)不正确,因为 X n ~ N ( 0 , 1 ) ,可知  X n 2 ~ 2 (1 )     n1 X  2 ,   i  ~2(n1),所以    i1 2  X  n 1      (n1)X2  n ~ F(1,n1).  n1 X i  2 (n1)  n1 X2   i i1    i1 5.【答案】D 【解析】已知 X 1 , X 2 , , X n 是来自总体 ( , 2 )  X  N μ 的简单随机样本,则 nS2 1 n nS2  2 0  (X )2 ~ χ2(n) D 0 2n D(S2) 4, 2 2 i1 i  2  0 nn S 212 D n 1 S 2 212 n i 1 ( X n i 2 D X ( S 4 ) 21 2 ) ~ χ 2 2 ( ( n n 1 1 ) ) D ( S 21 ) 2 ( n n 2 1 ) 4 ,                    ( n D 1 ) 2 S ( 2 n 1 ) 2 1 S 2 2 n i 1 ( X ( n i 1 X ) 2 ) 2 D 4 ~ ( S χ 2 2 ) ( n 2 1 ( n ) 1 ) D ( S 2 ) n 2 1 4 ,                       当样本量 n  2 2 2 2n1 时,因为    ,所以 n1 n n n  D ( S 2 )  D ( S 20 )  D ( S 21 ) . 故答案选 (D). 6.【答案】B 【解析】对 k  1 , 2 , , n  1 ,有 (    k ( ( (  k k  1   X ) V 1 1 1  k ) ( X ) X  X V k   k  k  2 1 X  X k )   1    ( X V X k n  1  k  1  X )   1 n k X  1 X )  k  n  X X  n ( X n  1  X ) 于是 Z k 是独立正态分布随机变量 X 1 , X 2 , , X k , X n 的线性组合,所以Z 服从正态分布. k E ( Z k ) E [ ( k 1 ) V k k V ( k k 1 1 ) V n 1 ] E [ ( X 1 X 2 k ( k X k 1 1 ) ) k X k X n ] 0                     D  ( k 1 ) V k V k 1 V  n 1 D  ( D ( [ ( k X X 1 ) 1 1 ) X k 2 2 D 1 ] ( X 2 X k k ) 1 ( 1 k ) 2 k 2 k D k X ( ) k X k 2 X ) n  D ( X n )                             由此 ( k 1 ) V k V k 1 V n 1 ~ N ( 0 , ( k 2 k ) 2 )         ,标准化后即得 Z k ~ N ( 0 , 1 ) . 故答案 选(B). 7.【答案】C 1  x 1 2x 2 2 【解析】对于①,易知 f(x ,x ) e 2 , x ,x ,所以 1 2 2 1 2 F(y) PY  y     2 1  e  x 1 2 2 x 2 2 dx 1 dx 2 , y0     1e  2 y , y0, x2x2y  1 2  0, y0, 0, y0故 f ( y )   1 2 0 , e  y2 , y y   0 0 , , 即 Y ~ E  1 2  ,正确; 对于②,由于 X 1 ~ N ( 0 , 1 ) , X 2 ~ N ( 0 , 1 ) , X 1 , X 2 相互独立, 故 Y X 21 X 22 ~ 2 ( 2 )    ,正确; 对于③,因为 F ( y ) 是 Y 的分布函数,所以 F ( Y ) ~ U ( 0 , 1 ) ,故 E [ F ( Y ) ]  1 2 ,正确; 对于④,由于 Y  X 21  X 22 ,与 X 21 不独立,于是④错误. 8.【答案】(1) E Y  1 6 , D Y  1 9 2 X X ;(2)Z  4 5 ~t(2); 3 (X X)2 i i1 (3) P U 1 c 2 1 2       【解析】(1)已知 X 1 , X 2 , , X 5 是来自总体 X N ( 0 , 2 2 ) 的简单随机样本,由 1 2 2 3 i 1 ( X i X ) 2 ~ 2 ( 2 )     ,  1 3   3  得E  22 (X i X)2   2E   (X i X)2   8, i1 i1 D  1 2 2 3 i 1 ( X i  X ) 2   4  D  3 i 1 ( X i  X ) 2   6 4 . 又 X 4 X 5 ~ N ( 0 , 8 ) X 4 8 X 5 ~ N ( 0 , 1 ) ( X 4 8 X 5 ) 2 ~ 2 ( 1 )       ,得 E  ( X 4  8 X 5 ) 2   1  E  ( X 4  X 5 ) 2   8 (X X )2 D   4 8 5   2 D  (X 4 X 5 )2  128  3  所以EY E  (X i X)2  E  (X 4 X 5 )2  8816.   i1 3 又 (X X)2 与(X X )2 独立,所以 i 4 5 i1D Y   D D   3 i 1 3 i 1 ( ( X X i i   X X 2 ) 2 )    ( X D 4 [ (  X X 4 5  ) 2 X  5 ) 2 ]  6 4  1 2 8  1 9 2 . X X 1 3 (2)由于 4 5 ~ N(0,1), (X X)2 ~2(2),且 8 22 i i1 3 i 1 ( X i  X ) 2 与 X 4  X 5 独立,故 Z  3 i X 1 ( 4 X  i X  5 X ) 2  1 2 2 X 3 i 4 1  8 ( X 2 X i 5  X ) 2 ~ t ( 2 ) . (3) Z ~ t ( 2 )  Z 2 ~ F (1 , 2 )  Z 1 2 ~ F ( 2 , 1 ) ,由题意知c0,又 U ~ F ( 2 , 1 ) ,故 Z 1 2 与 U 同分布,则 P U 1 c 2 P Z 1 2 1 c 2 P  Z 2 c 2  P  c Z c  1 2                 .
基本 文件 流程 错误 SQL 调试
  1. 请求信息 : 2026-03-04 02:58:36 HTTP/1.1 GET : https://www.yeyulingfeng.com/wendang/328690.html
  2. 运行时间 : 0.119067s [ 吞吐率:8.40req/s ] 内存消耗:5,572.59kb 文件加载:144
  3. 缓存信息 : 0 reads,0 writes
  4. 会话信息 : SESSION_ID=368d985b5da1aed49cd4dc0fba9e4229
  1. /yingpanguazai/ssd/ssd1/www/wwww.yeyulingfeng.com/public/index.php ( 0.79 KB )
  2. /yingpanguazai/ssd/ssd1/www/wwww.yeyulingfeng.com/vendor/autoload.php ( 0.17 KB )
  3. /yingpanguazai/ssd/ssd1/www/wwww.yeyulingfeng.com/vendor/composer/autoload_real.php ( 2.49 KB )
  4. /yingpanguazai/ssd/ssd1/www/wwww.yeyulingfeng.com/vendor/composer/platform_check.php ( 0.90 KB )
  5. /yingpanguazai/ssd/ssd1/www/wwww.yeyulingfeng.com/vendor/composer/ClassLoader.php ( 14.03 KB )
  6. /yingpanguazai/ssd/ssd1/www/wwww.yeyulingfeng.com/vendor/composer/autoload_static.php ( 6.05 KB )
  7. /yingpanguazai/ssd/ssd1/www/wwww.yeyulingfeng.com/vendor/topthink/think-helper/src/helper.php ( 8.34 KB )
  8. /yingpanguazai/ssd/ssd1/www/wwww.yeyulingfeng.com/vendor/topthink/think-validate/src/helper.php ( 2.19 KB )
  9. /yingpanguazai/ssd/ssd1/www/wwww.yeyulingfeng.com/vendor/ralouphie/getallheaders/src/getallheaders.php ( 1.60 KB )
  10. /yingpanguazai/ssd/ssd1/www/wwww.yeyulingfeng.com/vendor/topthink/think-orm/src/helper.php ( 1.47 KB )
  11. /yingpanguazai/ssd/ssd1/www/wwww.yeyulingfeng.com/vendor/topthink/think-orm/stubs/load_stubs.php ( 0.16 KB )
  12. /yingpanguazai/ssd/ssd1/www/wwww.yeyulingfeng.com/vendor/topthink/framework/src/think/Exception.php ( 1.69 KB )
  13. /yingpanguazai/ssd/ssd1/www/wwww.yeyulingfeng.com/vendor/topthink/think-container/src/Facade.php ( 2.71 KB )
  14. /yingpanguazai/ssd/ssd1/www/wwww.yeyulingfeng.com/vendor/symfony/deprecation-contracts/function.php ( 0.99 KB )
  15. /yingpanguazai/ssd/ssd1/www/wwww.yeyulingfeng.com/vendor/symfony/polyfill-mbstring/bootstrap.php ( 8.26 KB )
  16. /yingpanguazai/ssd/ssd1/www/wwww.yeyulingfeng.com/vendor/symfony/polyfill-mbstring/bootstrap80.php ( 9.78 KB )
  17. /yingpanguazai/ssd/ssd1/www/wwww.yeyulingfeng.com/vendor/symfony/var-dumper/Resources/functions/dump.php ( 1.49 KB )
  18. /yingpanguazai/ssd/ssd1/www/wwww.yeyulingfeng.com/vendor/topthink/think-dumper/src/helper.php ( 0.18 KB )
  19. /yingpanguazai/ssd/ssd1/www/wwww.yeyulingfeng.com/vendor/symfony/var-dumper/VarDumper.php ( 4.30 KB )
  20. /yingpanguazai/ssd/ssd1/www/wwww.yeyulingfeng.com/vendor/guzzlehttp/guzzle/src/functions_include.php ( 0.16 KB )
  21. /yingpanguazai/ssd/ssd1/www/wwww.yeyulingfeng.com/vendor/guzzlehttp/guzzle/src/functions.php ( 5.54 KB )
  22. /yingpanguazai/ssd/ssd1/www/wwww.yeyulingfeng.com/vendor/topthink/framework/src/think/App.php ( 15.30 KB )
  23. /yingpanguazai/ssd/ssd1/www/wwww.yeyulingfeng.com/vendor/topthink/think-container/src/Container.php ( 15.76 KB )
  24. /yingpanguazai/ssd/ssd1/www/wwww.yeyulingfeng.com/vendor/psr/container/src/ContainerInterface.php ( 1.02 KB )
  25. /yingpanguazai/ssd/ssd1/www/wwww.yeyulingfeng.com/app/provider.php ( 0.19 KB )
  26. /yingpanguazai/ssd/ssd1/www/wwww.yeyulingfeng.com/vendor/topthink/framework/src/think/Http.php ( 6.04 KB )
  27. /yingpanguazai/ssd/ssd1/www/wwww.yeyulingfeng.com/vendor/topthink/think-helper/src/helper/Str.php ( 7.29 KB )
  28. /yingpanguazai/ssd/ssd1/www/wwww.yeyulingfeng.com/vendor/topthink/framework/src/think/Env.php ( 4.68 KB )
  29. /yingpanguazai/ssd/ssd1/www/wwww.yeyulingfeng.com/app/common.php ( 0.03 KB )
  30. /yingpanguazai/ssd/ssd1/www/wwww.yeyulingfeng.com/vendor/topthink/framework/src/helper.php ( 18.78 KB )
  31. /yingpanguazai/ssd/ssd1/www/wwww.yeyulingfeng.com/vendor/topthink/framework/src/think/Config.php ( 5.54 KB )
  32. /yingpanguazai/ssd/ssd1/www/wwww.yeyulingfeng.com/config/alipay.php ( 3.59 KB )
  33. /yingpanguazai/ssd/ssd1/www/wwww.yeyulingfeng.com/vendor/topthink/framework/src/think/facade/Env.php ( 1.67 KB )
  34. /yingpanguazai/ssd/ssd1/www/wwww.yeyulingfeng.com/config/app.php ( 0.95 KB )
  35. /yingpanguazai/ssd/ssd1/www/wwww.yeyulingfeng.com/config/cache.php ( 0.78 KB )
  36. /yingpanguazai/ssd/ssd1/www/wwww.yeyulingfeng.com/config/console.php ( 0.23 KB )
  37. /yingpanguazai/ssd/ssd1/www/wwww.yeyulingfeng.com/config/cookie.php ( 0.56 KB )
  38. /yingpanguazai/ssd/ssd1/www/wwww.yeyulingfeng.com/config/database.php ( 2.48 KB )
  39. /yingpanguazai/ssd/ssd1/www/wwww.yeyulingfeng.com/config/filesystem.php ( 0.61 KB )
  40. /yingpanguazai/ssd/ssd1/www/wwww.yeyulingfeng.com/config/lang.php ( 0.91 KB )
  41. /yingpanguazai/ssd/ssd1/www/wwww.yeyulingfeng.com/config/log.php ( 1.35 KB )
  42. /yingpanguazai/ssd/ssd1/www/wwww.yeyulingfeng.com/config/middleware.php ( 0.19 KB )
  43. /yingpanguazai/ssd/ssd1/www/wwww.yeyulingfeng.com/config/route.php ( 1.89 KB )
  44. /yingpanguazai/ssd/ssd1/www/wwww.yeyulingfeng.com/config/session.php ( 0.57 KB )
  45. /yingpanguazai/ssd/ssd1/www/wwww.yeyulingfeng.com/config/trace.php ( 0.34 KB )
  46. /yingpanguazai/ssd/ssd1/www/wwww.yeyulingfeng.com/config/view.php ( 0.82 KB )
  47. /yingpanguazai/ssd/ssd1/www/wwww.yeyulingfeng.com/app/event.php ( 0.25 KB )
  48. /yingpanguazai/ssd/ssd1/www/wwww.yeyulingfeng.com/vendor/topthink/framework/src/think/Event.php ( 7.67 KB )
  49. /yingpanguazai/ssd/ssd1/www/wwww.yeyulingfeng.com/app/service.php ( 0.13 KB )
  50. /yingpanguazai/ssd/ssd1/www/wwww.yeyulingfeng.com/app/AppService.php ( 0.26 KB )
  51. /yingpanguazai/ssd/ssd1/www/wwww.yeyulingfeng.com/vendor/topthink/framework/src/think/Service.php ( 1.64 KB )
  52. /yingpanguazai/ssd/ssd1/www/wwww.yeyulingfeng.com/vendor/topthink/framework/src/think/Lang.php ( 7.35 KB )
  53. /yingpanguazai/ssd/ssd1/www/wwww.yeyulingfeng.com/vendor/topthink/framework/src/lang/zh-cn.php ( 13.70 KB )
  54. /yingpanguazai/ssd/ssd1/www/wwww.yeyulingfeng.com/vendor/topthink/framework/src/think/initializer/Error.php ( 3.31 KB )
  55. /yingpanguazai/ssd/ssd1/www/wwww.yeyulingfeng.com/vendor/topthink/framework/src/think/initializer/RegisterService.php ( 1.33 KB )
  56. /yingpanguazai/ssd/ssd1/www/wwww.yeyulingfeng.com/vendor/services.php ( 0.14 KB )
  57. /yingpanguazai/ssd/ssd1/www/wwww.yeyulingfeng.com/vendor/topthink/framework/src/think/service/PaginatorService.php ( 1.52 KB )
  58. /yingpanguazai/ssd/ssd1/www/wwww.yeyulingfeng.com/vendor/topthink/framework/src/think/service/ValidateService.php ( 0.99 KB )
  59. /yingpanguazai/ssd/ssd1/www/wwww.yeyulingfeng.com/vendor/topthink/framework/src/think/service/ModelService.php ( 2.04 KB )
  60. /yingpanguazai/ssd/ssd1/www/wwww.yeyulingfeng.com/vendor/topthink/think-trace/src/Service.php ( 0.77 KB )
  61. /yingpanguazai/ssd/ssd1/www/wwww.yeyulingfeng.com/vendor/topthink/framework/src/think/Middleware.php ( 6.72 KB )
  62. /yingpanguazai/ssd/ssd1/www/wwww.yeyulingfeng.com/vendor/topthink/framework/src/think/initializer/BootService.php ( 0.77 KB )
  63. /yingpanguazai/ssd/ssd1/www/wwww.yeyulingfeng.com/vendor/topthink/think-orm/src/Paginator.php ( 11.86 KB )
  64. /yingpanguazai/ssd/ssd1/www/wwww.yeyulingfeng.com/vendor/topthink/think-validate/src/Validate.php ( 63.20 KB )
  65. /yingpanguazai/ssd/ssd1/www/wwww.yeyulingfeng.com/vendor/topthink/think-orm/src/Model.php ( 23.55 KB )
  66. /yingpanguazai/ssd/ssd1/www/wwww.yeyulingfeng.com/vendor/topthink/think-orm/src/model/concern/Attribute.php ( 21.05 KB )
  67. /yingpanguazai/ssd/ssd1/www/wwww.yeyulingfeng.com/vendor/topthink/think-orm/src/model/concern/AutoWriteData.php ( 4.21 KB )
  68. /yingpanguazai/ssd/ssd1/www/wwww.yeyulingfeng.com/vendor/topthink/think-orm/src/model/concern/Conversion.php ( 6.44 KB )
  69. /yingpanguazai/ssd/ssd1/www/wwww.yeyulingfeng.com/vendor/topthink/think-orm/src/model/concern/DbConnect.php ( 5.16 KB )
  70. /yingpanguazai/ssd/ssd1/www/wwww.yeyulingfeng.com/vendor/topthink/think-orm/src/model/concern/ModelEvent.php ( 2.33 KB )
  71. /yingpanguazai/ssd/ssd1/www/wwww.yeyulingfeng.com/vendor/topthink/think-orm/src/model/concern/RelationShip.php ( 28.29 KB )
  72. /yingpanguazai/ssd/ssd1/www/wwww.yeyulingfeng.com/vendor/topthink/think-helper/src/contract/Arrayable.php ( 0.09 KB )
  73. /yingpanguazai/ssd/ssd1/www/wwww.yeyulingfeng.com/vendor/topthink/think-helper/src/contract/Jsonable.php ( 0.13 KB )
  74. /yingpanguazai/ssd/ssd1/www/wwww.yeyulingfeng.com/vendor/topthink/think-orm/src/model/contract/Modelable.php ( 0.09 KB )
  75. /yingpanguazai/ssd/ssd1/www/wwww.yeyulingfeng.com/vendor/topthink/framework/src/think/Db.php ( 2.88 KB )
  76. /yingpanguazai/ssd/ssd1/www/wwww.yeyulingfeng.com/vendor/topthink/think-orm/src/DbManager.php ( 8.52 KB )
  77. /yingpanguazai/ssd/ssd1/www/wwww.yeyulingfeng.com/vendor/topthink/framework/src/think/Log.php ( 6.28 KB )
  78. /yingpanguazai/ssd/ssd1/www/wwww.yeyulingfeng.com/vendor/topthink/framework/src/think/Manager.php ( 3.92 KB )
  79. /yingpanguazai/ssd/ssd1/www/wwww.yeyulingfeng.com/vendor/psr/log/src/LoggerTrait.php ( 2.69 KB )
  80. /yingpanguazai/ssd/ssd1/www/wwww.yeyulingfeng.com/vendor/psr/log/src/LoggerInterface.php ( 2.71 KB )
  81. /yingpanguazai/ssd/ssd1/www/wwww.yeyulingfeng.com/vendor/topthink/framework/src/think/Cache.php ( 4.92 KB )
  82. /yingpanguazai/ssd/ssd1/www/wwww.yeyulingfeng.com/vendor/psr/simple-cache/src/CacheInterface.php ( 4.71 KB )
  83. /yingpanguazai/ssd/ssd1/www/wwww.yeyulingfeng.com/vendor/topthink/think-helper/src/helper/Arr.php ( 16.63 KB )
  84. /yingpanguazai/ssd/ssd1/www/wwww.yeyulingfeng.com/vendor/topthink/framework/src/think/cache/driver/File.php ( 7.84 KB )
  85. /yingpanguazai/ssd/ssd1/www/wwww.yeyulingfeng.com/vendor/topthink/framework/src/think/cache/Driver.php ( 9.03 KB )
  86. /yingpanguazai/ssd/ssd1/www/wwww.yeyulingfeng.com/vendor/topthink/framework/src/think/contract/CacheHandlerInterface.php ( 1.99 KB )
  87. /yingpanguazai/ssd/ssd1/www/wwww.yeyulingfeng.com/app/Request.php ( 0.09 KB )
  88. /yingpanguazai/ssd/ssd1/www/wwww.yeyulingfeng.com/vendor/topthink/framework/src/think/Request.php ( 55.78 KB )
  89. /yingpanguazai/ssd/ssd1/www/wwww.yeyulingfeng.com/app/middleware.php ( 0.25 KB )
  90. /yingpanguazai/ssd/ssd1/www/wwww.yeyulingfeng.com/vendor/topthink/framework/src/think/Pipeline.php ( 2.61 KB )
  91. /yingpanguazai/ssd/ssd1/www/wwww.yeyulingfeng.com/vendor/topthink/think-trace/src/TraceDebug.php ( 3.40 KB )
  92. /yingpanguazai/ssd/ssd1/www/wwww.yeyulingfeng.com/vendor/topthink/framework/src/think/middleware/SessionInit.php ( 1.94 KB )
  93. /yingpanguazai/ssd/ssd1/www/wwww.yeyulingfeng.com/vendor/topthink/framework/src/think/Session.php ( 1.80 KB )
  94. /yingpanguazai/ssd/ssd1/www/wwww.yeyulingfeng.com/vendor/topthink/framework/src/think/session/driver/File.php ( 6.27 KB )
  95. /yingpanguazai/ssd/ssd1/www/wwww.yeyulingfeng.com/vendor/topthink/framework/src/think/contract/SessionHandlerInterface.php ( 0.87 KB )
  96. /yingpanguazai/ssd/ssd1/www/wwww.yeyulingfeng.com/vendor/topthink/framework/src/think/session/Store.php ( 7.12 KB )
  97. /yingpanguazai/ssd/ssd1/www/wwww.yeyulingfeng.com/vendor/topthink/framework/src/think/Route.php ( 23.73 KB )
  98. /yingpanguazai/ssd/ssd1/www/wwww.yeyulingfeng.com/vendor/topthink/framework/src/think/route/RuleName.php ( 5.75 KB )
  99. /yingpanguazai/ssd/ssd1/www/wwww.yeyulingfeng.com/vendor/topthink/framework/src/think/route/Domain.php ( 2.53 KB )
  100. /yingpanguazai/ssd/ssd1/www/wwww.yeyulingfeng.com/vendor/topthink/framework/src/think/route/RuleGroup.php ( 22.43 KB )
  101. /yingpanguazai/ssd/ssd1/www/wwww.yeyulingfeng.com/vendor/topthink/framework/src/think/route/Rule.php ( 26.95 KB )
  102. /yingpanguazai/ssd/ssd1/www/wwww.yeyulingfeng.com/vendor/topthink/framework/src/think/route/RuleItem.php ( 9.78 KB )
  103. /yingpanguazai/ssd/ssd1/www/wwww.yeyulingfeng.com/route/app.php ( 3.73 KB )
  104. /yingpanguazai/ssd/ssd1/www/wwww.yeyulingfeng.com/vendor/topthink/framework/src/think/facade/Route.php ( 4.70 KB )
  105. /yingpanguazai/ssd/ssd1/www/wwww.yeyulingfeng.com/vendor/topthink/framework/src/think/route/dispatch/Controller.php ( 4.74 KB )
  106. /yingpanguazai/ssd/ssd1/www/wwww.yeyulingfeng.com/vendor/topthink/framework/src/think/route/Dispatch.php ( 10.44 KB )
  107. /yingpanguazai/ssd/ssd1/www/wwww.yeyulingfeng.com/app/controller/Index.php ( 9.50 KB )
  108. /yingpanguazai/ssd/ssd1/www/wwww.yeyulingfeng.com/app/BaseController.php ( 2.05 KB )
  109. /yingpanguazai/ssd/ssd1/www/wwww.yeyulingfeng.com/vendor/topthink/think-orm/src/facade/Db.php ( 0.93 KB )
  110. /yingpanguazai/ssd/ssd1/www/wwww.yeyulingfeng.com/vendor/topthink/think-orm/src/db/connector/Mysql.php ( 5.44 KB )
  111. /yingpanguazai/ssd/ssd1/www/wwww.yeyulingfeng.com/vendor/topthink/think-orm/src/db/PDOConnection.php ( 52.47 KB )
  112. /yingpanguazai/ssd/ssd1/www/wwww.yeyulingfeng.com/vendor/topthink/think-orm/src/db/Connection.php ( 8.39 KB )
  113. /yingpanguazai/ssd/ssd1/www/wwww.yeyulingfeng.com/vendor/topthink/think-orm/src/db/ConnectionInterface.php ( 4.57 KB )
  114. /yingpanguazai/ssd/ssd1/www/wwww.yeyulingfeng.com/vendor/topthink/think-orm/src/db/builder/Mysql.php ( 16.58 KB )
  115. /yingpanguazai/ssd/ssd1/www/wwww.yeyulingfeng.com/vendor/topthink/think-orm/src/db/Builder.php ( 24.06 KB )
  116. /yingpanguazai/ssd/ssd1/www/wwww.yeyulingfeng.com/vendor/topthink/think-orm/src/db/BaseBuilder.php ( 27.50 KB )
  117. /yingpanguazai/ssd/ssd1/www/wwww.yeyulingfeng.com/vendor/topthink/think-orm/src/db/Query.php ( 15.71 KB )
  118. /yingpanguazai/ssd/ssd1/www/wwww.yeyulingfeng.com/vendor/topthink/think-orm/src/db/BaseQuery.php ( 45.13 KB )
  119. /yingpanguazai/ssd/ssd1/www/wwww.yeyulingfeng.com/vendor/topthink/think-orm/src/db/concern/TimeFieldQuery.php ( 7.43 KB )
  120. /yingpanguazai/ssd/ssd1/www/wwww.yeyulingfeng.com/vendor/topthink/think-orm/src/db/concern/AggregateQuery.php ( 3.26 KB )
  121. /yingpanguazai/ssd/ssd1/www/wwww.yeyulingfeng.com/vendor/topthink/think-orm/src/db/concern/ModelRelationQuery.php ( 20.07 KB )
  122. /yingpanguazai/ssd/ssd1/www/wwww.yeyulingfeng.com/vendor/topthink/think-orm/src/db/concern/ParamsBind.php ( 3.66 KB )
  123. /yingpanguazai/ssd/ssd1/www/wwww.yeyulingfeng.com/vendor/topthink/think-orm/src/db/concern/ResultOperation.php ( 7.01 KB )
  124. /yingpanguazai/ssd/ssd1/www/wwww.yeyulingfeng.com/vendor/topthink/think-orm/src/db/concern/WhereQuery.php ( 19.37 KB )
  125. /yingpanguazai/ssd/ssd1/www/wwww.yeyulingfeng.com/vendor/topthink/think-orm/src/db/concern/JoinAndViewQuery.php ( 7.11 KB )
  126. /yingpanguazai/ssd/ssd1/www/wwww.yeyulingfeng.com/vendor/topthink/think-orm/src/db/concern/TableFieldInfo.php ( 2.63 KB )
  127. /yingpanguazai/ssd/ssd1/www/wwww.yeyulingfeng.com/vendor/topthink/think-orm/src/db/concern/Transaction.php ( 2.77 KB )
  128. /yingpanguazai/ssd/ssd1/www/wwww.yeyulingfeng.com/vendor/topthink/framework/src/think/log/driver/File.php ( 5.96 KB )
  129. /yingpanguazai/ssd/ssd1/www/wwww.yeyulingfeng.com/vendor/topthink/framework/src/think/contract/LogHandlerInterface.php ( 0.86 KB )
  130. /yingpanguazai/ssd/ssd1/www/wwww.yeyulingfeng.com/vendor/topthink/framework/src/think/log/Channel.php ( 3.89 KB )
  131. /yingpanguazai/ssd/ssd1/www/wwww.yeyulingfeng.com/vendor/topthink/framework/src/think/event/LogRecord.php ( 1.02 KB )
  132. /yingpanguazai/ssd/ssd1/www/wwww.yeyulingfeng.com/vendor/topthink/think-helper/src/Collection.php ( 16.47 KB )
  133. /yingpanguazai/ssd/ssd1/www/wwww.yeyulingfeng.com/vendor/topthink/framework/src/think/facade/View.php ( 1.70 KB )
  134. /yingpanguazai/ssd/ssd1/www/wwww.yeyulingfeng.com/vendor/topthink/framework/src/think/View.php ( 4.39 KB )
  135. /yingpanguazai/ssd/ssd1/www/wwww.yeyulingfeng.com/vendor/topthink/framework/src/think/Response.php ( 8.81 KB )
  136. /yingpanguazai/ssd/ssd1/www/wwww.yeyulingfeng.com/vendor/topthink/framework/src/think/response/View.php ( 3.29 KB )
  137. /yingpanguazai/ssd/ssd1/www/wwww.yeyulingfeng.com/vendor/topthink/framework/src/think/Cookie.php ( 6.06 KB )
  138. /yingpanguazai/ssd/ssd1/www/wwww.yeyulingfeng.com/vendor/topthink/think-view/src/Think.php ( 8.38 KB )
  139. /yingpanguazai/ssd/ssd1/www/wwww.yeyulingfeng.com/vendor/topthink/framework/src/think/contract/TemplateHandlerInterface.php ( 1.60 KB )
  140. /yingpanguazai/ssd/ssd1/www/wwww.yeyulingfeng.com/vendor/topthink/think-template/src/Template.php ( 46.61 KB )
  141. /yingpanguazai/ssd/ssd1/www/wwww.yeyulingfeng.com/vendor/topthink/think-template/src/template/driver/File.php ( 2.41 KB )
  142. /yingpanguazai/ssd/ssd1/www/wwww.yeyulingfeng.com/vendor/topthink/think-template/src/template/contract/DriverInterface.php ( 0.86 KB )
  143. /yingpanguazai/ssd/ssd1/www/wwww.yeyulingfeng.com/runtime/temp/10a0c909b6afa23b5a52a2e2d58c3c0f.php ( 21.72 KB )
  144. /yingpanguazai/ssd/ssd1/www/wwww.yeyulingfeng.com/vendor/topthink/think-trace/src/Html.php ( 4.42 KB )
  1. CONNECT:[ UseTime:0.001011s ] mysql:host=127.0.0.1;port=3306;dbname=wenku;charset=utf8mb4
  2. SHOW FULL COLUMNS FROM `fenlei` [ RunTime:0.001492s ]
  3. SELECT * FROM `fenlei` WHERE `fid` = 0 [ RunTime:0.000723s ]
  4. SELECT * FROM `fenlei` WHERE `fid` = 63 [ RunTime:0.000718s ]
  5. SHOW FULL COLUMNS FROM `set` [ RunTime:0.001343s ]
  6. SELECT * FROM `set` [ RunTime:0.000603s ]
  7. SHOW FULL COLUMNS FROM `wendang` [ RunTime:0.001623s ]
  8. SELECT * FROM `wendang` WHERE `id` = 328690 LIMIT 1 [ RunTime:0.001551s ]
  9. UPDATE `wendang` SET `liulancishu` = 6 WHERE `id` = 328690 [ RunTime:0.001953s ]
  10. UPDATE `wendang` SET `lasttime` = 1772564317 WHERE `id` = 328690 [ RunTime:0.001349s ]
  11. SELECT * FROM `wendang` WHERE `id` < 328690 ORDER BY `id` DESC LIMIT 1 [ RunTime:0.002074s ]
  12. SELECT * FROM `wendang` WHERE `id` > 328690 ORDER BY `id` ASC LIMIT 1 [ RunTime:0.002825s ]
  13. SELECT * FROM `wendang` WHERE `id` <> 328690 ORDER BY `id` DESC LIMIT 10 [ RunTime:0.003278s ]
  14. SELECT * FROM `wendang` WHERE `id` <> 328690 ORDER BY `id` DESC LIMIT 10,10 [ RunTime:0.005929s ]
  15. SELECT * FROM `wendang` WHERE `id` <> 328690 ORDER BY `id` DESC LIMIT 20,10 [ RunTime:0.003924s ]
0.122914s